Abstract
Sulphide gas is an impurity that affects the quality of natural gas, which needs reasonable storage and transportation. In this work, we investigated the adsorption structure and electronic behavior of hydrogen sulfide (H2S), carbonyl sulfur (COS), and methyl mercaptan (CH3SH) on sulphide gas molecules on pure and vacant α-Fe2O3(001) surfaces by density functional theory with geometrical relaxations. The results show that H2S and CH3SH are mainly adsorbed in the form of molecules on the pure Fe2O3(001) surface. On the vacant α-Fe2O3(001) surface, they can be adsorbed on Fe atoms in molecular form and by dissociation. The absolute value of the adsorption energy of H2S and CH3SH on the vacancy defect α-Fe2O3 surface is larger, and the density of states show that the electron orbital hybridization is more significant, and the adsorption is stronger. The charge differential density and Mulliken charge population analysis show that the charge is rearranged and chemical bonds are formed. The affinity of H2S to the vacancy α-Fe2O3(001) surface is slightly higher than that of CH3SH, while COS molecules basically do not adsorb on the α-Fe2O3(001) surface, which may be related to the stable chemical properties of the molecules themselves.
1. Introduction
As one of the most important energy sources, natural gas has been more and more widely used in the past few decades [1,2]. However, some sulphide gas impurities will inevitably be introduced into the exploitation of natural gas, such as hydrogen sulfide (H2S), carbonyl sulfur (COS), and methyl mercaptan (CH3SH) [3,4,5]. The excessive content of these sulphide gases will seriously corrode the transportation pipeline and storage room, and the leakage will endanger human health and raise safety risks [6,7,8]. Therefore, in the anticorrosion work, the material selection of gas cylinders and the inhibition of sulphide adsorption are particularly important.
Some iron products, such as pipes and cylinders, are used to transport and store natural gas. Stable α-ferric oxide (α-Fe2O3) is formed when iron is placed on the surface in an atmospheric environment for a long time [9]. Transition metal oxide α-Fe2O3 is not only a stable oxide, but also an n-type semiconductor [10,11]. At the same time, α-Fe2O3 is also used for sulfur removal and has high catalytic activity [12]. From the viewpoint of the microscopic mechanism, the basic study on the interaction between sulphide gas molecules and α-Fe2O3 surfaces is not only helpful to grasp the adsorption mechanism of sulfides, but also provide a theoretical insight for inhibiting sulphide adsorption, which has extremely important practical significance and scientific research value.
Quantum chemistry methods based on density functional theory (DFT) are increasingly used to clarify the mechanism of adsorption. Song et al. reported the adsorption characteristics of NO and H2O2 on perfect and oxygen defect α-Fe2O3(001) surfaces. The results show that NO and H2O2 are adsorbed on two kinds of surfaces in molecular form, while H2O2 is dissociated on oxygen defect α-Fe2O3(001) surfaces [13]. The oxygen vacancy significantly increased the adsorption strength of NO and H2O2 on the catalyst surface and promoted the decomposition of H2O2. Ling et al. investigated the adsorption and decomposition mechanism of H2S on different metal-doped α-Fe2O3(001) surfaces. They found that the Fe vacancy surface showed good catalytic activity for the decomposition of H2S, and Zn is beneficial to improve the desulfurization performance [14]. Li et al. discussed the adsorption characteristics of NO molecules on oxygen-defective and oxygen-free α-Fe2O3(001) surfaces, and the two surfaces showed opposite electron transfer [15]. With the introduction of a NO molecule, the electron carrier concentration decreases and the surface resistance of oxygen defect α-Fe2O3(001) increases. Oxygen defects change the direction of electron transfer. Chen et al. calculated the interaction of water and oxygen with the α-Fe2O3(001) surface [16]. After the adsorption of H2O and O2 molecules, the surface structure of Fe2O3 changed substantially; the O–Fe bond was weakened, and the H–O bond of water molecules was broken to form hydroxyl groups. It is difficult to control the point defect in the experiment. Furthermore, this reaction process is difficult to clarify by experimental method. Therefore, the theoretical study can provide a certain guiding significance for in-depth understanding of the adsorption mechanism [17,18,19,20]. However, there are rare reports on the adsorption of sulfide gases, especially H2S, COS and CH3SH molecules, on the α-Fe2O3 surface using first-principle calculation. Little is known about bonding and charge transfer.
In this work, we calculated the sulphide gas molecules’ adsorption property on the α-Fe2O3(001) surface by using density functional theory, and investigated the possible binding mechanism of sulfides on the α-Fe2O3 surface. The adsorption configuration, bonding type, and charge transfer between sulfides and substrates were discussed. In addition, the effect of oxygen vacancy on adsorption is fully considered. The information of adsorption energy and electronic parameters described in this paper will provide a meaningful, theoretical understanding for the adsorption of sulfides on the α-Fe2O3 surface and provide theoretical guidance for anticorrosion or inhibition of adsorption.
2. Computational Methods and Models
2.1. Theoretical Calculation Methods
All the calculations in this work are based on the DFT calculation method and completed through the CASTEP (Cambridge Sequential Total Energy Package) module of the Materials Studio software [21,22]. Basically, all the calculations are mainly carried out through geometrical relaxations of each model. Using periodic boundary conditions, the electron wave function is expanded through the plane wave basis set [23]. The PBE (Perdew–Burke–Ernzerhof) functional of the GGA (generalized gradient approximation) is selected to deal with the exchange correlation energy of all electrons [24,25]. The ultra-soft pseudopotential is used to describe the ionic nucleus. A BFGS (Broyden–Fletcher–Goldfarb–Shanno) algorithm is selected in the process of structure optimization [26]. Considering the calculation accuracy and efficiency, the kinetic energy cutoff value of the plane wave basis group is 400 eV. After testing different k-point grid schemes, the 3 × 3 × 1 Monkhorst-Pack format k-point grid is used to integrate the Brillouin zone (the k-point setting of 5 × 5 × 2 α-Fe2O3 unit cell is optimized) [27]. The convergence criteria for structure optimization and energy calculation are set as follows: the self-consistent field (SCF) cycle converges to 2.0 × 10−6 eV/atom; the maximum force convergence value of each atom is 0.05 eV/Å; the maximum internal stress of the crystal is 0.1 GPa; and the maximum displacement convergence value of the atom is 0.002 Å.
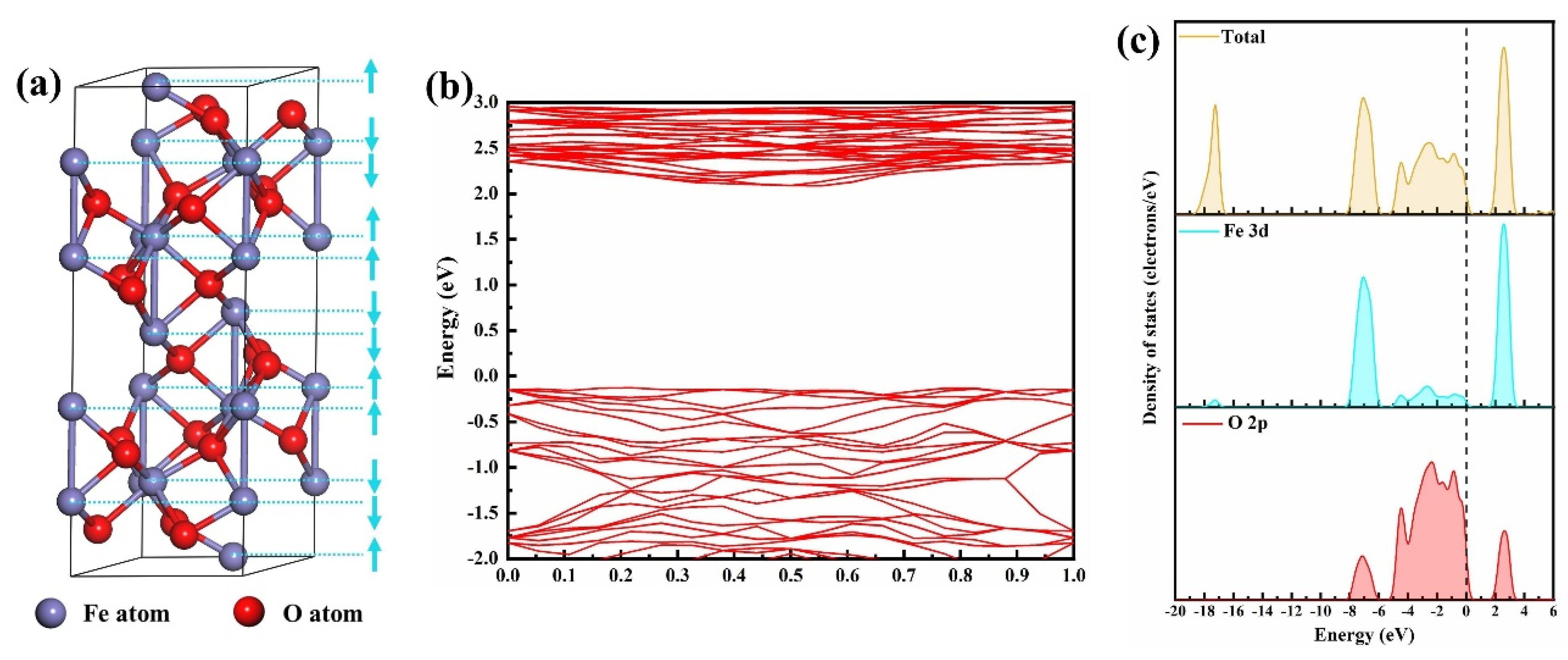
Although the DFT–GGA theory provides accurate lattice constants, it usually underestimates the band gap [28]. The prediction of the α-Fe2O3 band gap can be improved by a GGA+U calculation [29,30]. In addition, in order to achieve the accuracy of calculation, all model calculations in the current work are adopted functional PBE+U. Referring to previous studies [31,32], the spin arrangement of antiferromagnetism (+ − − +) is set (+ represents spin relative to z-axis, − relative to z-axis), as shown in Figure 1a. The α-Fe2O3 of this spin arrangement has the lowest energy and the most stable structure [14]. In order to more accurately describe the Coulomb interaction of Fe-3d electronic states, U = 5 eV ‘s GGA + U method is used to deal with the exchange correlation energy for Fe atoms [33]. The energy bands of bulk α-Fe2O3 are calculated. The total density of states (DOS) and fractional densities of states (PDOS) are shown in Figure 1b,c. The band gap is 2.20 eV, which is in good agreement with the indirect optical energy gap of 1.9–2.2 eV [34,35]. The top of the valence band of α-Fe2O3 is mainly contributed by O-2p, and the bottom of the conduction band is mainly contributed by Fe-3d. The 3d orbitals of Fe overlap with the 2p orbitals of O in a large energy range, and there is hybridization in the range of 2~3 eV.
Figure 1.
(a) The crystal structure and spin arrangement of α-Fe2O3; (b) the band structure of α-Fe2O3; and (c) the DOS and PDOS analysis of α-Fe2O3.
The positive or negative adsorption energy and the adsorption distance reflect the stability of the structure after adsorption [36]. If the adsorption energy is negative, the adsorption distance decreases, indicating that the process is the release of heat, and the structure is more stable after adsorption. Otherwise, the adsorption distance increases, indicating that the process is the absorption of heat, and the structure is not stable after adsorption [37]. In order to analyze the stability of gas molecules at different adsorption sites, the adsorption energy Eads of each model is calculated according to the following formula:
where Emolecule/slab is the total energy of the system after adsorption, Emolecule is the energy of the adsorbed free gas molecules, and Eslab is the energy of the substrate before adsorption.
Eads = Emolecule/slab − Emolecule − Eslab
The charge difference density reflects the charge transfer in different regions. The expression is:
∆ρ = ρmolecule/slab − ρslab − ρmolecule
In the formula, ρmolecule/slab, ρslab, and ρmolecule represent the total charge density of the system after adsorption, the charge density of the substrate before adsorption, and the charge density of free gas molecules, respectively. Mulliken charge population analysis is used to examine the charge transfer before and after gas adsorption on the surface [38]. A negative number represents an electron, and a positive number indicates a loss of electron.
2.2. Models
The optimized crystal cell of α-Fe2O3 is shown in Figure 1a. It has a space group crystal structure of R-3C and contains 12 iron atoms and 18 oxygen atoms. The lattice parameters of the cell are a = b = 5.18°, c = 14.11°, α = β = 90°, and γ = 120°, which are in good agreement with the experimental values (a = b = 5.04°, c = 13.75°, α = β = 90°, and γ = 120°). It shows that the model is reliable [39]. Referring to previous studies, the Fe-O3-Fe termination of (001) surface is the most stable surface termination [10,40,41]. Therefore, on the basis of the optimized α-Fe2O3 cell, a 12-layer p (2 × 2) supercell was constructed and cut out (001) surface. To avoid interaction during continuous plate weeks, a vacuum layer of 15 Å was added in the z direction to build the slab model, as shown in Figure 2a. The six layers of atoms at the bottom are fixed to simulate the bulk phase, and the six layers of the surface are completely relaxed in the process of calculation. However, previous studies have shown that the outermost atomic layer of the relaxation 4 layers is sufficient to obtain sufficient convergence results on the α-Fe2O3(001) surface [42]. It is well known that crystal defects do not have a negligible effect on molecular adsorption. Oxygen vacancy defects easily occur on the surface of α-Fe2O3 [13]. The vacancy α-Fe2O3(001) surface model is obtained by removing an oxygen atom on the surface. Based on this, we constructed the α-Fe2O3(001) surface with and without vacancy at the same time. The adsorption models of three sulphide gas molecules at five symmetric adsorption sites (O top site, Fe top site, Bridge site, Hollow site, and vacancy) are shown in Figure 1b,c.
Figure 2.
(a) The geometrically optimized slab model of α-Fe2O3(001) surface; (b) the adsorption site on pure α-Fe2O3(001) surface; and (c) the adsorption site of oxygen vacancy α-Fe2O3(001) surface.
H2S, COS, and CH3SH molecules are put into a three-dimensional cubic lattice with an edge length of 10 Å, and have been geometrically optimized without restriction. The k-point sampling in Brillouin zone is set to 1 × 1 × 1. The geometrically optimized configuration is shown in Figure 3. The values of all structures are consistent with the previous research or experimental values. The reliability of the calculation is guaranteed.
Figure 3.
The geometrically optimized (a) H2S, (b) COS, and (c) CH3SH molecules, and their HOMO (Highest Energy Occupied Orbital) and LUMO (Lowest Energy Empty Orbital).
3. Results and Discussion
Using the HOMO and LUMO in the electron cloud around molecules [43,44], we analyzed the electronic properties of H2S COS and CH3SH, as shown in Figure 3. We found that the HOMO orbitals of the three molecules were concentrated on the S atoms, indicating that the S atoms in the molecules more readily give electrons in the adsorption process.
3.1. H2S Adsorption
The optimized H2S molecules were placed near several adsorption sites described above in a parallel or vertical manner. As shown in Figure 4, several stable adsorption configurations were obtained through geometric optimization of high-precision criteria.
Figure 4.
The stable adsorption configuration of H2S molecules on pure α-Fe2O3(001) surface (A1, A2); and the stable adsorption configuration of H2S molecules on vacancy α-Fe2O3(001) surface (A3, A4). The unit of number is Å.
The corresponding adsorption energy and the geometric parameters of the stable adsorption configuration are listed in Table 1.
Table 1.
The adsorption energy and characteristic parameters of adsorption configuration of H2S on the α-Fe2O3(001) Surface.
In A1 and A2 configurations, although the specific spatial position and direction of H2S molecules are different, the whole molecule was adsorbed on the top of the terminal Fe atom by a S atom in an inclined way. The adsorption distance between the S atom and the Fe atom is 2.59 Å and 2.57 Å, respectively, and the corresponding adsorption energy is about −0.56 eV and −0.53 eV. By examining the different adsorption sites, it can be inferred that the adsorption sites of H2S molecules on the α-Fe2O3(001) surface were mainly concentrated near the three-coordinated Fe atoms. The configuration shown in A3 and A4 is that in which the H2S molecule was adsorbed on the Fe atom on the surface with oxygen vacancy. The bond angle of H2S molecule in A3 increased slightly to 93.0° compared with that before adsorption, indicating that H2S was activated after adsorption. That is, this reaction belongs to stable chemical adsorption. For the A4 case, H2S molecules were dissociated and adsorbed, and one of the S–H bonds was broken due to the influence of adsorption. The H atom was trapped by the O atom in the attachment. SH was firmly adsorbed on the Fe atom. The adsorption energy was −1.53 eV and the adsorption distance was 2.34 Å. Compared with the adsorption on the surface without vacancy, the absolute value of adsorption energy on the vacancy surface was larger and the adsorption effect was stronger.
The PDOS of the S atom in H2S molecule before adsorption is shown in Figure 5. The DOS of the S atom was mainly contributed by 3p orbitals, and 3s and 3p orbitals showed discrete sharp peaks, indicating that the localization of electrons is very strong and the corresponding energy bands are relatively narrow.
Figure 5.
The PDOS of S atom in free H2S molecule.
Figure 6a shows the PDOS of Fe atoms on the α-Fe2O3(001) surface before adsorption. The TDOS of Fe was mainly contributed by its 3D orbital, showing an obvious peak, indicating that the d-electron phase is localized. There is almost no symmetry in the spin-up and spin-down PDOS, indicating that the Fe atom has magnetism. Vacancy defects will affect the PDOS of Fe atoms near the surface. Due to the absence of the coordinated O atom, the highly localized 3d orbital peak of Fe atom split, several small peaks appeared, and the energy level shifted slightly. In Figure 6b, when H2S was adsorbed on the pure α-Fe2O3(001) surface, the 3p orbital of the S atom broadened in the −6~−1 eV energy range. The contribution of the upper and lower spin states of the S atom was different, which is related to a certain magnetization. The PDOS of the interacting Fe atom changed slightly compared with that before adsorption, and the strong magnetic property of the Fe-3d band did not change with the adsorption of H2S. It shows that there was a weak interaction between them. When H2S was adsorbed on the Fe atom of the vacancy α-Fe2O3(001) surface, the 3p orbital of the S atom broadened in the –7~0 eV energy range, and hybridized with the 3d orbital of the Fe atom at the adsorption site, and there was obvious resonance. The peak shape of the Fe atom in the vacancy changed obviously after adsorption. It shows that the adsorption between them is strong. This is consistent with the results of adsorption energy.
Figure 6.
(a) The PDOS of Fe atoms on the pure and vacant α-Fe2O3(001) surface before adsorption; (b) the PDOS of pure α-Fe2O3(001) surface of Fe atom and S atom of H2S after adsorption; and (c) the PDOS of Fe atom and S atom of H2S on the surface of the adsorbed vacancy α-Fe2O3(001).
Figure 7a,b shows the charge difference density of A2 configuration. As can be seen, the electron accumulation region of α-Fe2O3 was mainly concentrated near the O atom and the charge depletion region near the Fe atom. Combined with the results of the Mulliken charge population analysis shown in Table 2, the adsorption of H2S molecules did not lead to obvious charge redistribution, indicating that the adsorption of H2S molecules with the pure α-Fe2O3(001) surface was weak. In the A4 configuration, as shown in Figure 7c,d, the Fe atoms at the adsorption site lost some electrons, and a large number of charges gathered between the S–Fe to form chemical bonds. The dissociated SH obtained 0.47 e from the α-Fe2O3(001) surface indicated that there was a strong interaction between them, resulting in charge rearrangement.
Figure 7.
The Mulliken charge population analysis of H2S adsorption on the α-Fe2O3(001) surface. (a) Three dimensional drawing of the Mulliken charge population for A2 configuration; (b) Two dimensional drawing of the Mulliken charge population for A2 configuration; (c) Three dimensional drawing of the Mulliken charge population for A4 configuration; (d) Two dimensional drawing of the Mulliken charge population for A4 configuration.
Table 2.
The Mulliken charge population analysis of H2S adsorption on the α-Fe2O3(001) surface.
3.2. COS Adsorption
All possible surface adsorption sites and the straight-line adsorption of COS molecules were taken into account. Due to the asymmetric structure of COS molecules, the adsorption processes of parallel, vertical, and S atoms toward the surface, and O atoms toward the surface were investigated. After geometric optimization, several configurations, shown in Figure 8, were finally obtained, which are recorded as B1–B4. As shown in Table 3, the adsorption energy of each configuration was positive, indicating that COS molecules could not be adsorbed on the surface of α-Fe2O3 spontaneously. The C atom of the COS molecule was connected to a S atom by double bond and an O atom, and there was a stable π bond. Therefore, the fact that COS molecules were not spontaneously adsorbed on the surface of α-Fe2O3 may be related to the stable chemical properties of the molecules themselves.
Figure 8.
The stable adsorption configurations (B1,B2) of COS molecules on a pure α-Fe2O3(001) surface; the stable adsorption configurations (B3,B4) of COS molecules on the vacancy α-Fe2O3(001) surface (the unit of number is Å).
Table 3.
The adsorption energy and adsorption configuration characteristic parameters of COS on the α-Fe2O3(001) surface.
3.3. CH3SH Adsorption
As shown in Figure 9, two stable adsorption configurations of CH3SH molecules were obtained, named as C1 and C2. The characteristic parameters of each adsorption configuration are listed in Table 4. In the C1 configuration, the CH3SH molecule was adsorbed on the Fe top site of the pure α-Fe2O3(001) surface in an inclined posture with an adsorption distance of 2.52 Å and adsorption energy of −0.50 eV. The bond angle of H1-S-C was larger than that of free molecules, and other structural parameters were almost unchanged. This suggests that there is a weak interaction between CH3SH molecule and the pure α-Fe2O3(001) surface. The C2 of Figure 9 shows the dissociative adsorption configuration of CH3SH molecules. The S–H bond was broken during the adsorption process, and the H atom was adsorbed on the nearby tri-coordinated O atom. CH3S was adsorbed on the vacancy defect site with an adsorption energy of −1.40 eV and an adsorption distance of 2.34 Å. It is worth noting that the Fe atoms on the surface of α-Fe2O3(001) at the adsorption site relaxed and protruded slightly from the adsorption molecules after CH3SH adsorption. We found that the relaxation degree of the Fe atoms on the defective surface was greater than that on the surface without vacancy.
Figure 9.
The stable adsorption configuration C1 of CH3SH molecules on the pure α-Fe2O3(001) surface; the stable adsorption configuration C2 of SH molecule on the vacancy α-Fe2O3(001) surface (the unit of number is Å).
Table 4.
The adsorption energy and adsorption configuration characteristic parameters of CH3SH on the α-Fe2O3 surface.
The PDOS of the S atom in the free CH3SH molecule is shown in Figure 10a. Figure 10b,c shows the PDOS of the S atom after adsorption and the Fe atom on the surface with and without vacancy, respectively. On the pure α-Fe2O3(001) surface, the 3s orbital of the S atom changed slightly, but still maintained a discrete energy level. The 3p orbital of the S atom broadened in the −7.7~0 eV energy region. At the same time, the peak shape and number of electron orbitals of the Fe atom did not change obviously. According to Figure 10d,e and Table 5, there was almost no electron exchange and transfer, which indicates that the adsorption of CH3SH molecules on the pure α-Fe2O3(001) surface was very weak. In Figure 10c, the 3p orbitals of the S atoms were broadened in the −7.7~0 eV and 1.7~6.3 eV energy regions. The 3d orbital peak shape of the Fe atom changed and there was a hybrid conjugation between the 3p orbital of the S atom and the 3d orbital of the Fe atom. According to Figure 10f,g, it is obvious that there was a charge enrichment region between the adsorbed molecule and the surface. The surface obtained 0.42 e from the dissociated and adsorbed H atom, and the Mulliken charge population of CH3S was −0.40 e, indicating that some electrons were captured from the surface. There was an overlap between the electron loss region and the electron enrichment region in the figure, indicating that the electrons were rearranged, and part of the electrons migrated to form a chemical bond between the adsorbed molecule and the surface. That is, CH3SH chemisorption occured on the vacancy α-Fe2O3(001) surface and the adsorption effect was strong.
Figure 10.
(a) The PDOS of the S atom in a free CH3SH molecule; (b) the PDOS of pure α-Fe2O3(001) surface Fe atom and S atom of CH3SH after adsorption; (c) the PDOS of the Fe atom and the S atom of CH3SH atom on the surface of the vacancy α-Fe2O3(001) after adsorption; (d,e) the charge difference density of CH3SH molecules adsorbed on the pure α-Fe2O3(001) surface; and (f,g) the charge difference density of CH3SH molecules adsorbed on the vacancy α-Fe2O3(001) surface.
Table 5.
The Mulliken charge population analysis of CH3SH adsorbed on the α-Fe2O3(001) surface.
4. Conclusions
In summary, the periodic DFT method was used to investigate the adsorption mechanism of H2S, COS, and CH3SH gas molecules at different sites on the α-Fe2O3(001) surface. The exposed three-coordinate Fe atoms are the main active centers. The results show that H2S and CH3SH are mainly adsorbed in the form of molecules at the Fe top site, and the adsorption energies are −0.56 eV and −0.50 eV, respectively. Molecules can be adsorbed on Fe atoms in the form of molecules or dissociation in the oxygen vacancy. The oxygen vacancy can promote the dissociation of H2S and CH3SH molecules, thus promoting the adsorption. The DOS results show that the electron orbitals of the dissociated states are more coincident, and the interaction is stronger. Charge differential density and Mulliken charge population analysis shows that charge exchange and transfer lead to the new surface chemical bonds formatted. However, no adsorption of COS molecules on the surface of α-Fe2O3 was observed, which may be related to the inherent stable chemical properties of COS molecules.
Author Contributions
Data curation, L.Z., H.Z. and W.Z.; formal analysis, L.Z., H.Z. and W.Z.; funding acquisition, L.Z. and H.Z.; investigation, L.Z. and H.Z.; project administration, L.Z., H.Z. and W.Z. All authors have read and agreed to the published version of the manuscript.
Funding
This work was funded by China National Petroleum Corporation Science and Technology Project of "Research on New Methods of Natural Gas Quality Control and Energy Measurement Experiments and Operation Management" (2020D-5006-83).
Conflicts of Interest
The authors declare no conflict of interest. The funders had no role in the design of the study; in the collection, analyses, or interpretation of data; in the writing of the manuscript, or in the decision to publish the results.
References
- Wang, J.; Song, Z.; Cheng, H.; Chen, L.; Deng, L.; Qi, Z. Multilevel screening of ionic liquid absorbents for simultaneous removal of CO2 and H2S from natural gas. Sep. Purif. Technol. 2020, 248, 117053. [Google Scholar] [CrossRef]
- Faramawy, S.; Zaki, T.; Sakr, A.-E. Natural gas origin, composition, and processing: A review. J. Nat. Gas Sci. Eng. 2016, 34, 34–54. [Google Scholar] [CrossRef]
- Watanabe, S. Chemistry of H2S over the surface of Common solid sorbents in industrial natural gas desulfurization. Catal. Today 2021, 371, 204–220. [Google Scholar] [CrossRef]
- Zeng, Z.; Dlugogorski, B.Z.; Oluwoye, I.; Altarawneh, M. Combustion chemistry of COS and occurrence of intersystem cross-ing. Fuel 2021, 283, 119257. [Google Scholar] [CrossRef]
- Alzueta, M.U.; Pernía, R.; Abián, M.; Millera, Á.; Bilbao, R. CH3SH conversion in a tubular flow reactor. Experiments and ki-netic modelling. Combust. Flame 2019, 203, 23–30. [Google Scholar] [CrossRef] [Green Version]
- Kahyarian, A.; Nesic, S. H2S corrosion of mild steel: A quantitative analysis of the mechanism of the cathodic reaction. Electrochim. Acta 2019, 297, 676–684. [Google Scholar] [CrossRef]
- Latosov, E.; Loorits, M.; Maaten, B.; Volkova, A.; Soosaar, S. Corrosive effects of H2S and NH3 on natural gas piping systems manufactured of carbon steel. Energy Procedia 2017, 128, 316–323. [Google Scholar] [CrossRef]
- Yi, H.; Tao, T.; Zhao, S.; Yu, Q.; Gao, F.; Zhou, Y.; Tang, X. Promoted adsorption of methyl mercaptan by γ-Al2O3 catalyst loaded with Cu/Mn. Environ. Technol. Innov. 2021, 21, 101349. [Google Scholar] [CrossRef]
- Fu, Y.; Chen, J.; Zhang, H. Synthesis of Fe2O3 nanowires by oxidation of iron. Chem. Phys. Lett. 2001, 350, 491–494. [Google Scholar] [CrossRef]
- Shi, C.; Chen, Y.; Liu, H.; Cui, G.; Ju, L.; Chen, L. Adsorption and gas-sensing characteristics of a stoichiometric α-Fe2O3 (001) nano thin film for carbon dioxide and carbon monoxide with and without pre-adsorbed O2. RSC Adv. 2016, 6, 3514–3525. [Google Scholar] [CrossRef]
- Saritas, S.; Kundakci, M.; Coban, O.; Tuzemen, S.; Yildirim, M. Ni:Fe2O3, Mg:Fe2O3 and Fe2O3 thin films gas sensor application. Phys. B Condens. Matter 2018, 541, 14–18. [Google Scholar] [CrossRef]
- Hitam, C.; Jalil, A.; Izan, S.; Azami, M.; Hassim, M.; Chanlek, N. The unforeseen relationship of Fe2O3 and ZnO on fibrous silica KCC-1 catalyst for fabricated Z-scheme extractive-photooxidative desulphurization. Powder Technol. 2020, 375, 397–408. [Google Scholar] [CrossRef]
- Song, Z.; Wang, B.; Yu, J.; Ma, C.; Zhou, C.; Chen, T.; Yan, Q.; Wang, K.; Sun, L. Density functional study on the heterogeneous oxidation of NO over α-Fe2O3 catalyst by H2O2: Effect of oxygen vacancy. Appl. Surf. Sci. 2017, 413, 292–301. [Google Scholar] [CrossRef]
- Ling, L.; Song, J.; Zhao, S.; Zhang, R.; Wang, B. DFT study on the effects of defect and metal-doping on the decomposition of H2S on the α-Fe2O3(0001) surface. RSC Adv. 2014, 4, 22411–22418. [Google Scholar] [CrossRef]
- Li, F.; Shi, C.; Wang, X.; Cui, G.; Wang, D.; Chen, L. The important role of oxygen defect for NO gas-sensing behavior of α-Fe2O3 (001) surface: Predicted by density functional theory. Comput. Mater. Sci. 2018, 146, 1–8. [Google Scholar] [CrossRef]
- Chen, C.; Zhao, C.; Zhou, X.; Chen, J.; Chen, L.; Li, F. DFT study on the interaction of H2O and O2 with α-Fe2O3 (001) surface. Vacuum 2021, 188, 110164. [Google Scholar] [CrossRef]
- Hao, M.; Zeng, W.; Li, Y.Q. Adsorption mechanism of H2S and CH3SH on Fe(110) surface: A density functional theory study. Physica E 2022, 135, 114938. [Google Scholar] [CrossRef]
- Li, B.; Zhou, Q.; Peng, R.; Liao, Y.; Zeng, W. Adsorption of SF6 decomposition gases (H2S, SO2, SOF2 and SO2F2) on Sc-doped MoS2 surface: A DFT study. Appl. Surf. Sci. 2021, 549, 149271. [Google Scholar] [CrossRef]
- Shang, J.; Li, C.; Tang, X.; Du, A.; Liao, T.; Gu, Y.; Ma, Y.; Kou, L.; Chen, C. Multiferroic decorated Fe2O3 monolayer predicted from first principles. Nanoscale 2020, 12, 14847–14852. [Google Scholar] [CrossRef] [PubMed]
- Ta, H.T.T.; Tieu, A.; Zhu, H.; Yu, H.; Tran, N.V. A First-Principles Study of Impurity-Enhanced Adhesion and Lubricity of Gra-phene on Iron Oxide Surface. J. Phys. Chem. C 2021, 125, 4310–4321. [Google Scholar] [CrossRef]
- Clark, S.J.; Segall, M.D.; Pickard, C.J.; Hasnip, P.J.; Probert, M.I.J.; Refson, K.; Payne, M.C. First Principles Methods Using CASTEP. Z. Krist. Cryst. Mater. 2005, 220, 567–570. [Google Scholar] [CrossRef] [Green Version]
- Meunier, M. Introduction to materials studio. In EPJ Web of Conferences; EDP Sciences: Les Ulis, France, 2012; Volume 10, p. 04001. [Google Scholar]
- Troullier, N.; Martins, J.L. Efficient pseudopotentials for plane-wave calculations. Phys. Rev. B 1991, 43, 1993. [Google Scholar] [CrossRef]
- Ziesche, P.; Kurth, S.; Perdew, J.P. Density functionals from LDA to GGA. Comput. Mater. Sci. 1998, 11, 122–127. [Google Scholar] [CrossRef]
- Perdew, J.P.; Burke, K.; Ernzerhof, M. Generalized Gradient Approximation Made Simple. Phys. Rev. Lett. 1996, 77, 3865, Erratum in 1997, 78, 1396. [Google Scholar] [CrossRef] [PubMed] [Green Version]
- Head, J.D.; Zerner, M.C. A Broyden—Fletcher—Goldfarb—Shanno optimization procedure for molecular geometries. Chem. Phys. Lett. 1985, 122, 264–270. [Google Scholar] [CrossRef]
- Froyen, S. Brillouin-zone integration by Fourier quadrature: Special points for superlattice and supercell calculations. Phys. Rev. B 1989, 39, 3168–3172. [Google Scholar] [CrossRef] [PubMed]
- Rohrbach, A.; Hafner, J.; Kresse, G. Molecular adsorption on the surface of strongly correlated transition-metal oxides: A case study for CO/NiO(100). Phys. Rev. B 2004, 69, 075413. [Google Scholar] [CrossRef]
- Dudarev, S.L.; Botton, G.A.; Savrasov, S.Y.; Humphreys, C.J.; Sutton, A.P. Electron-energy-loss spectra and the structural stability of nickel oxide: An LSDA+U study. Phys. Rev. B 1998, 57, 1505–1509. [Google Scholar] [CrossRef]
- Bandyopadhyay, A.; Velev, J.; Butler, W.; Sarker, S.K.; Bengone, O. Effect of electron correlations on the electronic and magnet-ic structure of Ti-doped α-hematite. Phys. Rev. B 2004, 69, 174429. [Google Scholar] [CrossRef]
- Sandratskii, L.M.; Uhl, M.; Kübler, J. Band theory for electronic and magnetic properties of. J. Phys. Condens. Matter 1996, 8, 983–989. [Google Scholar] [CrossRef]
- Wong, K.; Zeng, Q.H.; Yu, A.B. Electronic Structure of Metal (M = Au, Pt, Pd, or Ru) Bilayer Modified α-Fe2O3(0001) Surfaces. J. Phys. Chem. C 2011, 115, 4656–4663. [Google Scholar] [CrossRef]
- Rohrbach, A.; Hafner, J.; Kresse, G. Ab initio study of the (0001) surfaces of hematite and chromia: Influence of strong electronic correlations. Phys. Rev. B 2004, 70, 125426. [Google Scholar] [CrossRef]
- Glasscock, J.; Barnes, P.; Plumb, I.; Bendavid, A.; Martin, P. Structural, optical and electrical properties of undoped polycrystal-line hematite thin films produced using filtered arc deposition. Thin Solid Films 2008, 516, 1716–1724. [Google Scholar] [CrossRef]
- Merchant, P.; Collins, R.; Kershaw, R.; Dwight, K.; Wold, A. The electrical, optical and photoconducting properties of Fe2−xCrxO3 (0 ≤ x ≤ 0.47). J. Solid State Chem. 1979, 27, 307–315. [Google Scholar] [CrossRef]
- Zhang, Y.; Zeng, W.; Li, Y. NO2 and H2 sensing properties for urchin-like hexagonal WO3 based on experimental and first-principle investigations. Ceram. Int. 2019, 45, 6043–6050. [Google Scholar] [CrossRef]
- Zhang, Y.; Zeng, W.; Li, Y. Computational study of surface orientation effect of rutile TiO2 on H2S and CO sensing mechanism. Appl. Surf. Sci. 2019, 495, 143619. [Google Scholar] [CrossRef]
- Guerra, C.F.; Handgraaf, J.W.; Baerends, E.J.; Bickelhaupt, F.M. Voronoi deformation density (VDD) charges: Assessment of the Mulliken, Bader, Hirshfeld, Weinhold, and VDD methods for charge analysis. J. Comput. Chem. 2004, 25, 189–210. [Google Scholar] [CrossRef]
- Finger, L.W.; Hazen, R.M. Crystal structure and isothermal compression of Fe2O3, Cr2O3, and V2O3 to 50 kbars. J. Appl. Phys. 1980, 51, 5362. [Google Scholar] [CrossRef]
- Wang, X.-G.; Weiss, W.; Shaikhutdinov, S.K.; Ritter, M.; Petersen, M.; Wagner, F.; Schlögl, R.; Scheffler, M. The hematite (α-Fe2O3) (0001) surface: Evidence for domains of distinct chemistry. Phys. Rev. Lett. 1998, 81, 1038. [Google Scholar] [CrossRef] [Green Version]
- Zhang, Y.; Liu, J. Density Functional Theory Study of Arsenic Adsorption on the Fe2O3 (001) Surface. Energy Fuels 2019, 33, 1414–1421. [Google Scholar] [CrossRef]
- Alvarez-Ramırez, F.; Martınez-Magadán, J.; Gomes, J.; Illas, F. On the geometric structure of the (0001) hematite surface. Surf. Sci. 2004, 558, 4–14. [Google Scholar] [CrossRef]
- Perepichka, D.F.; Bryce, M.R. Molecules with Exceptionally Small HOMO-LUMO Gaps. Angew. Chem. Int. Ed. 2005, 44, 5370–5373. [Google Scholar] [CrossRef] [PubMed]
- Wang, Z.C.; Zeng, W.; Gu, L.; Saito, M.; Tsukimoto, S.; Ikuhara, Y. Atomic scale structure and electronic property of the LaA-lO3/TiO2 interface. J. Appl. Phys. 2010, 108, 113701. [Google Scholar] [CrossRef]
Publisher’s Note: MDPI stays neutral with regard to jurisdictional claims in published maps and institutional affiliations. |
© 2021 by the authors. Licensee MDPI, Basel, Switzerland. This article is an open access article distributed under the terms and conditions of the Creative Commons Attribution (CC BY) license (https://creativecommons.org/licenses/by/4.0/).









