Computational Treatments of Hybrid Dye Materials of Azobenzene and Chiral Schiff Base Metal Complexes
Abstract
1. Introduction
2. Results
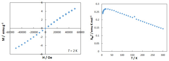
2.1. Preparations of Chiral Cu(II) Complexes and Photofunctional Hybird Mateirals
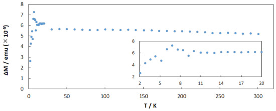
2.2. Polarized UV Light Induced Molecular Alignment
3. Discussion
3.1. Bayesian Statistics for Data Smoothing
3.1.1. Bayesian Theorem
3.1.2. Application of Bayesian Theorem
- (1)
- A precondition: Inference of an anisotropy parameter of the phenomenon that forms by a fixation probability.
- A phenomenon generates time t in fixation probability R Δt between minute time Δt which divided the m time.
- The phenomenon of which n is independent is observed in time ti (i = 1, ..., n).
- (2)
- Bayes inference
- Reverse ex posto fact probability after the first phenomenon occurrence.
- The probability that a change in anisotropy occurs to a m time trial and it doesn’t occur just before it.
- Δt gets a limit of 0, m is infinite, 𝑝, 𝑝 considers that 0 (𝑅𝑅) is a scale factor.
- When a phenomenon of a n time trial was observed in time tn.
- A mean of observed time interval is <t>, and the special system is integrated.
3.2. MD Modeling of Hybrid Materials
- Systems 1, 2, 3 were modeled and calculated by a molecular dynamics method. After it is also judged as the one from temperature control (298 K) from the convergence situation of the energy. It was confirmed that a modeling of the system is proper.
- Optically anisotropic of systems 1, 2, 3 were analyzed.
- (1)
- Analysis result of system 1 (AZ+PMMA)
- (2)
- Analysis result of system 2 (pnCu(S)+PMMA)
- (3)
- Analysis result of system 3 (pnCu(S)+AZ+PMMA)
4. Materials and Methods
5. Conclusions
Acknowledgments
Author Contributions
Conflicts of Interest
Abbreviations
| AZ | azobenzene |
| CD | circular dichroism |
| IR | infrared |
| PMMA | polymethyl methacrylate |
| MD | molecular dynamics |
| UV | ultraviolet |
| Vis | visible |
References
- Mustafa, M.N.; Shafie, S.; Zainal, Z.; Sulaiman, Y. Poly(3,4-ethylenedioxythiophene) doped with various carbon-based materials as counter electrodes for dye sensitized solar cells. Mater. Des. 2017, 136, 249–257. [Google Scholar] [CrossRef]
- Najafi-Ghalelou, A.; Nojavan, S.; Zare, K. Finely tuning electrolytes and photoanodes in aqueous solar cells by experimental design. Sol. Energy 2018, 163, 251–255. [Google Scholar]
- Salvador, G.P.; Pugliese, D.; Bella, F.; Chiappone, A.; Sacco, A.; Bianco, S.; Quaglio, M. New insights in long-term photovoltaic performance characterization of cellulose-based gel electrolytes for stable dye-sensitized solar cells. Electrochim. Acta 2014, 146, 44–51. [Google Scholar] [CrossRef]
- Bella, F.; Chiappone, A.; Nair, J.R.; Meligrana, G.; Gerbaldi, C. Effect of Different Green Cellulosic Matrices on the Performance of Polymeric Dye-Sensitized Solar Cells. Chem. Eng. Trans. 2014, 41, 211–216. [Google Scholar]
- Imperiyka, M.; Ahmad, A.; Hanifah, S.A.; Bella, F. A UV-prepared linear polymer electrolyte membrane for dye-sensitized solar cells. Phys. B Condens. Matter 2014, 450, 151–154. [Google Scholar] [CrossRef]
- Bella, F.; Galliano, S.; Falco, M.; Viscardi, G.; Barolo, C.; Grätzel, M.; Gerbaldi, C. Approaching truly sustainable solar cells by the use of water and cellulose derivatives. Green Chem. 2017, 19, 1043–1051. [Google Scholar] [CrossRef]
- Akitsu, T.; Einaga, Y. Syntheses, crystal structures, and electronic properties of a series of copper(II) complexes with 3,5-halogen-substituted Schiff base ligands and their solutions. Polyhedron 2005, 24, 2933–2943. [Google Scholar] [CrossRef]
- Akitsu, T.; Einaga, Y. Synthesis, crystal structures, and electronic properties of Schiff base nickel(II) complexes: Towards solvatochromism induced by photochromic solute. Polyhedron 2005, 24, 1869–1877. [Google Scholar] [CrossRef]
- Akitsu, T. Photofunctional supramolecular solution systems of chiral Schiff base nickel(II), copper(II), and zinc(II) complexes and photochromic azobenzenes. Polyhedron 2007, 26, 2527–2535. [Google Scholar] [CrossRef]
- Akitsu, T.; Itoh, T. Polarized spectroscopy of hybrid materials of chiral Schiff base cobalt(II), nickel(II), copper(II), and zinc(II) complexes and photochromic azobenzenes in PMMA films. Polyhedron 2010, 29, 477–487. [Google Scholar] [CrossRef]
- Akitsu, T.; Ishioka, C.; Itoh, T. Polarized Spectroscopy of Hybrid Materials of Mn12 Single-Molecule Magnet and Azobenzene or Disperse Red 1 in PMMA Films. Cent. Eur. J. Chem. 2009, 7, 690. [Google Scholar] [CrossRef]
- Akitsu, T.; Tanaka, R. Polarized Electronic and IR Spectra of Hybrid Materials of Chiral Mn(II) Complexes and Different Types of Photochromic Dyes Showing Photoisomerization or Weigert Effect. Curr. Phys. Chem. 2011, 1, 82–89. [Google Scholar] [CrossRef]
- Miura, T.; Onodera, T.; Endo, S.; Yamazaki, A.; Akitsu, T. Some hybrid systems of chiral Schiff base Zn(II) complexes and photochrmic spiropyrans for envitonmental ion sensing. Am. J. Anal. Chem. 2014, 5, 751–765. [Google Scholar] [CrossRef][Green Version]
- Aritake, Y.; Takanashi, T.; Yamazaki, A.; Akitsu, T. Polarized spectroscopy and hybrid materials of chiral Schiff base Ni(II), Cu(II), Zn(II) complexes with included or separated azo-groups. Polyhedron 2011, 30, 886–894. [Google Scholar] [CrossRef]
- Aritake, Y.; Akitsu, T. The role of chiral dopants in organic/inorganic hybrid materials containing chiral Schiff base Ni(II), Cu(II), and Zn(II) complexes. Polyhedron 2012, 31, 278–284. [Google Scholar] [CrossRef]
- Ito, M.; Akitsu, T. Polarized UV light induced molecular arrangement depending on flexibility of chiral Schiff base Ni(II), Cu(II), and Zn(II) complexes by azobenzene in PMMA matrix. Contemp. Eng. Sci. 2014, 7, 869–877. [Google Scholar] [CrossRef]
- Hariu, N.; Ito, M.; Akitsu, T. Linearly, Circularly, or Non-polarized Light Induced Supramolecular Arrangement of Diastereomer Schiff Base Ni(II), Cu(II), and Zn(II) Complexes by Azobenzene in PMMA Matrix. Contemp. Eng. Sci. 2015, 8, 57–70. [Google Scholar] [CrossRef]
- Ito, M.; Akitsu, T.; Palafox, M.A. Theoretical interpretation of polarized light-induced supramolecular orientation on the basis of normal mode analysis of azobenzene as hybrid materials in PMMA with chiral Schiff base Ni(II), Cu(II), and Zn(II) complexes. J. Appl. Solut. Chem. Model. 2016, 5, 30–47. [Google Scholar]
- Akitsu, T.; Tanaka, R.; Yamazaki, A. Separate observation with polarized electronic and IR spectra of hybrid materials of chiral Mn(II) complexes and azobenzene. J. Mater. Sci. Eng. A 2011, 1, 518–525. [Google Scholar]
- Yamazaki, A.; Akitsu, T. Polarized spectroscopy and polarized UV light-induced molecular orientation of chiral diphenyl Schiff base Ni(II) and Cu(II) complexes and azobenzene in a PMMA film. RSC Adv. 2012, 2, 2975–2980. [Google Scholar] [CrossRef]
- Yamazaki, A.; Hiratsuka, T.; Akitsu, T. Computational details of calculated UV-VIS and CD spectra of a salen type of chiral Schiff base Ni(II) complex. Asian Chem. Lett. 2012, 16, 1–8. [Google Scholar]
- Yamazaki, A.; Hiratsuka, T.; Akitsu, T. Computational UV-VIS and CD spectra of a chiral Schiff base mononuclear Cu(II) complex (salpn). Asian Chem. Lett. 2012, 16, 19–32. [Google Scholar]
- Akitsu, T.; Einaga, Y. Novel photo-induced aggregation behavior of a supramolecular system containing iron(III) magnetic ionic liquid and azobenzene. Inorg. Chem. Commun. 2006, 9, 1108–1110. [Google Scholar] [CrossRef]
- Aktisu, T.; Nishijo, J. The first observation of photoinduced tuning of AC magnetization for organic/inorganic hybrid materials composed of Mn12-acetate and azobenzene. J. Magn. Magn. Mater. 2007, 315, 95–100. [Google Scholar] [CrossRef]
- Aktisu, T.; Nishijo, J. The first detection of photomodulation by both DC and in-phase AC susceptibility for organic/inorganic hybrid materials containing cyano-bridged Gd–Cr complex and azobenzene. J. Magn. Magn. Mater. 2008, 320, 1586–1590. [Google Scholar] [CrossRef]
- Aktisu, T. The tuning of quantum magnetization for organic/inorganic hybrid materials composed of Mn12-acetate and azobenzene casted into PMMA films on PVA films. J. Magn. Magn. Mater. 2009, 321, 207–212. [Google Scholar] [CrossRef]
- Akitsu, T.; Tanaka, R. Polarized Electronic and IR Spectroscopy of Hybrid Materials of Chiral Cu(II) and Mn12 Complexes and Some Photochromic Compounds in PMMA Films. Asian Chem. Lett. 2010, 14, 235–254. [Google Scholar]
- Takase, M.; Akitsu, T. Linearly polarized light-induced anisotropic orientation of binuclear Ni(II), Cu(II), and Zn(II) Schiff base complexes including or without methyl orange in PVA. In Polymer Science Book Series—Volume # 1: “Polymer Science: Research Advances, Practical Applications and Educational Aspects”; Formatex Research Centre: Badajoz, Spain, 2016; pp. 301–308. [Google Scholar]
- Natansohn, A.; Rochon, P. Photoinduced Motions in Azo-Containing Polymers. Chem. Rev. 2002, 102, 4139–4175. [Google Scholar] [CrossRef] [PubMed]
- Ichimura, K. Photoalignment of Liquid-Crystal Systems. Chem. Rev. 2000, 100, 1847–1874. [Google Scholar] [CrossRef] [PubMed]
- Zhang, L.; Cole, J.M. Dye aggregation in dye-sensitized solar cells. J. Mater. Chem. A 2017, 5, 19541–19559. [Google Scholar] [CrossRef]
- Ooyama, Y.; Shimada, Y.; Inoue, S.; Nagano, T.; Fujikawa, Y.; Komaguchi, K.; Imae, I.; Harima, Y. New molecular design of donor-π-acceptor dyes for dye-sensitized solar cells: Control of molecular orientation and arrangement on TiO2 surface. New J. Chem. 2011, 35, 111–118. [Google Scholar] [CrossRef]
- McCree-Grey, J.; Cole, J.M.; Evans, P.J. Preferred Molecular Orientation of Coumarin 343 on TiO2 Surfaces: Application to Dye-Sensitized Solar Cells. ACS Appl. Mater. Interfaces 2015, 7, 16404–16409. [Google Scholar] [CrossRef] [PubMed]
- Zhu, H.-C.; Zhang, J.; Wang, Y.-L. Adsorption orientation effects of porphyrin dyes on the performance of DSSC: Comparison of benzoic acid and tropolone anchoring groups binding onto the TiO2 anatase (101) surface. Appl. Surf. Sci. 2018, 433, 1137–1147. [Google Scholar] [CrossRef]
- Xu, X.; Cui, J.; Han, J.; Zhan, J.; Zhang, Y.; Luan, L.; Alemu, G.; Wang, Z.; Shen, Y.; Xiong, D.; et al. Near Field Enhanced Photocurrent Generation in p-type Dye-Sensitized Solar Cells. Sci. Rep. 2014, 4, 3961. [Google Scholar] [CrossRef] [PubMed]
- Schellman, J.; Jensen, H.P. Optical spectroscopy of oriented molecules. Chem. Rev. 1987, 87, 1359–1399. [Google Scholar] [CrossRef]
- Mentes, T. Use of Baysian Approach in Chemistry. Hacet. J. Biol. Chem. 2011, 39, 19–22. [Google Scholar]
- Yamazaki, A.; Akitsu, T. Recent Treatment of Data in Chemical Analysis. Trends Green Chem. 2017, 3. [Google Scholar] [CrossRef][Green Version]
- Yamazaki, A.; Akitsu, T. Bayesian Statistics in Data Separation of Indicators for Neutralization Titration. IJCST 2017, 104. [Google Scholar] [CrossRef]
- Sunaga, N.; Akitsu, T.; Konomi, T.; Katoh, M. The theoretical interpretation of the Linear/circularly polarized light-induced molecular orientation of the azo group-containing trans-Achiral Schiff base dinuclear complex composite material. MATEC Web Conf. 2017, 130, 07004. [Google Scholar] [CrossRef][Green Version]
- Takano, H.; Takase, M.; Sunaga, N.; Ito, M.; Akitsu, T. Viscosity and intermolecular interaction of organic/inorganic hybrid systems composed of chiral Schiff base Ni(II), Cu(II), Zn(II) complexes having long ligands, azobenzene and PMMA. Inorganics 2016, 4, 20. [Google Scholar] [CrossRef]
- Van der Asdonk, P.; Kouwer, P.H.J. Liquid crystal templating as an approach to spatially and temporally organise soft matter. Chem. Soc. Rev. 2017, 46, 5935–5949. [Google Scholar] [CrossRef] [PubMed]
- Berendsen, H.J.C. Biophysical Applications of Molecular Dynamics. Compt. Phys. Commun. 1987, 44, 233–242. [Google Scholar] [CrossRef]
- Ivanova, B.; Kolev, T. Linearly Polarized IR Spectroscopy Theory and Applications for Structural Analysis; CRC Press: New York, NY, USA, 2012. [Google Scholar]
- Norden, B.; Todger, A.; Dafforn, T. Linear Dichroism and Circular Dichroism: A Textbook on Polarized-Light Spectroscopy; RSC Publishing: London, UK, 2010. [Google Scholar]
- Yamazaki, A.; Akitsu, T. Semiempirical molecular orbital calculations for 3d–4f complexes towards artificial metalloproteins. Int. J. Pharma Sci. Sci. Res. 2017, 3, 53–54. [Google Scholar]
- Akitsu, T.; Yamazaki, A.; Hiroki, H. Drug Design Based on Unfitted or Repulsive Metal Complexes. EC Pharmacol. Toxicol. 2017, RCO.01, 1–2. [Google Scholar]
- Adamo, C.; Jacquemin, D. The calculations of excited-state properties with Time-Dependent Density Functional Theory. Chem. Soc. Rev. 2013, 42, 845–856. [Google Scholar] [CrossRef] [PubMed]
- Pronk, S.; Páll, S.; Schulz, R.; Larsson, P.; Bjelkmar, P.; Apostolov, R.; Shirts, M.R.; Smith, J.C.; Kasson, P.M.; van der Spoel, D.; Hess, B.; Lindahl, E. GROMACS 4.5: A high-throughput and highly parallel open source molecular simulation toolkit. Bioinformatics 2013, 29, 845–854. [Google Scholar] [CrossRef] [PubMed]
- Yamane, S.; Hiyoshi, Y.; Tanaka, S.; Ikenomoto, S.; Numata, T.; Takakura, K.; Haraguchi, T.; Palafox, M.A.; Hara, M.; Sugiyama, M. Substituent Effect of Chiraldiphenyl Salen Metal (M = Fe(II), Co(II), Ni(II), Cu(II), Zn(II)) Complexes for New Conceptual DSSC Dyes. J. Chem. Chem. Eng. 2018, 11, 135–151. [Google Scholar]
- Yamaguchi, M.; Tsunoda, Y.; Tanaka, S.; Haraguchi, T.; Sugiyama, M.; Noor, S.; Akitsu, T. Molecular design through orbital and molecular design of new naphthyl-salen type transition metal complexes toward DSSC dyes. J. Indian Chem. Soc. 2017, 94, 761–772. [Google Scholar]
- Yu, L.; Fan, K.; Duan, T.; Chen, X.; Li, R.; Peng, T. Efficient Panchromatic Light Harvesting with Co-Sensitization of Zinc Phthalocyanine and Bithiophene-Based Organic Dye for Dye-Sensitized Solar Cells. ACS Sustain. Chem. Eng. 2014, 2, 718–725. [Google Scholar] [CrossRef]
- Zhang, T.; Guan, W.; Yan, L.; Ma, T.; Wang, J.; Su, Z. Theoretical studies on POM-based organic–inorganic hybrids containing double D–A1–π–A2 chains for high-performance p-type, dye-sensitized solar cells (DSSCs). Phys. Chem. Chem. Phys. 2015, 17, 5459–5465. [Google Scholar] [CrossRef] [PubMed]
- Jia, Y.; Gou, F.; Fang, R.; Jing, H.; Zhu, Z. SalenZn-bridged D-π-A Dyes for Dye-Sensitized Solar Cells. Chin. J. Chem. 2014, 31, 513–520. [Google Scholar] [CrossRef]









| pn(S)Cu+AZ+PMMA | pn(R)Cu+pn(S)Cu+AZ+PMMA | |
|---|---|---|
| Number of data | 6 | 6 |
| Average | 0.71616 | 0.646637 |
| Standard deviation | 0.018778 | 0.01482 |
| Median value | 0.718471 | 0.6454 |
| Frequency | 0.74 | 0.65 |
© 2018 by the authors. Licensee MDPI, Basel, Switzerland. This article is an open access article distributed under the terms and conditions of the Creative Commons Attribution (CC BY) license (http://creativecommons.org/licenses/by/4.0/).
Share and Cite
Akitsu, T.; Yamazaki, A.; Kobayashi, K.; Haraguchi, T.; Endo, K. Computational Treatments of Hybrid Dye Materials of Azobenzene and Chiral Schiff Base Metal Complexes. Inorganics 2018, 6, 37. https://doi.org/10.3390/inorganics6020037
Akitsu T, Yamazaki A, Kobayashi K, Haraguchi T, Endo K. Computational Treatments of Hybrid Dye Materials of Azobenzene and Chiral Schiff Base Metal Complexes. Inorganics. 2018; 6(2):37. https://doi.org/10.3390/inorganics6020037
Chicago/Turabian StyleAkitsu, Takashiro, Atsuo Yamazaki, Kana Kobayashi, Tomoyuki Haraguchi, and Kazunaka Endo. 2018. "Computational Treatments of Hybrid Dye Materials of Azobenzene and Chiral Schiff Base Metal Complexes" Inorganics 6, no. 2: 37. https://doi.org/10.3390/inorganics6020037
APA StyleAkitsu, T., Yamazaki, A., Kobayashi, K., Haraguchi, T., & Endo, K. (2018). Computational Treatments of Hybrid Dye Materials of Azobenzene and Chiral Schiff Base Metal Complexes. Inorganics, 6(2), 37. https://doi.org/10.3390/inorganics6020037
