First Principles Study of the Vibrational and Thermal Properties of Sn-Based Type II Clathrates, CsxSn136 (0 ≤ x ≤ 24) and Rb24Ga24Sn112
Abstract
1. Introduction
2. Results and Discussion
2.1. Structural Property of AxSn136 (0 ≤ x ≤ 24; A = Na, K, Cs) and Vibrational Property of CsxSn136 (x = 12, 16, 20)
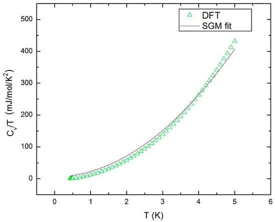
2.2. Vibrtional and Thermal Properties of Rb24Ga24Sn112 and Cs24Ga24Sn112
3. Computational Approach
4. Conclusions
Author Contributions
Funding
Acknowledgments
Conflicts of Interest
References
- Prokofiev, A.; Sidorenko, A.; Hradil, K.; Ikeda, M.; Svagera, R.; Winkler, H.; Neumaier, K.; Paschen, S. Thermopower enhancement by encapsulating cerium in clathrate cages. Nat. Mater. 2013, 12, 1096–1101. [Google Scholar] [CrossRef] [PubMed]
- Kleinke, H. New bulk Materials for Thermoelectric Power Generation: Clathrates and Complex Antimonides. Chem. Mater. 2010, 22, 604–611. [Google Scholar] [CrossRef]
- Seeback. Magnetische Polarisation der Metalle und Erze durch Temperatur-Differenz; Abhandlungen der Königlichen Akademie der Wissenschaften zu Berlin: Berlin, Germany, 1822; pp. 265–373. [Google Scholar]
- Saiga, Y.; Suekuni, K.; Deng, S.K.; Yamamoto, T.; Kono, Y.; Ohya, N.; Takabatake, T. Optimization of Thermoelectric Properties of Type-VIII Clathrate Ba8Ga16Sn30 by Carrier Tuning. J. Alloys Compd. 2010, 507, 1–5. [Google Scholar] [CrossRef]
- Christensen, M.; Johnsen, S.; Juranyi, F.; Iversen, B.B. Clathrate guest atoms under pressure. J. Appl. Phys. 2009, 105, 073508. [Google Scholar] [CrossRef]
- Yanagisawa, T.; Tateiwa, N.; Mayama, T.; Saito, H.; Hidaka, H.; Amitsuka, H.; Haga, Y.; Nemoto, Y.; Goto, T. Ultrasonic Measurements on the Cage-Structured Clathrate Compound U3Pd20Si6. J. Phys. Soc. Jpn. 2011, 80 (Suppl. A), SA105. [Google Scholar] [CrossRef]
- Khabibullin, A.R.; Huan, T.D.; Nolas, G.; Woods, L.M. Cage disorder and gas encapsulation as routes to tailor properties of inorganic clathrates. Acta Mater. 2017, 131, 475–481. [Google Scholar] [CrossRef]
- Slack, G.A. CRC Handbook of Thermoelectrics; Rowe, D.M., Ed.; CRC: Boca Raton, FL, USA, 1995; pp. 407–440. [Google Scholar]
- Slack, G.A. Proceedings of Thermoelectric Materials: New Directions and Approaches; MRS Symposia Proceedings No. 478; Materials Research Society: Pittsburgh, PA, USA, 1997; p. 47. [Google Scholar]
- Suekuni, K.; Takasu, T.; Hasegawa, T.; Ogita, N.; Udagawa, M.; Avila, M.A.; Takabatake, T. Off-center rattling modes and glasslike thermal conductivity in the type-I clathrate Ba8Ga16Sn30. Phys. Rev. B 2010, 81, 205207. [Google Scholar] [CrossRef]
- Tadano, T.; Gohda, Y.; Tsuneyuki, S. Impact of Rattlers on Thermal Conductivity of a Thermoelectric Clathrate: A First-Principles Study. Phys. Rev. Lett. 2015, 114, 095501. [Google Scholar] [CrossRef]
- Nolas, G.S.; Cohn, J.L.; Slack, G.A.; Schujman, S.B. Semiconducting Ge clathrates: Promising candidates for thermoelectric applications. Appl. Phys. Lett. 1998, 73, 178. [Google Scholar] [CrossRef]
- Dong, J.; Sankey, O.F.; Myles, C.W. Theoretical Study of the Lattice Thermal Conductivity in Ge Framework Semiconductors. Phys. Rev. Lett. 2001, 86, 2361. [Google Scholar] [CrossRef]
- Beekman, M.; Nolas, G.S. Inorganic clathrate-II materials of group 14: Synthetic routes and physical properties. J. Mater. Chem. 2008, 18, 842–851. [Google Scholar] [CrossRef]
- Guloy, A.M.; Ramlau, R.; Tang, Z.; Schnelle, W.; Baitinger, M.; Grin, Y. A guest-free germanium clathrate. Nature 2006, 43, 320–323. [Google Scholar] [CrossRef] [PubMed]
- Biswas, K.; Myles, C.W.; Sanati, M.; Nolas, G.S. Thermal Properties of Guest-Free Si136 and Ge136 Clathrates. J. Appl. Phys. 2008, 104, 033535. [Google Scholar] [CrossRef]
- Myles, C.W.; Dong, J.; Sankey, O.F.; Nolas, G.S. Vibrational Properties of Tin Clathrate Materials. Phys. Rev. B 2002, 65, 235208. [Google Scholar] [CrossRef]
- Nolas, G.S.; Slack, G.A.; Schujman, S.B. Semiconductor clathrates: A phonon glass electron crystal material with potential for thermoelectric applications. Semicond. Semimet. 2000, 69, 255–300. [Google Scholar]
- Nolas, G.S.; Chakoumakos, B.C.; Mahieu, B.; Long, G.J.; Weakley, T.J.R. Structural Characterization and Thermal Conductivity of Type-I Tin Clathrates. Chem. Mater. 2000, 12, 1947–1953. [Google Scholar] [CrossRef]
- Qiu, L.; Swainson, I.P.; Nolas, G.S.; White, M.A. Structure, thermal, and transport properties of the clathrates Sr8Zn8Ge38, Sr8Ga16Ge30, and Ba8Ga16Si30. Phys. Rev. B 2004, 70, 035208. [Google Scholar] [CrossRef]
- Wilkinson, A.P.; Lind, C.; Young, R.A.; Shastri, S.D.; Lee, P.L.; Nolas, G.S. Preparation, Transport Properties, and Structure Analysis by Resonant X-ray Scattering of the Type I Clathrate Cs8Cd4Sn42. Chem. Mater. 2002, 14, 1300–1305. [Google Scholar] [CrossRef]
- Dubois, F.; Fässler, T.F. Ordering of Vacancies in Type-I Tin Clathrate: Superstructure of Rb8Sn44☐2. J. Am. Chem. Soc. 2005, 127, 3264–3265. [Google Scholar] [CrossRef]
- Schäfer, M.C.; Bobev, S. Tin Clathrates with the Type II Structure. J. Am. Chem. Soc. 2013, 135, 1696–1699. [Google Scholar] [CrossRef]
- Wei, K.; Zeng, X.; Tritt, T.M.; Khabibullin, A.R.; Woods, L.M.; Nolas, N.S. Structure and Transport Properties of Dense Polycrystalline Clathrate-II (K,Ba)16(Ga,Sn)136 Synthesized by a New Approach Employing SPS. Materials 2016, 9, 732. [Google Scholar] [CrossRef] [PubMed]
- Huo, D.; Sakata, T.; Sasakawa, T.; Avila, M.A.; Tsubota, M.; Iga, F.; Fukuoka, H.; Yamanaka, S.; Aoyagi, S.; Takabatake, T. Structural, transport, and thermal properties of the single-crystalline type-VIII clathrate Ba8Ga16Sn30. Phys. Rev. B 2005, 71, 075113. [Google Scholar] [CrossRef]
- Kono, Y.; Ohya, N.; Taguchi, T.; Suekuni, K.; Takabatake, T.; Yamamoto, S.; Akai, K. First-principles study of type-I and type-VIII Ba8Ga16Sn30 clathrates. J. Appl. Phys. 2010, 107, 123720. [Google Scholar] [CrossRef]
- Xue, D.; Myles, C.W.; Higgins, C. Effect of Guest Atom Composition on the Structural and Vibrational Properties of the Type II Clthrate-Based Materials AxSi136, AxGe136 and AxSn136 (A = Na, K, Rb, Cs; 0 ≤ x ≤ 24). Materials 2016, 9, 691. [Google Scholar] [CrossRef] [PubMed]
- Zintl, E.; Brauer, G. Über die Valenzelektronenregel und die Atomradien unedler Metalle in Legierungen. Z. Für Phys. Chem. 1933, 20, 245–271. [Google Scholar] [CrossRef]
- Biswas, K.; Myles, C.W. Density-functional investigation of Na16A8Ge136 (A = Rb, Cs) clathrates. J. Phys. Condens. Matter 2007, 19, 466206. [Google Scholar] [CrossRef]
- Biswas, K.; Myles, C.W. Electronic and Vibrational Properties of Framework-Substituted Type II Si Clathrates. Phys. Rev. B 2007, 75, 245205. [Google Scholar] [CrossRef]
- Beekman, M.; Hermann, R.P.; Möchel, A.; Juranyi, F.; Nolas, G.S. A study of low-energy guest phonon modes in clathrate-II NaxSi136 (x = 3, 23, and 24). J. Phys. Condens. Matter 2010, 22, 355401. [Google Scholar] [CrossRef]
- Dong, J.; Sankey, O.F.; Ramachandran, G.K.; McMillan, P. Chemical trends of the rattling phonon modes in alloyed germanium clathrates. J. Appl. Phys. 2000, 87, 7726. [Google Scholar] [CrossRef]
- Machon, D.; Toulemonde, P.; McMillan, P.F.; Amboage, M.; Munoz, A.; Rodriguez-Hernandez, P.; Miguel, A.S. High-pressure phase transformations, pressure-induced amorphization, and polyamorphic transition of the clathrate Rb6.15Si46. Phys. Rev. B 2009, 79, 184101. [Google Scholar] [CrossRef]
- Imai, Y.; Imai, M. Chemical trends of the band gaps of idealized crystal of semiconducting silicon clathrates, M8Si38A8 (M = Na, K, Cs, Rb; A = Ga, Al, In), predicted by first-principle pseudopotential calculations. J. Alloys Compd. 2011, 509, 3924–3930. [Google Scholar] [CrossRef]
- Mutka, H.; Koza, M.M.; Johnson, M.R.; Hiroi, Z.; Yamaura, J.; Nagao, Y. Generalized density-of-states ad anharmonicity of the low-energy phonon bands from coherent inelastic neutron scattering response in the pyrochlore osmates AOs2O6 (A = K, Rb, Cs). Phys. Rev. B 2008, 78, 104307. [Google Scholar] [CrossRef]
- Patschke, R.; Zhang, X.; Singh, D.; Schindler, J.; Kannewurf, C.R.; Lowhorn, N.; Tritt, T.; Nolas, G.S.; Kanatzidis, M.G. Thermoelectric Properties and Electronic Structure of the Cage Compounds A2BaCu8Te10 (A = K, Rb, Cs): System with Low Thermal Conductivity. Chem. Mater. 2001, 13, 612–621. [Google Scholar] [CrossRef]
- Takabatake, T.; Suekuni, K.; Nakayama, T.; Kaneshita, E. Phonon-glass electron-crystal thermoelectric clathrates: Experiments and theory. Rev. Mod. Phys. 2014, 86, 669. [Google Scholar] [CrossRef]
- Umeo, K.; Avila, M.A.; Sakata, T.; Suekuni, K.; Takabatake, T. Probing Glasslike Excitations in Single-Crystalline Sr8Ga16Ge30 by Specific Heat and Thermal Conductivity. J. Phys. Soc. Jpn. 2005, 74, 2145–2148. [Google Scholar] [CrossRef]
- Suekuni, K.; Avila, M.A.; Umeo, K.; Takabatake, T. Cage-size control of guest vibration and thermal conductivity in Sr8Ga16Si30−xGex. Phys. Rev. B 2007, 75, 195210. [Google Scholar] [CrossRef]
- Avila, M.A.; Suekuni, K.; Umeo, K.; Fukuoka, H.; Yamanaka, S.; Takabatake, T. Ba8Ga16Sn30 with type-I clathrate structure: Drastic suppression of heat conduction. Appl. Phys. 2008, 92, 041901. [Google Scholar] [CrossRef]
- Suekuni, K.; Avila, M.A.; Umeo, K.; Fukuoka, H.; Yamanaka, S.; Nakagawa, T.; Takabatake, T. Simulations structure and carrier tuning of dimorphic clathrate Ba8Ga16Sn30. Phys. Rev. B 2008, 77, 235119. [Google Scholar] [CrossRef]
- Suekuni, K.; Yamamoto, S.; Avila, M.A.; Takabatake, T. Universal Relation between Guest Free Space and Lattice Thermal Conductivity Reduction by Anharmonic Rattling in Type-I Clathrates. J. Phys. Soc. Jpn. 2008, 77, 61–66. [Google Scholar] [CrossRef]
- Xu, J.; Tang, J.; Sato, K.; Tanabe, Y.; Heguri, S.; Miyasaka, H.; Yamashita, M.; Tanigaki, K. Heat Capacity Study on Anharmonicity in Ae8Ga16Ge30 (Ae = Sr and Ba). J. Electron. Mater. 2011, 40, 879. [Google Scholar] [CrossRef]
- Zeller, R.C.; Pohl, R.O. Thermal Conductivity and Specific Heat of Noncrystalline Solids. Phys. Rev. B 1971, 4, 2029. [Google Scholar] [CrossRef]
- Stephens, R.B. Low-Temperature Specific Heat and Thermal Conductivity of Noncrystalline Dielectric Solids. Phys. Rev. B 1973, 8, 2896. [Google Scholar] [CrossRef]
- Freeman, J.J.; Anderson, A.C. Thermal conductivity of amorphous solids. Phys. Rev. B 1986, 34, 5684. [Google Scholar] [CrossRef]
- Qiu, L.; White, M.A.; Li, Z.; Tse, J.S.; Ratcliffe, C.I.; Tulk, C.A.; Dong, J.; Sankey, O.F. Thermal and lattice dynamical properties of Na8Si46 clathrate. Phys. Rev. B 2001, 64, 024303. [Google Scholar] [CrossRef]
- Nenghabi, E.N.; Myles, C.W. First Principles Calculations of the Vibrational and Thermal Properties of the Type-I Clathrates Ba8Ga16SixGe30−x and Sr8Ga16SixGe30−x. Phys. Rev. B 2008, 78, 195202. [Google Scholar] [CrossRef]
- Hayashi, M.; Kishimoto, K.; Akai, K.; Asada, H.; Kishio, K.; Koyanagi, T. Preparation and thermoelectric properties of sintered n-type K8M8Sn38 (M = Al, Ga and In) with the type-I clathrate structure. J. Phys. D Appl. Phys. 2012, 45, 45. [Google Scholar] [CrossRef]
- Avilla, M.A.; Suekuni, K.; Umeo, K.; Fukuoka, H.; Yamanaka, S.; Takabatake, T. Glasslike versus crystalline thermal conductivity in carrier-tuned Ba8Ga16X30 clathrates (X = Ge, Sn). Phys. Rev. B 2006, 74, 125109. [Google Scholar] [CrossRef]
- Kresse, G.; Furthmuller, J. Efficient iterative schemes for ab initio total-energy calculations using a plane-wave basis set. Phys. Rev. B 1996, 54, 11169. [Google Scholar] [CrossRef]
- Vanderbilt, D. Soft self-consistent pseudopotentials in a generalized eigenvalue formalism. Phys. Rev. B 1990, 41, 7892. [Google Scholar] [CrossRef]
- Laasonen, K.; Car, R.; Lee, C.; Vanderbilt, D. Implementation of ultrasoft pseudopotentials in ab initio molecular dynamics. Phys. Rev. B 1991, 43, 6796. [Google Scholar] [CrossRef]
- Ceperley, D.M.; Alder, B.J. Ground State of the Electron Gas by a Stochastic Method. Phys. Rev. Lett. 1980, 45, 566. [Google Scholar] [CrossRef]
- Biswas, K.; Myles, C.W. Electronic Structure of the Na16Rb8Si136 and K16Rb8Si136 Clathrates. Phys. Rev. B 2006, 74, 115113. [Google Scholar] [CrossRef]
- Myles, C.W.; Biaswas, K.; Nenghabi, E.N. Rattling “Guest” Impurities o in Si and Ge Clathrate Semiconductors. Phys. B 2007, 401, 695. [Google Scholar] [CrossRef]
- Myles, C.W.; Dong, J.; Sankey, O.F. Structural and Electronic Properties of Tin Clathrate Materials. Phys. Rev. B 2001, 64, 165202. [Google Scholar] [CrossRef]
- Monkhorst, H.J.; Pack, J.D. Special points for Brillouin-zone integrations. Phys. Rev. B 1976, 13, 5188. [Google Scholar] [CrossRef]
- Birch, F. Elasticity and constitution of the Earth’s interior. J. Geophys. Res. 1952, 57, 227. [Google Scholar] [CrossRef]
- Dong, J.; Sankey, O.F.; Kern, G. Theoretical study of the vibrational modes and their pressure dependence in the pure clthrate-II silicon framework. Phys. Rev. B 1999, 60, 950. [Google Scholar] [CrossRef]
- Dong, J.; Sankey, O.F. Theoretical study of two expanded phases of crystalline germanium: Clathrate-I and clathrate-II. J. Phys. Condens. Matter 1999, 11, 6129. [Google Scholar] [CrossRef]










© 2019 by the authors. Licensee MDPI, Basel, Switzerland. This article is an open access article distributed under the terms and conditions of the Creative Commons Attribution (CC BY) license (http://creativecommons.org/licenses/by/4.0/).
Share and Cite
Zahid, H.; Xue, D.; Myles, C.W. First Principles Study of the Vibrational and Thermal Properties of Sn-Based Type II Clathrates, CsxSn136 (0 ≤ x ≤ 24) and Rb24Ga24Sn112. Inorganics 2019, 7, 74. https://doi.org/10.3390/inorganics7060074
Zahid H, Xue D, Myles CW. First Principles Study of the Vibrational and Thermal Properties of Sn-Based Type II Clathrates, CsxSn136 (0 ≤ x ≤ 24) and Rb24Ga24Sn112. Inorganics. 2019; 7(6):74. https://doi.org/10.3390/inorganics7060074
Chicago/Turabian StyleZahid, Hadeel, Dong Xue, and Charles W. Myles. 2019. "First Principles Study of the Vibrational and Thermal Properties of Sn-Based Type II Clathrates, CsxSn136 (0 ≤ x ≤ 24) and Rb24Ga24Sn112" Inorganics 7, no. 6: 74. https://doi.org/10.3390/inorganics7060074
APA StyleZahid, H., Xue, D., & Myles, C. W. (2019). First Principles Study of the Vibrational and Thermal Properties of Sn-Based Type II Clathrates, CsxSn136 (0 ≤ x ≤ 24) and Rb24Ga24Sn112. Inorganics, 7(6), 74. https://doi.org/10.3390/inorganics7060074

