Abstract
A series of novel N-heterocyclic carbene coinage metal complexes containing a naphthalimide (NI) chromophore has been prepared and fully characterized. Two types of molecules are described those where the NI unit is directly attached to the carbene unit with the general formulae [(L1)–M–X], M = Cu, X = Cl (1a); M = Ag, X = I (1b) and M = Au, X = Cl, (1c). While in the second family, a π-extended carbene ligand precursor L2–H+I− (3) was prepared where the NI unit is distant from the imidazole unit via a phenyl-alkyne bridge. Only two N-heterocyclic carbene metal complexes were prepared [(L2)–M–Cl], M = Cu (2a) and M = Au (2c). The related silver carbene compound could not be isolated. The molecular structure of the carbene complex 1c was determined and confirmed the formation of the target compound. Interestingly, the structure shows the presence of an aurophilic interaction Au···Au at 3.407 Å between two individual molecules. The photophysical properties of the compounds were investigated in solution at room temperature. Preliminary results suggested that all compounds are luminescent and act as blue emitters (420–451 nm). These transition emissions can be attributed to the intraligand origin of the NI chromphore. Moreover, the carbene complexes featuring L2 ligand with π-extended system were found to be more luminescent.
1. Introduction
N-heterocyclic carbene (NHC) ligands have received much attention since the isolation of the free imidazole-2-ylidene ligand by Arduengo et al. in 1991 [1]. However, the first metal complexes were reported back in 1965 by Ofele and Wanzlick et al. [2,3]. Indeed they allow the formation of stable compounds that have important applications in various fields of chemistry [4,5] such as organometallics [6], homogeneous catalysis [7], metallosupramolecular chemistry, metallodrugs [8], and more recently as luminescent materials [9,10,11]. In the latter, a wide range of luminescent complexes were prepared displaying various properties. However, efforts were focused on N-heterocyclic coinage metal complexes because they tend to form metal–metal interactions at the supramolecular level which might add a novel property to their luminescent properties and also for their potential application as light emitting devices [12,13,14,15,16].
We recently reported the synthesis and characterization of a family of cyclometalated iridium carbene complexes containing a naphthalimide chromophore [17]. The latter behaved as deep red phosphorescent compounds with good quantum yields and long lifetimes. Thus we sought to extend our approach to other metal chromophores, mainly coinage metals. In fact, due to their linear geometry we expected them to promote metal–metal interactions [12,18,19] and hence add a novel property to this kind of compound relative to the cyclometalated iridium compounds. In this paper, we describe the synthesis and photophysical properties of a novel class of N-heterocyclic carbene complexes of Cu(I), Ag(I) and Au(I) containing a naphthalimide chromophore. Two types of compounds are described: (i) those where the naphthalimide is directly linked to the carbene unit, while in the other case (ii) the organic chromophore is distant from the carbene unit via an alkyne arene linkage (Figure 1).
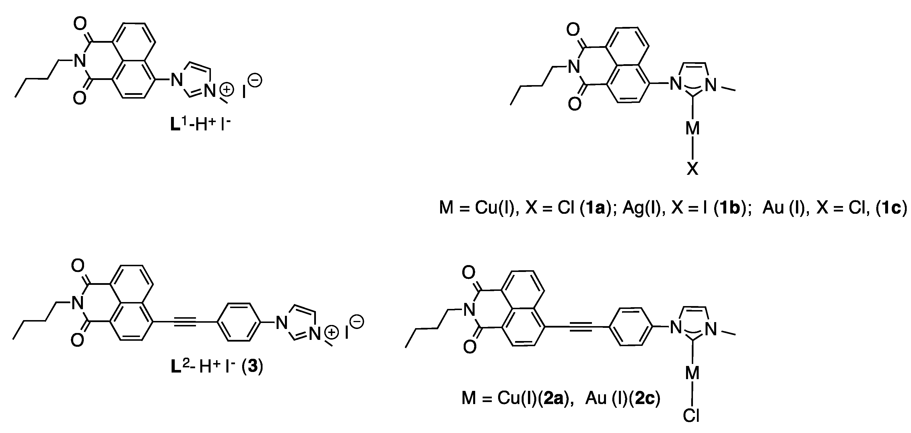
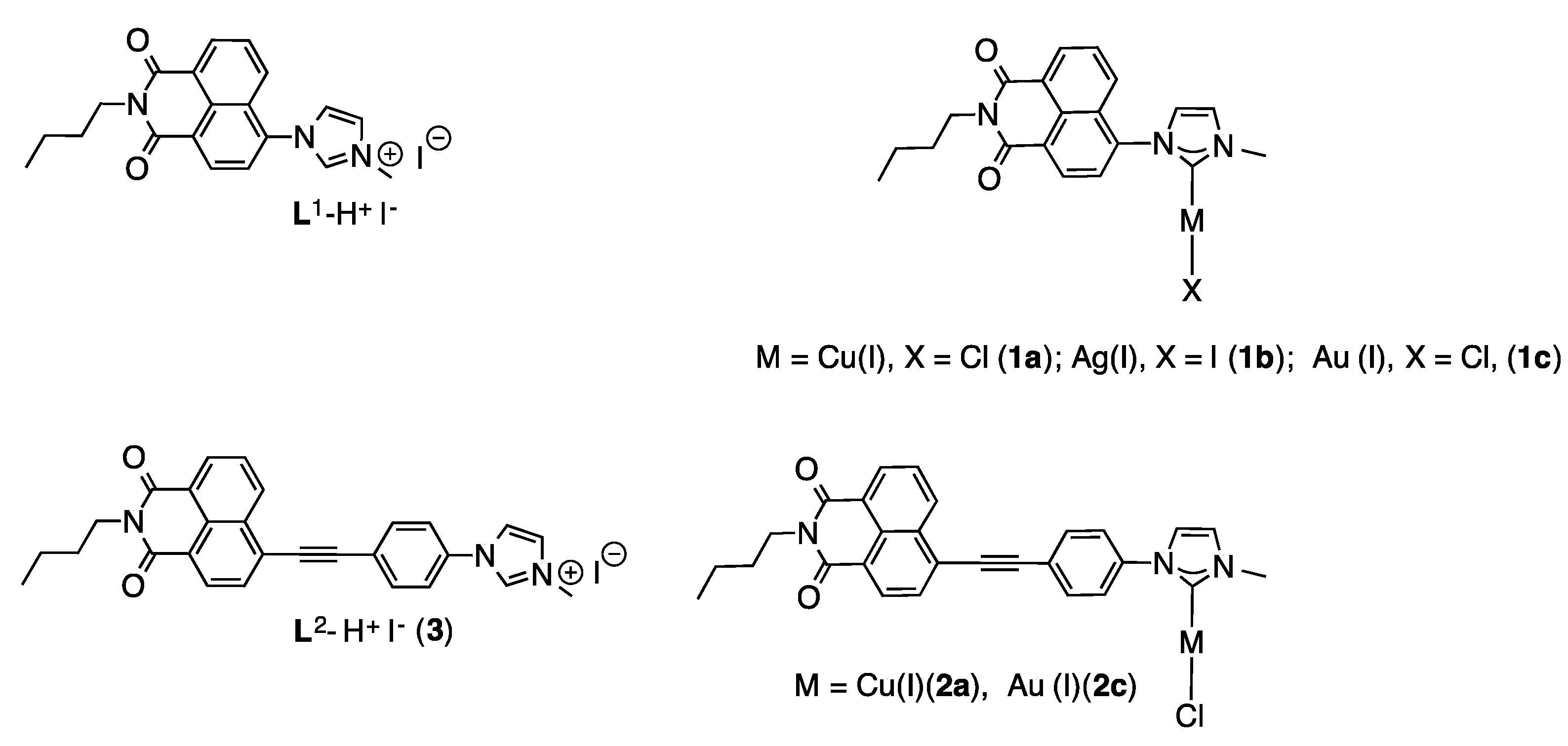
Figure 1.
Ligand precursors L1–H+I− and L2–H+I− and the related NHC carbene complexes with naphthalimide chromophore described in this work.
2. Results and Discussions
2.1. Synthesis and Characterization of the Imidazolium Salts
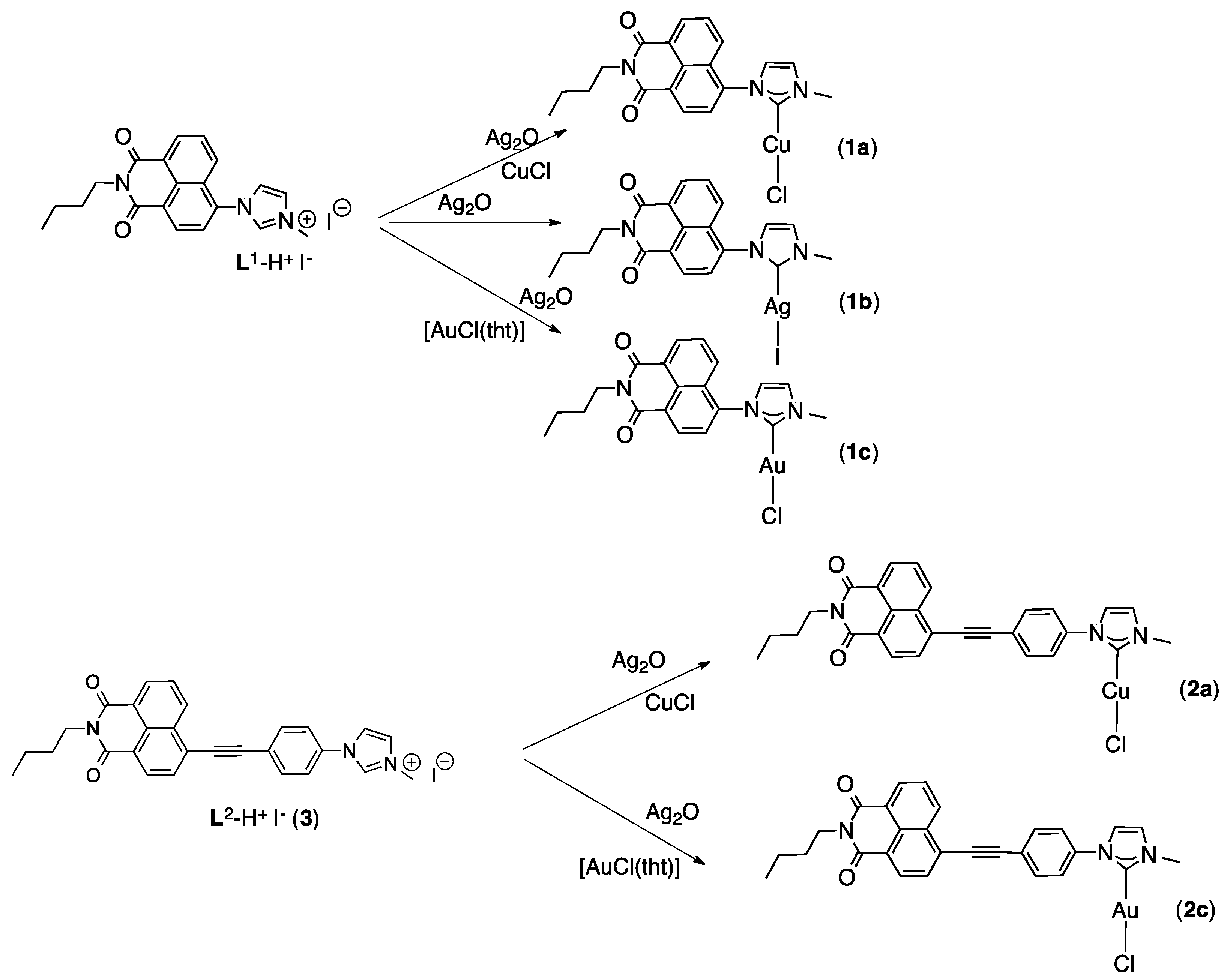
The carbene ligand precursor L1–H+I− was prepared according to our previously reported procedure [17]. For L2–H+I− containing an extended carbon skeleton, the product was prepared in several steps. Thus reaction of imidazole with p-bromofluorobenzene in the presence of potassium phosphate provided 1-(4-bromophenyl)-imidazole (6) (Scheme 1) [20]. Subsequent Sonogashira–Hagihara cross coupling reaction in toluene gave the desired compound 5 in good yield (90%). Cleavage of the Si–C bond using TBAF provided the free alkyne, which was directly engaged in the next step without purification. A second Sonogashira–Hagihara cross coupling reaction between the latter compound and naphthalimide–Br (NI–Br) led to compound 4 in good yield (78%). The methylation reaction took place in refluxing CH3CN with an excess of MeI to form the azolium salt L2–H+I− in satisfactory yield (63%). Full characterizations of these compounds are given in the experimental section.
Scheme 1.
Synthesis of the carbene ligand precursor L2–H+I− (3).
2.2. Synthesis and Characterization of the NHC Coinage Metal Complexes
The novel coinage metal carbene complexes were obtained following the silver carbene transfer route as described previously in the literature [21,22]. Thus, treatment of Ag2O with L1–H+I− in dry CH2Cl2 solution and subsequent transmetallation with the appropriate metal sources (i.e., CuCl or (tht)AuCl) leads to the formation of Cu(I) and Au(I) complexes in moderate to good yields [(L1)–Cu–Cl] (1a) (30%) [(L1)–Au–Cl] (1c) (72%). For comparison purposes, the silver complex was also prepared [(L1)–Ag–I] (1b) with a 94% yield (Scheme 2).
Scheme 2.
Synthesis of the novel carbene coinage metal complexes.
On the other hand, we found that when using L2–H+I− carbene precursor, the reactions were more tedious and required the use of a mixture of CH3NO2/CH2Cl2 for solubility purposes. For instance, the [(L2)–Cu–Cl] (2a) and ([(L2)–Au–Cl] (2c) were obtained at 33% and 72% yields respectively after 16 hours of reaction using Ag2O precursor (Scheme 2). Despite all our efforts, we were unable to isolate the silver carbene complex [(L2)–Ag–I] (2b). All compounds have been characterized by 1H and 13C NMR spectroscopy, elemental analysis, moreover the X-ray molecular structure of 1c was determined and confirmed the formation of the desired compound (vide infra). In particular, the 13C{1H} NMR spectra of the azolium salts showed the presence of a singlet for the C–H group around δ 135 ppm while the related metal carbene complexes 1b, 1c, and 2c displayed a singlet for the carbene carbon centers in the range of δ 171–182 ppm.
2.3. X-ray Molecular Structure of the N-heterocyclic Gold Carbene Complex [(L1)–Au–Cl] (1c)
Convenient crystals for X-ray diffraction crystallography were grown by slow vapor diffusion of diethylether into a dichloromethane solution of [(L1)–Au–Cl] (1c) (Table S1). A view of the structure is given in Figure 2 with selected bond distances and angles. The structure confirms the formation of the target gold complex 1c. Moreover, it shows the geometry around the Au(I) center is almost linear with a Ccarbene–Au–Cl angle of approximately 175.88(7)°. The Ccarbene–Au and Au–Cl distances are 1.985(5) Å and 2.287(0) Å, respectively, typical to those reported for previous complexes containing a simple carbene ligand [15,23,24]. In addition, the planes of the imidazole-2-ylidene moiety and the NI moiety show an angle of approximately of 65.81(8)°. To our knowledge, this is the first molecular structure of a gold carbene complex tethered to a naphthalimide chromophore.
Figure 2.
View of the molecular structure of the gold carbene complex [(L1)–Au–Cl] (1c). Selected bond distances (Å) and angle (°). Au(1)–C(1) = 1.986(2), Au(1)–Cl(1) = 2.287(1), N(1)– C(1) = 1.353(3), N(1)–C(3) = 1.388(3), N(1)–C(5) = 1.427(3), N(2)–C(1) = 1.338(3), N(2)–C(2) = 1.381(3), N(2)–C(4) = 1.457(3), C(1)–Au(1)–Cl(1) = 175.88(7), N(1)–C(1)–N(2) = 105.4(2).
An examination of the crystal packing reveals that the individual molecules display Au–Au and π–π interactions (Figure 3). Indeed, molecules interact pairwise in head-to-tail fashion through aurophilic interactions with Au···Au distance of 3.407(1) Å. Furthermore, the molecules demonstrate additional π–π interactions around 3.40 Å to form a 2D supramolecular structure. We then examined their photophysical properties.
Figure 3.
Crystal packing of 1c showing aurophilic Au···Au contact at 3.407(1) Å between two individual molecules in head-to-tail fashion and π–π interactions at 3.40 Å between two naphthalimide units to generate a 2D supramolecular structure.
2.4. Photophysical Properties
All compounds have been studied in diluted air equilibrated CH2Cl2 solution, except for silver carbene complex [(L1)–Ag–I] (1b), which was not stable in CH2Cl2 solution and hence could not be investigated. The imidazolium salts L1–H+I− and L2–H+I− display different absorption spectra. For instance, the L2 series are bathochromically shifted relative to L1 series due to π-conjugation (Figure 4). Moreover, they show additional absorption peaks at 280–320 nm, which are not present in the L1-type ligand and related complexes. These bands are assigned to π→π* involving the acetylide unit (Figure 4). Furthermore the L1–H+I and the related carbene complexes− [(L1)–Cu–Cl] (1a) and [(L1)–Au–Cl] (1c), show a broad absorption band between 300 nm and 400 nm with ε values in the range of 12.9 × 103 L·mol−1·cm−1 to 14.2 × 103 L·mol−1·cm−1, which might be a superposition of at least two bands, (Figure 4 and Table 1). These bands might be attributed to 1n→π* or π→π* transitions which are in agreement to those reported for the functionalized naphthalimide chromphore [25]. Remarkably, the azolium salt L1–H+I displayed a long tail up to 450 nm, reminiscent of an aggregation phenomenon that is occurring in CH2Cl2. Indeed, we then recorded the UV visible spectrum of L1–H+I at the same concentration but in CH3CN instead (Figure S1) which showed the disappearance of this low energy band. Such aggregation phenomena have been reported previously to other functionalized naphthalimide systems [26].
Figure 4.
Absorption spectra for the azolium salts of L1–H+I−, L2–H+I− and the carbene metal complexes 1a–2a and 1c–2c in CH2Cl2 solution at room temperature.
Table 1.
Absorption and emission data for the azolium salts of L1 and L2, and the carbene metal complexes 1a–2a and 1c–2c from CH2Cl2 solutions at room temperature.
As for the azolium salt L2–H+I (3) and the related carbene complexes [(L2)–Cu–Cl] (2a) and [(L2)–Au–Cl] (2c), this broad absorption band appears between 320 nm and 430 nm and is red shifted compared to the previous compounds. We also note that the molar absorptivity is higher.
Both features can be explained by the extended π-conjugation as a result of the presence of the phenyl-ethynyl bridge between the carbene unit and the naphthalimide (NI) chromophore.
Preliminary results showed that the metal complexes 1a–2a and 1c–2c are luminescent at room temperature in CH2Cl2 solution and displayed blue emissions (Figure 5) in the range of 420 to 451 nm (Table 1). For instance, the metal complexes containing L1-type ligand showed a slight red shift emission relative to free to the azolium salt L1–H+I− (Figure 4). Similarly, the carbene metal complexes with L2-type ligand also showed a slight red shift relative to the free ligand L2–H+I (Figure 5). These emissions are clearly intraligand interactions centered at the naphthalimide moiety. Similar results were reported for coinage carbene complexes displaying organic chromophores [12,15,23].
Figure 5.
Normalized emission for the azolium salts of L1–H+I−, L2–H+I− and the carbene metal complexes 1a–2a and 1c–2c in CH2Cl2 solution at room temperature.
On the other hand, we found that the complexes with L2-type ligand displayed higher quantum yields (Table 1). Further studies at low temperature and in solid state will be conducted on these compounds in order to better understand their optical behavior.
2.5. Concluding Remarks
In this work, we reported the synthesis of the first family of coinage metal complexes containing a choromophoric N-heterocyclic carbene ligands. For comparison purposes, two types of compounds were prepared: those where the carbene unit is directly linked to the naphthalimide chromophore [(L1)–M–Cl], M = Cu (1a), M = Ag, (1b) and M = Au (1c); while in the second series, the chromophore is moved away via an alkyne-arene linkage [(L2)–M–Cl], M = Cu (2a), M = Au, (2c). The X-ray molecular structure of the gold carbene complex 1c was determined and showed the presence of aurophilic interaction. Preliminary results suggest that these compounds are luminescent at room temperature and act as blue emitters. Moreover, the complexes with extended π-skeleton were found to be more luminescent. Our efforts are currently devoted to extend this methodology to related coinage complexes containing carbon-donor ligands instead of halogen groups to improve their quantum yields and seek applications as organic light emitting diodes.
3. Experimental Section
3.1. General Experimental Methods
Commercially available reagents were purchased from commercial suppliers and used as received unless otherwise specified. Solvents were obtained from same commercial sources and used without further purification unless otherwise specified. Et3N, CH2Cl2, and Et2O were distilled respectively on sodium, CaH2, and sodium/benzophenon. Toluene was stored over 4 Å molecular sieve under Ar. Copper(I) chloride has been prepared according to a reported procedure [28] and stored in a Schlenk tube under Ar. Glassware was oven-dried prior to use. 1H NMR spectra (were recorded on a Bruker (Karlsruhe, Germany) 300 MHz and on a 400 MHz spectrometer in CDCl3, CD2Cl2 or (CD3)2SO and data are reported as follows: chemical shift in ppm from tetramethylsilane with the solvent as an internal indicator (CDCl3 7.26 ppm, CD2Cl2 5.32 ppm, and (CD3)2SO 2.50 ppm), multiplicity (s = singlet, d = doublet, t = triplet, q = quartet, quint = quintet, m = multiplet, or overlap of non-equivalent resonances), integration. 13C NMR spectra were recorded either on a 75.4 MHz or on a 101 MHz in CDCl3, CD2Cl2, or (CD3)2SO and data are reported as follows: chemical shift in ppm from tetramethylsilane with the solvent as an internal indicator (CDCl3 77.16 ppm, CD2Cl2 53.84 ppm, and (CD3)2SO 39.52 ppm). Absorption measurement has been performed on a Jasco V-670 (JASCO International Co. Ltd., Tokyo, Japan) and luminescence measurement on a Jasco FP-8300 Fluorometer (JASCO International Co. Ltd., Tokyo, Japan).
3.2. Synthesis of Compound 5
In an oven-dried Schlenk tube under Ar atmosphere, 1-(4-Bromophenyl)-imidazole 6 (2 g, 8.97 mmol), CuI (51 mg, 0.27 mmol), and Pd(PPh3)2Cl2 (189 mg, 0.27 mmol) were introduced in a mixture of toluene (15 mL) and Et3N (2 mL). The solution was degassed three times using freeze-pump-thaw technique. (TMSA = Timethylsilylacetylene) (1 mL, 6.72 mmol) was added to the solution and heated at 80 °C overnight (16 h). The mixture was then heated at 50 °C and solvents were evaporated to dryness. At r.t., the dark crude material was treated with Et2O and the suspension was filtrated on Dicalite®. The solvent was evaporated and a column chromatography (SiO2, ethylacetate/cyclohexane from 7/3 to 1/0) to give a greyish compound 5 (1.953 g, 90%). 1H NMR (300 MHz, CDCl3) δ 7.86 (s, 1H), 7.56 (d, J = 8.6 Hz, 2H), 7.33 (d, J = 8.6 Hz, 2H), 7.28 (s, 1H), 7.21 (s, 1H), 0.26 (s, 9H). 13C{1H} NMR (75 MHz, CDCl3) δ 137.1, 135.6, 133.7, 130.9, 122.6, 121.1, 118.0, 103.8, 96.0, 0.1. Analysis Calcd. for C14H16N2Si.1/10CH2Cl2: C, 68.05; H, 6.56; N, 11.26; found C,68.48; H, 6.92; N, 11.09.
3.3. Synthesis of Compound 4
Tetrabutylamonium fluoride monohydrate (1.153 g, 4.41 mmol) was added to a solution of compound 5 (1 g, 4.16 mmol) in tetrahydrofuran (THF) (25 mL). The reaction was monitored by thin-layer chromatography (TLC) (SiO2, ethylacetate) and after full conversion, deionized water (20 mL) was added and the aqueous phase was extracted three times with Et2O. The combined organic layers were washed two times with brine, dried over MgSO4, and solvents were removed under reduce pressure. The crude product was engaged in the next step without further purification. In a dry Schlenk tube under Ar, the crude alkyne (603 mg, 3.59 mmol), 4-bromonaphtalimide (1.312 g, 3.95 mmol), Pd(PPh3)2Cl2 (126 mg, 0.18 mmol), and CuI (34 mg, 0.18 mmol) were dissolved/suspended in a mixture of toluene (20 mL) and Et3N (2 mL). The solution was degassed three times. The mixture was then heated at 80 °C and the reaction was monitored by TLC (SiO2, ethylacetate/C6H12). After full conversion (roughly 2 h), the solvents were removed and the dark material was treated with CH2Cl2. The dark solution was filtrated on Dicalite® and the solvents were removed under reduced pressure. A chromatography column was performed (SiO2, from pure CH2Cl2 to CH2Cl2/MeOH 7/3). The fractions containing the compound were combined and the solvent was removed under vacuum. The yellow solid was dissolved in CH2Cl2, washed three times with a solution of K2CO3 (1 N) and dried over MgSO4. After evaporation of the solvent, the compound was obtained as yellow solid (1,175 g, 78%). 1H NMR (300 MHz, CDCl3) δ 8.70 (dd, J = 8.4 Hz, J = 1.1 Hz, 1H), 8.64 (dd, J = 7.3 Hz, J = 1.2 Hz, 1H), 8.56 (d, J = 7.6 Hz, 1H), 7.96 (d, J = 7.6 Hz, 1H), 7.94 (s, 1H), 7.84 (dd, J = 8.4 Hz, J = 7.3 Hz, 1H), 7.78 (d, J = 8.5 Hz, 2H), 7.48 (d, J = 8.6 Hz, 2H), 7.35 (d, J = 1.4 Hz, 1H), 4.35–4.03 (m, 2H), 1.86–1.64 (m, 2H), 1.45 (h, J = 7.3 Hz, 2H), 0.99 (d, J = 7.3 Hz, 3H). 13C{1H} NMR (75 MHz, CDCl3) δ 164.0, 163.8, 137.9, 135.5, 133.7, 132.2, 131.8, 131.7, 131.2, 131.1, 130.4, 128.2, 127.7, 127.1, 123.3, 122.6, 121.6, 121.4, 118.0, 97.6, 87.6, 40.5, 30.4, 20.5, 14.0. Analysis calcd. for C27H21N3O2.1/4H2O: C, 76.49; H, 5.11; N, 9.91; found C, 76.45; H, 5.04; N, 9.95.
3.4. Synthesis of L2–H+I− (3)
To a hot solution of 4 (156 mg, 0.37 mmol) in distilled CH3CN (20 mL) was added MeI (170 µL, 2.6 mmol) and the solution was refluxed overnight. The solvent was evaporated to dryness and the crude material was stirred 30 min with Et2O (40 mL). The solution was then filtered on a frit and the brown solid was wash three times with a small amount of Et2O to give a brown solid (133 mg, 63%). 1H NMR (300 MHz, DMSO) δ 9.90 (s, 1H), 8.86 (d, J = 8.3 Hz, 1H), 8.61 (d, J = 7.2 Hz, 1H), 8.53 (d, J = 7.6 Hz, 1H), 8.42 (s, 1H), 8.21–8.09 (m, 3H), 8.09–7.89 (m, 4H), 4.08 (t, J = 7.4 Hz, 2H), 4.00 (s, 3H), 1.66 (p, J = 15.3 Hz, J = 7.7 Hz, 2H), 1.39 (h, J = 7.5 Hz, 2H), 0.96 (t, J = 7.3 Hz, 3H). 13C{1H} NMR (75 MHz, DMSO) δ 163.1, 162.8, 136.2, 135.1, 133.7, 131.9, 131.3, 130.8, 129.9, 128.4, 127.3, 125.5, 124.6, 122.7, 122.4, 122.0, 120.7, 96.9, 87.8, 36.2, 29.6, 19.8, 13.7. Analysis Calcd. for C28H24IN3O2.1/10Et2O, C, 59.97; H, 4.43; N, 7.39; found C, 59.85; H, 4.18; N, 7.34.
3.5. Synthesis of Complex 1b
An oven-dried Schlenk under Ar was loaded with L1–H+I− (143 mg, 0.3 mmol) and Ag2O (38 mg, 0.17 mmol) and the solids were suspended in a mixture of distilled CH2Cl2 and CH3CN (1/1, 20 mL). The solution was stirred for 4–5 h and protected from light using aluminum foil. Then a pinch of active carbon was added and the solution was filtered on Dicalite® and washed with a small amount of CH2Cl2. The solution was reduced under vacuum, subsequent addition of Et2O provided a precipitate. The supernatant was filtered off with a cannula and the solid was dried under vacuum. 1b was obtained as a green solid (96 mg, 94%). 1H NMR (400 MHz, DMSO) δ 8.48 (d, J = 7.2 Hz, 1H), 8.34 (dd, J = 7.7, 2.1 Hz, 1H), 7.93–7.75 (m, 5H), 4.12–4.05 (m, 3H), 3.88 (s, 2H), 1.65 (p, J = 7.5 Hz, 2H), 1.38 (h, J = 7.3 Hz, 2H), 0.96 (t, J = 7.3 Hz, 3H). 13C{1H} NMR (101 MHz, DMSO) δ 182.8, 162.9, 162.4, 140.7, 131.3, 130.1, 128.7, 128.5, 127.8, 126.9, 125.6, 124.3, 123.9, 122.5, 122.2, 29.5, 19.8, 13.7. Analysis Calcd. for C20H19AgIN3O2. CH2Cl2: C, 38.62; H, 3.24; N, 6.43; found C, 38.64; H, 2.98; N, 6.63.
3.6. General Procedure for the Synthesis of 1a and 1c
An oven-dried Schlenk under Ar was loaded with the imidazolium salt (1 eq.) and Ag2O (from 0.5 eq. to 0.56 eq.) and the solids were suspended in a mixture of CH2Cl2 and CH3CN (1/1). The solution was stirred for 4–5 h under light protection using aluminum foil. Then a pinch of active carbon was added and the solution was filtered with a cannula fitted with a filter paper and the black solid was washed with a small amount of CH2Cl2. The solution was reduced under vacuum subsequent addition of Et2O provided a precipitate. The supernatant was filtrate off with a cannula fitted with a filter paper and the solid was dried under vacuum. The desired metal salt was then added to the crude Ag(I) complex in CH2Cl2. The solution was stirred overnight at r.t. The yellowish precipitate was filtered off with a cannula fitted with a filter paper. The solid was washed two times with CH2Cl2 and the solution was concentrated under vacuum, subsequent addition of Et2O provided the desired complex which was separated and dried.
3.7. For Complex 1a
L1–H+I− (95 mg, 0.2 mmol), Ag2O (26 mg, 0.11 mmol) and CH2Cl2/CH3CN (14 mL). CuCl (20 mg, 0.2 mmol) and CH2Cl2 (10 mL). The complex was obtained as an yellow solid (22 mg, 30%). Analysis calcd. for C20H19CuClN3O2.1/4CH2Cl2: C, 53.62; H, 4.33; N, 9.26; found, C, 53.70; H, 4.57; N, 8.99. 1H NMR (400 MHz, CD2Cl2) δ 8.77–8.64 (m, 2H), 8.00 (dd, J = 8.5 Hz, J = 1.2 Hz, 1H), 7.92–7.80 (m, 2H), 7.33 (s, 1H), 7.27 (s, 1H), 4.22–4.12 (m, 2H), 4.03 (s, 3H), 1.81–1.61 (m, 2H), 1.45 (h, J = 7.4 Hz, J = 7.3 Hz, 2H), 0.99 (t, J = 7.4 Hz, 3H). 13C{1H} NMR (101 MHz, CD2Cl2) δ 164.0, 163.4, 132.3, 131.0, 129.5, 128.8, 128.7, 128.1, 126.1, 124.5, 123.9, 40.7, 30.5, 20.8, 14.0.
3.8. For Complex 1c
L1–H+I− (95 mg, 0.2 mmol), Ag2O (23 mg, 0.1 mmol) and CH2Cl2/CH3CN (14 mL). (tht)AuCl (64 mg, 0.2 mmol) and CH2Cl2 (10 mL). The complex was obtained as an off white solid (73 mg, 72%). 1H NMR (400 MHz, CD2Cl2) δ 8.68 (d, J = 7.7 Hz, 1H), 8.67 (dd, J = 7.0 Hz, J = 1.4 Hz, 1H), 7.94–7.79 (m, 3H), 7.31 (s, 2H), 4.18 (t, J = 7.6 Hz, 2H), 4.02 (s, 3H), 1.79–1.67 (m, 2H), 1.45 (h, J = 7.5 Hz, 2H), 0.98 (t, J = 7.4 Hz, 3H). 13C{1H} NMR (101 MHz, CD2Cl2) δ 173.9, 163.9, 163.4, 140.4, 132.3, 130.8, 129.3, 128.8, 128.6, 128.4, 126.8, 124.8, 123.8, 123.7, 123.0, 40.7, 39.0, 30.5, 20.7, 14.0. Analysis calcd. for C20H19AuClN3O2.1/4CH2Cl2: C, 41.43; H, 3.35; N, 7.43; found, C, 41.00; H, 3.17; N, 7.19.
3.9. General Procedure for the Synthesis of 2a and 2c
In an oven-dried Schlenk tube protected from light with aluminum foil, iodide salt, and Ag2O were suspended in CH2Cl2/CH3NO2 mixture (4/1, v/v). After 5–6 h, a yellow suspension was formed and the desired metal precursor (whether (tht)AuCl or CuCl) was added to the suspension. After 12–16 h of stirring, the solution was filtered off with a cannula and the filtrate was separated into a Schlenk tube as translucent yellow solution. The remaining solid was washed three times with CH2Cl2 and the filtrate was concentrated under vacuum subsequent Et2O addition provided a precipitate, the mixture was then allowed to stand in a freezer for several hours. The supernatant was filtered off with a cannula fitted with a filter paper and the yellow solid was dried under vacuum.
3.10. For Complex 2a
L2–H+I− (84 mg, 0.15 mmol), Ag2O (19 mg, 0.08 mmol), CuCl (15 mg, 0.15 mmol), CH2Cl2 (25 mL) and MeNO2 (5 mL). The complex was obtained as a yellow solid (53 mg, 63%). 1H NMR (400 MHz, CD2Cl2) δ 8.77 (dd, J = 8.4 Hz, J = 1.2 Hz, 1H), 8.63 (dd, J = 7.3 Hz, J = 1.2 Hz, 1H), 8.55 (d, J = 7.6 Hz, 1H), 8.01 (d, J = 7.6 Hz, 1H), 7.94–7.83 (m, 3H), 7.77 (d, J = 8.4 Hz, 2H), 7.33 (d, J = 1.6 Hz, 1H), 7.20–7.06 (m, 1H), 4.22–4.12 (m, 2H), 3.98 (s, 3H), 1.71 (p, J = 7.5 Hz, 2H), 1.45 (q, J = 7.5 Hz, 2H), 0.99 (t, J = 7.4 Hz, 3H). 13C{1H} NMR (101 MHz, CD2Cl2) δ 164.2, 164.0, 140.5, 133.7, 132.5, 132.1, 131.8, 131.4, 130.5, 128.5, 128.1, 127.2, 124.4, 123.7, 123.3, 123.2, 121.2, 97.6, 88.2, 40.6, 39.2, 30.6, 20.8, 14.1. Analysis calcd. for C28H23ClCuN3O2.4/10CH2Cl2: C, 60.22; H, 4.23; N, 11.22, found C, 60.13; H, 4.11; N, 7.81.
3.11. For Complex 2c
L2–H+I− (102 mg, 0.18 mmol), Ag2O (23 mg, 0.10 mmol), (tht)AuCl (58 mg, 0,18 mmol), CH2Cl2 (25 mL) and MeNO2 (5 mL). The complex was obtained as a yellow solid (38 mg, 33%). 1H NMR (400 MHz, CD2Cl2) δ 8.77 (dd, J = 8.4 Hz, J = 1.2 Hz, 1H), 8.63 (dd, J = 7.3 Hz, J = 1.2 Hz, 1H), 8.55 (d, J = 7.6 Hz, 1H), 8.01 (d, J = 7.6 Hz, 1H), 7.94–7.83 (m, 3H), 7.77 (d, J = 8.4 Hz, 2H), 7.33 (d, J = 1.6 Hz, 1H), 7.20–7.06 (m, 1H), 4.22–4.12 (m, 2H), 3.98 (s, 3H), 1.71 (p, J = 7.5 Hz, 2H), 1.45 (q, J = 7.5 Hz, 2H), 0.99 (t, J = 7.4 Hz, 3H). 13C{1H} NMR (101 MHz, CD2Cl2) δ 171.6, 164.2, 163.9, 139.9, 133.6, 133.4, 132.5, 132.0, 131.8, 131.4, 130.4, 128.4, 128.0, 127.1, 125.5, 125.4, 123.7, 123.6, 123.1, 121.8, 115.4, 97.4, 88.2, 40.5, 39.2, 30.5, 20.8, 14.0. Analysis calcd. for C28H23ClAuN3O2: C, 50.50; H, 3.48; N, 6.31, found C, 50.09; H, 3.39; N, 6.35.
3.12. X-ray Crystal Structure Determination
A single crystal of [(L1)–Au–Cl] (1c) was selected, mounted, and transferred into a cold nitrogen gas stream. Intensity data was collected with a Bruker Kappa-APEX2 system (Bruker AXS, Karlsruhe, Germany) using fine-focus sealed-tube radiation. Unit-cell parameters determination, data collection strategy, integration, and absorption correction were carried out with the Bruker APEX2 suite of programs (v2014.11-0, Bruker AXS, Karlsruhe, Germany). The structure was solved with SHELXT-2014 [29] and refined anisotropically by full-matrix least-squares methods with SHELXL-2014 [29] using the WinGX suite [30]. Relevant data was deposited at the Cambridge Crystallographic Data Center with number CCDC 1558193 and can be obtained free of charge via www.ccdc.cam.ac.uk.
3.13. Crystal Data for (1c)
Yellow prism, C20H19N3O2ClAu, triclinic P-1, a = 9.3874(1) Å, b = 9.8339(2) Å, c = 12.0913(2) Å, α = 69.669(1)°, β = 70.888(1)°, γ = 76.465(1)°, V = 979.82(3) Å3, Z = 2, T = 200(1) K, λ = 0.71073 Å, μ = 7.663 mm−1, min/max transmission = 0.36/0.84, θ range = 2.23° to 30.58°, 29802 reflections measured, 5978 independent (Rint = 0.0187), 5540 observed [I > 2σ(I)], completeness = 0.996, 246 parameters, 0 restraints, final R indices R1 [I > 2σ(I)] = 0.0209 and wR2 (all data) = 0.0520, GOF on F2 = 1.089, largest difference peak/hole = 2.07/−0.59 e.Å−3.
Supplementary Materials
The following are available online at www.mdpi.com/2304-6740/5/3/58/s1, Cif and cif-checked files. Table S1: crystallographic data for complex [(L1)–Au–Cl] (1c), Figure S1: Absorption spectrum of the azolium salt L1–H+I− in CH3CN versus CH2Cl2 solution at the same concentration and at room temperature.
Acknowledgments
We thank CNRS, Centre National de la Recherche Scientifique and Sorbonne Universités, UPMC, Univ. Paris 06 for supporting this work.
Author Contributions
The synthesis and spectroscopic characterization of the new complexes were performed by Pierre-Henri Lanoë, Btissam Najjari and Florine Hallez. Pierre-Henri Lanoë did the photophysical measurements. The X-ray structural determination was carried out by Geoffrey Gontard. Preparation and writing of the manuscript were made by Hani Amouri who also directed the project.
Conflicts of Interest
The authors declare no conflict of interest.
References
- Arduengo, A.J.; Harlow, R.L.; Kline, M. A Stable Crystalline Carbene. J. Am. Chem. Soc. 1991, 113, 361–363. [Google Scholar] [CrossRef]
- Ofele, K. A New Transition-Metal Carbon Complexe 1,3-Dimethyl-4-Imidazolinylid-2-Ene Pentacarbonylchromium. J. Organomet. Chem. 1968, 12, 42–43. [Google Scholar] [CrossRef]
- Wanzlick, H.W.; Schonher, H.J. Direct Synthesis of a Mercury Salt-Carbene Complex. Angew. Chem. Inter. Ed. 1968, 7, 141–142. [Google Scholar] [CrossRef]
- Huynh, H.V. The Organometallic Chemistry of N-Heterocyclic Carbenes; Wiley: Chichester, UK, 2017. [Google Scholar]
- Mercs, L.; Albrecht, M. Beyond catalysis: N-heterocyclic carbene complexes as components for medicinal, luminescent, and functional materials applications. Chem. Soc. Rev. 2010, 39, 1903–1912. [Google Scholar] [CrossRef] [PubMed]
- De Fremont, P.; Marion, N.; Nolan, S.P. Carbenes: Synthesis, properties, and organometallic chemistry. Coord. Chem. Rev. 2009, 253, 862–892. [Google Scholar] [CrossRef]
- Herrmann, W.A. N-heterocyclic carbenes: A new concept in organometallic catalysis. Angew. Chem. Inter. Ed. 2002, 41, 1290–1309. [Google Scholar] [CrossRef]
- Hindi, K.M.; Panzner, M.J.; Tessier, C.A.; Cannon, C.L.; Youngs, W.J. The Medicinal Applications of Imidazolium Carbene–Metal Complexes. Chem. Rev. 2009, 109, 3859–3884. [Google Scholar] [CrossRef] [PubMed]
- Visbal, R.; Gimeno, M.C. N-Heterocyclic carbene metal complexes: Photoluminescence and applications. Chem. Soc. Rev. 2014, 43, 3551–3574. [Google Scholar] [CrossRef] [PubMed]
- Moussa, J.; Freeman, G.R.; Williams, J.A.G.; Chamoreau, L.M.; Herson, P.; Amouri, H. Synthesis and Luminescence Properties of Cycloplatinated Complexes with a Chelating N^C Pyridine-Derived N-Heterocyclic Carbene—Influence of 2,4,6-Triphenylphosphinine versus Triphenylphosphine. Eur. J. Inorg. Chem. 2016, 2016, 761–767. [Google Scholar] [CrossRef]
- Moussa, J.; Haddouche, K.; Chamoreau, L.M.; Amouri, H.; Williams, J.A.G. New N^C^ N-coordinated Pd(II) and Pt(II) complexes of a tridentate N-heterocyclic carbene ligand featuring a 6-membered central ring: synthesis, structures and luminescence. Dalton Trans. 2016, 45, 12644–12648. [Google Scholar] [CrossRef] [PubMed]
- Chow, A.L.F.; So, M.H.; Lu, W.; Zhu, N.Y.; Che, C.M. Synthesis, Photophysical Properties, and Molecular Aggregation of Gold(I) Complexes Containing Carbon-Donor Ligands. Chem. Asian J. 2011, 6, 544–553. [Google Scholar] [CrossRef] [PubMed]
- Lin, J.C.Y.; Huang, R.T.W.; Lee, C.S.; Bhattacharyya, A.; Hwang, W.S.; Lin, I.J.B. Coinage Metal–N-Heterocyclic Carbene Complexes. Chem. Rev. 2009, 109, 3561–3598. [Google Scholar] [CrossRef] [PubMed]
- Lin, I.J.B.; Vasam, C.S. Review of gold(I) N-heterocyclic carbenes. Can. J. Chem. Rev. Can. 2005, 83, 812–825. [Google Scholar] [CrossRef]
- Kriechbaum, M.; Winterleitner, G.; Gerisch, A.; List, M.; Monkowius, U. Synthesis, Characterization and Luminescence of Gold Complexes Bearing an NHC Ligand Based on the Imidazo[1,5-a]quinolinol Scaffold. Eur. J. Inorg. Chem. 2013, 2013, 5567–5575. [Google Scholar] [CrossRef]
- Hong, E.Y.-H.; Wong, H.-L.; Yam, V.W.-W. From Spherical to Leaf-Like Morphologies: Tunable Supramolecular Assembly of Alkynylgold(I) Complexes through Variations of the Alkyl Chain Length. Chem. Eur. J. 2015, 21, 5732–5735. [Google Scholar] [CrossRef] [PubMed]
- Lanoe, P.H.; Chan, J.; Gontard, G.; Monti, F.; Armaroli, N.; Barbieri, A.; Amouri, H. Deep-Red Phosphorescent Iridium(III) Complexes with Chromophoric N-Heterocyclic Carbene Ligands: Design, Photophysical Properties, and DFT Calculations. Eur. J. Inorg. Chem. 2016, 1631–1634. [Google Scholar] [CrossRef]
- Nitsch, J.; Lacemon, F.; Lorbach, A.; Eichhorn, A.; Cisnetti, F.; Steffen, A. Cuprophilic interactions in highly luminescent dicopper(I)–NHC–picolyl complexes—Fast phosphorescence or TADF? Chem. Commun. 2016, 52, 2932–2935. [Google Scholar] [CrossRef] [PubMed]
- Penney, A.A.; Sizov, V.V.; Grachova, E.V.; Krupenya, D.V.; Gurzhiy, V.V.; Starova, G.L.; Tunik, S.P. Aurophilicity in Action: Fine-Tuning the Gold(I)–Gold(I) Distance in the Excited State to Modulate the Emission in a Series of Dinuclear Homoleptic Gold(I)–NHC Complexes. Inorg. Chem. 2016, 55, 4720–4732. [Google Scholar] [CrossRef] [PubMed]
- Diness, F.; Fairlie, D.P. Catalyst-Free N-Arylation Using Unactivated Fluorobenzenes. Angew. Chem. Inter. Ed. 2012, 51, 8012–8016. [Google Scholar] [CrossRef] [PubMed]
- Wang, H.M.J.; Lin, I.J.B. Facile synthesis of silver(I)–carbene complexes. Useful carbene transfer agents. Organometallics 1998, 17, 972–975. [Google Scholar] [CrossRef]
- Visbal, R.; Laguna, A.; Gimeno, M.C. Simple and efficient synthesis of [MCI(NHC)] (M = Au, Ag) complexes. Chem. Commun. 2013, 49, 5642–5644. [Google Scholar] [CrossRef] [PubMed]
- Gimeno, M.C.; Laguna, A.; Visbal, R. N-Heterocyclic Carbene Coinage Metal Complexes as Intense Blue-Green Emitters. Organometallics 2012, 31, 7146–7157. [Google Scholar] [CrossRef]
- Wang, H.A.J.; Vasam, C.S.; Tsai, T.Y.R.; Chen, S.H.; Chang, A.H.H.; Lin, I.J.B. Gold(I) N-heterocyclic carbene and carbazolate complexes. Organometallics 2005, 24, 486–493. [Google Scholar] [CrossRef]
- Alexiou, M.S.; Tychopoulos, V.; Ghorbanian, S.; Tyman, J.H.P.; Brown, R.G.; Brittain, P.I. The UV-Visible Absorption and Fluorescence of Some Substituted 1,8-Naphthalimides and Naphthalic Anhydrides. J. Chem. Soc. Perkin Trans. 1990, 837–842. [Google Scholar] [CrossRef]
- Srivastava, A.K.; Singh, A.; Mishra, L. Tuning of Aggregation Enhanced Emission and Solid State Emission from 1,8-Naphthalimide Derivatives: Nanoaggregates, Spectra, and DFT Calculations. J. Phys. Chem. A 2016, 120, 4490–4504. [Google Scholar] [CrossRef] [PubMed]
- Brouwer, A.M. Standards for photoluminescence quantum yield measurements in solution (IUPAC Technical Report). Pure Appl. Chem. 2011, 83, 2213–2228. [Google Scholar] [CrossRef]
- Armarego, W.L.F.; Chai, C.L.L. Purification of Laboratory Chemicals, 5th ed.; Elsevier Science: Amsterdam, The Netherlands, 2003. [Google Scholar]
- Sheldrick, G.M. A short history of SHELX. Acta Crystallogr. Sect. A 2008, 64, 112–122. [Google Scholar] [CrossRef] [PubMed]
- Farrugia, L. WinGX suite for small-molecule single-crystal crystallography. J. Appl. Crystallogr. 1999, 32, 837–838. [Google Scholar] [CrossRef]
© 2017 by the authors. Licensee MDPI, Basel, Switzerland. This article is an open access article distributed under the terms and conditions of the Creative Commons Attribution (CC BY) license (http://creativecommons.org/licenses/by/4.0/).






