Next Article in Journal / Special Issue
Backbone-Substituted β-Ketoimines and Ketoiminate Clusters: Transoid Li2O2 Squares and D2-Symmetric Li4O4 Cubanes. Synthesis, Crystallography and DFT Calculations
Previous Article in Journal / Special Issue
Alkali and Alkaline Earth Metal Complexes Ligated by an Ethynyl Substituted Cyclopentadienyl Ligand
 
 
Font Type:
Arial Georgia Verdana
Font Size:
Aa Aa Aa
Line Spacing:
Column Width:
Background:
Article

Methanediide Formation via Hydrogen Elimination in Magnesium versus Aluminium Hydride Complexes of a Sterically Demanding Bis(iminophosphoranyl)methanediide

by
Christian P. Sindlinger
1,2,
Samuel R. Lawrence
3,
David B. Cordes
3,
Alexandra M. Z. Slawin
3 and
Andreas Stasch
1,3,*
1
School of Chemistry, Monash University, P.O. Box 23, Melbourne VIC 3800, Australia
2
Institut für Anorganische Chemie, Auf der Morgenstelle 18, 72076 Tübingen, Germany
3
EaStCHEM School of Chemistry, University of St. Andrews, North Haugh, St. Andrews KY16 9ST, UK
*
Author to whom correspondence should be addressed.
Inorganics 2017, 5(2), 29; https://doi.org/10.3390/inorganics5020029
Submission received: 31 March 2017 / Revised: 19 April 2017 / Accepted: 20 April 2017 / Published: 22 April 2017
(This article belongs to the Special Issue s-Block Metal Complexes)

Abstract

:
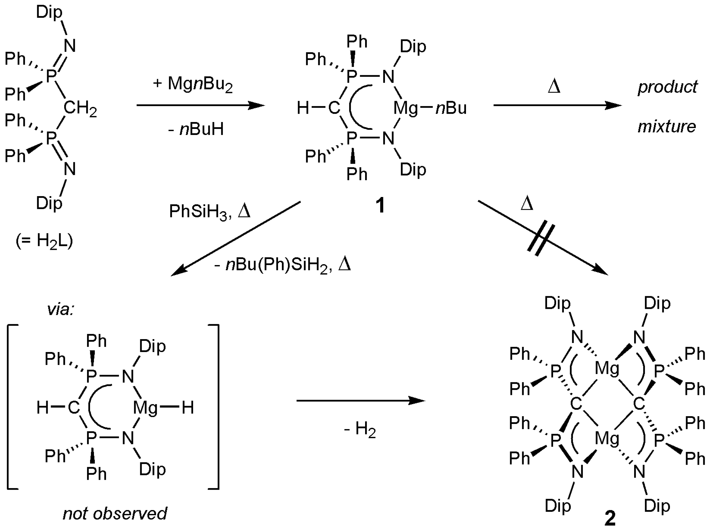
Substituted bis(iminophosphoranyl)methanes are CH acidic compounds that can form complexes with formally dianionic central carbon centres. The reaction of H2C(Ph2P=NDip)2 (≡ H2L), Dip = 2,6-diisopropylphenyl, with one equivalent of di-n-butylmagnesium afforded the methanide complex [HLMgnBu] 1. Treatment of Complex 1 with phenylsilane in aromatic solvents at elevated temperatures afforded the methanediide complex [(LMg)2] 2 presumably via the MgH intermediate [(HLMgH)n] (n = 1 or 2). The reaction of 1 with LiAlH4 in diethyl ether yielded the AlH complex [HLAlH2] 3. Alternatively, this complex was also obtained from the reaction of H2L with AlH3∙NMe3. The molecular structures of [HLMgnBu] 1, [(LMg)2] 2, and [HLAlH2] 3 are reported. Complex 3 shows no sign of H2 elimination to a methanediide species at elevated temperatures in contrast to the facile elimination of the putative reaction intermediate [(HLMgH)n] (n = 1 or 2) to form [(LMg)2] 2. The chemical properties of Complex 2 were investigated, and this complex appears to be stable against coordination with strong donor molecules.

Graphical Abstract

1. Introduction

The chemistry of geminal diorganometallics is significantly underdeveloped compared with common monofunctional organometallics, despite unusual structural features, chemical bonding and reactivity of these former compound classes [1]. Complexes of methanediides (methandiides) that derive from P-oxidized bis(diphenylphosphino)methane species with electropositive metals have especially attracted widespread interest in recent years [2,3,4,5,6,7,8]. In these complexes, the dianionic bis(diphenylphosphoranyl)methanediide fragment A shows overall delocalization of the charge across the EPCPE fragment with a simplified charge distribution as shown in Figure 1. This delocalization allows the deprotonation of both hydrogen atoms of the central CH2 unit of the substituted “methane” pro-ligand with suitable strong bases. Methanediides show several bonding modes containing typically one or two coordinated metal centres [2,3,4,5,6,7,8]. Over the past years, several examples of alkaline earth metal complexes of substituted bis(phosphoranyl)methanides and -methanediides have been forthcoming [9,10,11,12,13,14,15,16,17,18,19,20,21,22,23] that show several coordination types BE, see Figure 1. Most common is a dimeric structure (B) with central M2C2 four-membered ring and additional M–E coordination, and monomeric complexes (C) with an N,C,N′-chelating methanide ligand and additional donors coordinating to the metal centre. Complex D shows a similar monomeric structure with S,C-chelation of the Mg centre with one P-atom both protected and activated by a coordinating borane group [12]. Complex E is a dimeric methanediide species where the Mg centres are S,S’-chelated by one methanediide ligand and coordinate to the methanediide carbon atom of a second ligand [13]. The metal coordination in the monomeric complexes C and D and the dimeric species E allow for the possibility of a formal C=M double bond, though the interaction has to be considered as predominantly ionic [4] with the majority of electron density residing in carbon-based orbitals.

2. Results and Discussion

We targeted the synthesis of a homoleptic Mg complex with the sterically demanding methanediide ligand L2− (H2L = H2C(Ph2P=NDip)2, Dip = 2,6-iPr2C6H3) [24], for a number of reasons. Possible outcomes could be both monomeric or dimeric methanediide complexes when the bulk of the ligand and the relative small size of the Mg2+ cation are considered. In these compounds, the Mg centre(s) could show an environment with a relatively low coordination number and the close proximity of the formally dianionic carbon centre of the methanediide and the dicationic Mg2+ centre could allow for some interesting activation chemistry of small molecules. Secondly, the Mg∙∙∙Mg separation in the known Mg complexes of structure type B (e.g., 2.87 Å for E = NSiMe3) [16] shows a distance similar to those in dimeric magnesium(I) complexes with unsupported Mg–Mg bonds [25,26]. Thus, a stable dimeric complex may possibly serve as a starting material to a molecule with a supported Mg–Mg bond.
Treating H2L with one equivalent of di-n-butyl-magnesium in a hydrocarbon solvent afforded the heteroleptic methanide complex [HLMgnBu] 1 in good yield, see Scheme 1. The compound is highly soluble in hydrocarbon solvents and, after removal of the solvent, is initially obtained as an oily residue. The compound could be precipitated from n-pentane at low temperatures as a white solid, and some crystals suitable for single crystal X-ray diffraction were eventually obtained from a concentrated solution of 1 in n-hexane at 4 °C. Single crystal X-ray diffraction shows the complex to be monomeric in the solid state with a planar, distorted three-coordinate Mg centre, see Figure 2. Three-coordinated Mg complexes with terminal nBu-groups are rare and are best described for the β-diketiminate class of ligand that allows some comparison with the sterics of HL. Comparable monomeric complexes of [{HC(RCNAr)2}MgnBu] with an overall molecular structure similar to 1 were found for R = Me and Ar = 2,6-(Ph2CH)2-4-MeC6H2 (≡ Ar*) [27], and R = tBu and Ar = Dip [28]. For the respective complex with R = Me and Ar = Dip [29] and smaller β-diketiminates, molecular structures with bridging nBu groups and four-coordinate Mg centres were found. Thus, the steric profile of HL, at least when coordinated to Mg, can be approximately compared with [{HC(tBuCNDip)2}]. When donor solvents are used, these types of compounds typically coordinate one equivalent of a donor molecule to afford a four-coordinate Mg centre, for example, in [L′MgnBu(THF)], with L′ = [(Dip)NC(Me)C(H)P(Cy2)NDip], a relevant hybrid ligand between the two ligand classes discussed here [30].
In analogy to the synthesis of a sterically less hindered methanediide Mg complex of type B (M = Mg, E = NSiMe3) [16], which was synthesized at 140 °C using MgnBu2, we heated [HLMgnBu] 1 to various high temperatures (up to 200 °C) though only obtained a complex product mixture according to 1H and 31P{1H} NMR spectroscopic experiments, that still contained some [HLMgnBu] 1 and small quantities of H2L among other compounds. Similar heating experiments in sealed NMR tubes in deuterated benzene or toluene that were followed by 1H and 31P{1H} NMR spectroscopy only afforded product mixtures including unreacted 1. We then treated [HLMgnBu] 1 with phenylsilane, a reagent that previously converted similar precursor molecules to heteroleptic MgH complexes [27,30,31,32]. No reaction was observed between 1 and one equivalent of PhSiH3 at room temperature; however, at elevated temperatures, for example in toluene at 80 °C, this afforded colourless crystals of the new homoleptic methanediide complex [(LMg)2] 2 in moderate isolated yield, see Scheme 1 and Figure 3. Hydrogen could be detected when the reaction was followed by 1H NMR spectroscopy, and the metathesis by-product n-butylphenylsilane was furthermore found in 1H NMR spectra of the reaction mixture. The expected magnesium hydride intermediate [(HLMgH)n] (n = 1 or 2) was not directly observed, suggesting that the H2 elimination is rapid under the reaction conditions. Both a monomeric and a dimeric aggregation state could be possible for this intermediate. Monomeric [{HC(tBuCNDip)2}MgnBu] has previously been converted to dimeric [({HC(tBuCNDip)2}MgH)2] with an unusually coordinated Mg(μ-H)2Mg core due to the approximately orthogonal arrangement of the β-diketiminate metal chelates caused by the steric bulk of the ligand [32]. The molecular structure of [{HC(MeCNAr*)2}MgH], however, does show that the monomeric coordination mode with a three-coordinate Mg centre is possible if sufficient steric protection from the ligand is provided [27].
During the course of this study, three different solvates of [(LMg)2] 2 were structurally characterized and show very similar geometrical features, see Figure 3. These show Complex 2 to be of structure type B with a central four-membered Mg2C2 ring surrounded by four annulated MgCPN-rings that bend up or down compared with the central Mg2C2 ring in an alternating manner. This feature of five interconnected four-membered rings is slightly more flattened in 2, having sterically demanding Dip-substituents compared with previously characterized examples. The P–N bond distances (ca. 1.63–1.64 Å) and the P–C bond distances (ca. 1.71–1.74 Å) in the methanediide fragments of the three solvates of 2 are of a similar magnitude compared with both methanide and methanediide fragments of related Mg complexes. The Mg–C bond distances in the solvates of 2 show each Mg centre to have one shorter (ca. 2.24–2.28 Å) and one longer (ca. 2.38–2.47 Å) contact each, whereas all Mg–C distances are of the short type in Example B (M = Mg, E = NSiMe3: ca. 2.20–2.25 Å) [16]. Thus, the Mg–C coordination approaches the extreme case that was previously found for [L(AlX2)2] [33]. For X4 = Me4 and Me2I2 each Al centre is N,C-chelated with a central spirocyclic carbon atom, whereas for X4 = I4 one Al–C coordination is lost in favour of a new iodide bridge. This distortion in 2 is likely due to steric reasons imposed by the bulky Dip groups in L2−. The Mg∙∙∙Mg separation in 2 is ca. 2.87–2.90 Å.
In order to investigate a route to the likely reaction intermediate [(HLMgH)n] (n = 1 or 2) at lower reaction temperatures, [HLMgnBu] 1 was treated with pinacolborane (HBpin) in hydrocarbon solvents, a reagent that previously allowed the synthesis of well-defined MgH complexes [34]. This, however, yielded a product mixture with stoichiometric HBpin, including some unreacted 1, and a product mixture with one major L-containing species (31P{1H} NMR resonance: δ 22.8 ppm) if an excess of HBpin is used. As a previously used alternative pathway to an MgH species on a sterically demanding monomeric tris(pyrazolyl)methanide MgnBu complex [35], [HLMgnBu] 1 has been reacted with LiAlH4 in diethyl ether at room temperature and afforded the aluminium complex [HLAlH2] 3 as a major product in moderate yield. Alternatively, this compound was also obtained by the reaction of H2L with AlH3∙NMe3, see Scheme 2. [HLAlH2] 3 crystallizes as colourless crystals with a similar overall molecular structure (see Figure 4) and metrical parameters compared with [HLAlMe2] [33], albeit with slightly shorter Al–N bond lengths for 3 (1.9022(12) and 1.9118(11) Å) when compared with those of [HLAlMe2] (1.9461(18) and 1.9461(17) Å).
The spectroscopic data for Complexes 13 are largely as expected and are in support of their solid-state structures. The 1H NMR spectrum of the n-butyl complex 1 shows one sharp septet for the methine isopropyl hydrogen environments and a broadened region for the methyl groups at 30 °C; this sharpens to one broadened singlet at 60 °C. In line with the lower symmetry of the ligand environment, Complex 2 shows two septets and four doublets for the protons of the iPr groups. Once crystallized, Complex 2 shows a relatively low solubility and NMR spectra were conveniently recorded at 60 °C. At this temperature, all septets and doublets appear as sharp resonances in 1H NMR spectra. Complex 3 shows one sharp septet and two sharp doublets for the protons of the iPr groups, as was found for [HLAlMe2] [33], and a very broad resonance (δ ca. 4.9) for the Al–H units. The IR spectrum of 3 shows two strong bands (1819 and 1777 cm−1) for the Al–H stretches. The methanide CH units in Compounds 1 and 3 appear as singlets at δ 1.77 (1) and δ 2.00 (3) in their 1H NMR spectra and show that the 2JP,H coupling constants are small and not resolved in this complex geometry. The 13C{1H} NMR spectra of Compounds 1 and 3 do show the expected triplets for the methanide carbon atoms with large 1JP,C coupling constants at δ 20.2 (141 Hz) and δ 16.3 (135 Hz), respectively, whereas the resonance for the methanediide carbon atoms in [(LMg)2] 2 were not observed. All three complexes show singlets in their 31P{1H} NMR spectra in a narrow range; i.e., δ 25.1 (1), δ 27.4 (2), and δ 29.5 (3).
Given the likely facile H2 elimination of [(HLMgH)n] to form [(LMg)2] 2, we studied the attempted thermal elimination of H2 from [HLAlH2] 3. A sample of 3 in deuterated benzene or toluene was heated to elevated temperatures for longer time periods (e.g., 110 °C for one week) and showed no sign of decomposition and H2 formation. Complex 3 is thermally robust in the solid state and melts at around 264–266 °C without visible decomposition. We have previously conducted heating experiments with the aim of eliminating one equivalent of methane from the methanide [HLAlMe2], which remained unchanged after prolonged refluxing in toluene [33]. [HLAlMe2] could be converted to the methanediide complex [L(AlMe2)2] though required a second equivalent of AlMe3 at ca. 100 °C to achieve the methanide to methanediide conversion [33].
The thermal lability of putative [(HLMgH)n] and the respective stability of [HLAlH2] 3 may highlight differences in these early main group metal hydride species [36]. MgH complexes are expected to have more ionic M∙∙∙H interactions compared with more polar covalent AlH systems. Significantly fewer MgH complexes have been reported compared with AlH complexes, and the former ionic class is more reliant on suitable protecting ligands to prevent decomposition reactions and suppress redistribution equilibria that form insoluble MgH2 through precipitation (c.f. the Schlenk equilibrium). In comparison, AlH complexes can be thermally stable with suitable sterically demanding ligands. With small or more weakly coordinating ligands, AlH3 complexes rather decompose in a redox reaction to give Almetal and H2 at elevated temperatures. This trend is also found for the decomposition temperatures of the bulk solids to the elements where MgH2 shows a higher decomposition temperature by ca. 180 °C compared with AlH3 [37]. In this respect, it is worth mentioning that H2 elimination from a β-diketiminate-stabilized Mg8H106+ cluster compound was achieved at 200 °C under a high vacuum releasing 5 equivalents of H2. [38] Further differences between the H2 eliminations of [(HLMgH)n] and [HLAlH2] 3 could stem from the fact that the Al3+ cation is naturally smaller than Mg2+, and Complex 3 shows shorter M–N distances than the Mg–N distances in 1 by ca. ≥0.1 Å. Similarly, M–H bond distances for M = Al are significantly shorter and stronger than those typical for M = Mg. The Mg centre in a possible monomeric MgH species [HLMgH] is coordinatively more unsaturated as compared with the Al centre in 3. The respective M∙∙∙Cmethanide distances in Compounds 1 and 3 are comparable. At this stage, a combination of both the different ionic properties and coordination numbers between the two metals, as well as steric grounds are likely to play a role in the different H2 elimination conditions.
The methanediide complex 2 with two Mg centres in distorted tetrahedral coordination environments does not appear to coordinate strong neutral donor ligands. It can be recrystallized in an uncoordinated form from neat THF and from a benzene solution that contains an excess of DMAP (4-dimethylaminopyridine). Methanediide complexes of L2− with heavier alkaline earth metal ions are known to form monomeric complexes with THF coordination, structure type C, for comparison [18,19]. The larger ionic radii of the heavier Group 2 metals likely allows for the accommodation of an N,C,N′ coordination mode to balance charges. Interestingly, the PS/PBH3 stabilized methanediide fragment in D achieves this for Mg with an S,C-chelating ligand and a short Mg–C distance of 2.113(4) Å [12].
We reacted Complex 2 with an excess of dry ammonia at low temperatures and stirred the mixture at room temperatures overnight. This afforded the bis(iminophosphoranyl)methane proligand H2L as the only soluble product and an unidentified insoluble residue, see Scheme 3. IR spectroscopy on the latter revealed no obvious or identifiable characteristic bands due to NH or NH2 groups. Attempts to reduce Compound 2 having two Mg2+ ions separated by ca. 2.87–2.90 Å have so far met with failure. The use of K or KC8 in combinations of benzene or toluene with TMEDA (N,N,N′,N′-tetramethylethylenediamine) or THF lead to some purple-brown coloured solutions. From these, some large light purple crystals that were analyzed by single crystal X-ray diffraction and NMR spectroscopy as consisting of Starting Material 2, likely with a minor coloured impurity, were obtained. Harsher reduction conditions have not yielded a new isolable compound so far.

3. Experimental Section

3.1. General Considerations

All manipulations were carried out using standard Schlenk line and glove box techniques under an atmosphere of high purity dinitrogen or argon. Benzene, toluene, n-pentane, n-hexane, THF and diethyl ether were either dried and distilled over molten potassium, or taken from an MBraun solvent purification system and degassed prior to use. 1H, 13C{1H}, and 31P{1H} NMR spectra were recorded on a Bruker Avance 300, Avance 400, or AVIII 500 spectrometer (Billerica, MA, USA) in appropriately dried deuterated benzene or toluene, and were referenced to the residual 1H or 13C{1H} NMR resonances of the solvent used, or external aqueous H3PO4 solutions. IR spectra were recorded using a Perkin Elmer RXI FT-IR spectrometer (Waltham, MA, USA) as Nujol mulls between NaCl plates. Melting points were determined in sealed glass capillaries under dinitrogen and are uncorrected. Elemental analyses were performed by the Elemental Analysis Service at London Metropolitan University. H2L [24] was prepared according to literature procedures. All other reagents were used as received from commercial suppliers.

3.2. Syntheses of Complexes 13

[HLMgnBu] 1: Mg(nBu)2 (1.087 mL of a 1.0 m solution in heptane, 1.087 mmol 1.05 equiv.) was added to a cooled (−80 °C) solution of H2L (0.760 g, 1.035 mmol) in toluene (30 mL). The mixture was stirred whilst warming to room temperature and stirred for a further two hours, at which point all volatiles were removed under vacuum. The oily residue consists of [HLMgnBu] 1 in essentially quantitative yield as judged by 1H and 31P{1H} NMR spectroscopy, and can be used for further reactions. The residue was further extracted by stirring with n-pentane (25 mL) to afford 1 as a white solid. The mixture was filtered, and the solution concentrated to ca. 10 mL and was stored at −40 °C to afford a second crop of 1 as a white solid. This material shows no significant improvement in purity compared with the oily residue, though can be easier to handle. Some crystals of 1 that are suitable for single crystal X-ray diffraction were in one instance obtained from a concentrated solution of 1 in n-hexane at 4 °C after several weeks. Yield: quantitative as an oily residue, or 0.412 g (51%) as a white solid. NMR data for 1 from an aliquot at two different temperatures: 1H NMR (C6D6, 300.1 MHz, 303 K): δ −0.28–−0.21 (m br, 2 H, Mg-CH2-nPr), 0.5–1.5 (vbr, 31H, CH(CH3)2, CH2, CH3), 1.77 (s, 1H, P2CH), 3.88 (sept, JH–H = 6.8 Hz, 4H, CH(CH3)2), 6.82–7.18 (m, 18H, Ar-H), 7.42–7.51 (m, 8H, Ar-H); 1H NMR (C6D6, 300.1 MHz, 333 K): δ −0.26 (vbr, 2 H, Mg-CH2-nPr), 0.7–1.4 (vbr, 19H, CH(CH3)2, CH2, CH3), 1.07 (br, 12H, CH(CH3)2) 1.78 (s, 1H, CH), 3.87 (sept, JH–H = 6.8 Hz, 4H, CH(CH3)2), 6.88–7.13 (m, 18H, Ar-H), 7.46–7.51 (m, 8H, Ar-H); 13C{1H} NMR (C6D6, 125.7 MHz, 333 K): δ −1.9 (MgCH2), 7.4 (CH2), 12.1 (CH2), 20.2 (t, JC–P = 141 Hz, P2CH), 24.0 (br, CH(CH3)2), 28.6 (CH(CH3)2), 30.7 (CH(CH3)2 or CH2CH3), 31.1 (CH(CH3)2 or CH2CH3), 123.8 (Ar-C), 124.0 (Ar-C), 127.5 (partially hidden by solvent resonance, Ar-C), 130.0 (Ar-C), 132.3 (vtr, not resolved, Ar-C), 136.1 (d, JC–P = 98.1 Hz, Ar-C), 141.9 (vtr, not resolved, Ar-C), 145.9 (Ar-C); 31P{1H} NMR (C6D6, 121.5 MHz, 303 K): δ 25.1 (s).
[(LMg)2] 2: [HLMgnBu] 1 (1.63 mmol) in toluene (25 mL) was prepared as described above. At room temperature, PhSiH3 (0.193 g, 0.220 mL, 1.78 mmol, 1.09 equiv.) was added and the mixture was stirred for two hours at 80 °C. (This has been found to be sufficient for the generation of 2, additional heating has been used to ensure completion and encourage precipitation of 2 during work-up.) The mixture was heated under reflux overnight, cooled, and a white precipitate of 2 formed that was filtered off. The supernatant solution was concentrated under vacuum to ca. 6 mL, n-hexane (10 mL) was added, and more 2 precipitated. This mixture was stored at 4 °C for one day, and 2 was filtered off. All crops were dried in vacuum. Yield: 0.565 g (46%). Crystals of 2∙4 or 6 C6H6 were obtained by recrystallization from hot benzene. Once crystallized, the compound shows a low solubility. Crystals of [(LMg)2]∙4 THF were obtained from a solution of 2 in neat THF at −25 °C. m.p.: 254–258 °C (decomp.); NMR spectra were recorded at 65 °C to achieve a better solubility and sharper resonances. 1H NMR (C6D6, 300.1 MHz, 338 K): δ 0.06 (d, JH–H = 6.8 Hz, 12H, CH(CH3)2), 0.23 (d, JH–H = 6.8 Hz, 12H, CH(CH3)2), 0.62 (d, JH–H = 6.8 Hz, 12H, CH(CH3)2), 1.50 (d, JH–H = 6.8 Hz, 12H, CH(CH3)2), 3.34 (sept, JH–H = 6.8 Hz, 4H, CH(CH3)2), 3.81 (sept, JH–H = 6.8 Hz, 4H, CH(CH3)2), 6.39–7.22 (m, 52H, Ar-H); 13C{1H} NMR (C6D6, 75.5 MHz, 303 K): δ 23.1 (CH(CH3)2), 23.3 (CH(CH3)2), 24.9 (CH(CH3)2), 27.2 (CH(CH3)2), 29.0 (CH(CH3)2), 29.1 (CH(CH3)2), 123.5 (vtr, Ar-C), 123.7 (vtr, Ar-C), 124.8 (vtr, Ar-C), 126.3 (vtr, JC–P = 5.3 Hz, Ar-C), 127.3 (vtr br, Ar-C), 129.3 (Ar-C), 129.6 (Ar-C), 134.3 (vtr br, Ar-C), 134.9 (vtr, JC–P = 4.3 Hz, Ar-C), 143.8 (vtr, JC–P ≈ 1.3 Hz, Ar-C), 145.8 (vtr, JC–P = 3.1 Hz, Ar-C), 147.3 (vtr, JC–P = 3.2 Hz, Ar-C); Note: the PCP carbon atoms were not observed. 31P{1H} NMR (C6D6, 121.5 MHz, 338 K): δ 27.5 (s); IR (nujol), ṽ/cm−1: 1587 w, 1573 w, 1460 s, 1433 s, 1378 m, 1361 m, 1347 m, 1309 m, 1246 m, 1198 m, 1100 s, 1077 s, 1069 s, 1027 m, 962 m, 823 m, 785 s, 737 m, 702 m, 656 m; elemental analysis (%) (on a solvent-free sample precipitated using n-hexane and dried under vacuum) for C98H108Mg2N4P2 (1514.44 g mol−1): calcd: C 77.72, H 7.19, N 3.70; found: C 77.77, H 7.28, N 3.63.
[HLAlH2] 3: Method A: A solution of AlH3∙NMe3 in toluene (1.25 mL of a 0.82 m solution, 1.03 mmol) was added to a cooled (−60 °C) solution of H2L (0.72 g, 0.981 mmol) in toluene (12 mL), and the solution was stirred at room temperature overnight. All volatiles were removed under vacuum, n-hexane (15 mL) was added, the mixture was briefly stirred and the resulting white solid of 3 was filtered off. The solution was stored at 4 °C to give a crop of colourless crystals of 3. The supernatant solution was concentrated to ca. 4 mL and again stored at 4 °C to obtain a smaller third crop of 3. Combined yield: 0.51 g (67%). Method B: A mixture of [HLMgnBu] 1 (0.420 g, 0.515 mmol) and LiAlH4 (0.040 g, 1.046 mmol, 2.03 equiv.) was cooled to −80 °C, diethyl ether (30 mL) was added, and the mixture was stirred overnight at room temperature forming a white precipitate. All volatiles were removed under vacuum, and the residue was washed with n-hexane (8 mL). The solid was extracted with toluene (20 mL) and all volatiles were removed under vacuum to afford a white solid of [HLAlH2] 3. Yield: 0.160 g (41%). m.p.: 264–266 °C (no visible decomposition observed up to the investigated limit of 270 °C); 1H NMR (C6D6, 300.1 MHz, 303 K): δ 0.50 (d, JH–H = 6.9 Hz, 12H, CH(CH3)2), 1.47 (d, JH–H = 6.9 Hz, 12H, CH(CH3)2), 2.00 (s, 1H, P2CH), 4.03 (sept, JH–H = 6.9 Hz, 4H, CH(CH3)2), ca. 4.9 (vbr, 2H, AlH), 6.84–7.28 (m, 18H, Ar-H), 7.53–7.77 (m, 8H, Ar-H); 13C{1H} NMR (C6D6, 75.5 MHz, 303 K): δ 16.3 (t, JC–P = 135 Hz, P2CH), 23.0 (CH(CH3)2), 27.9 (CH(CH3)2), 29.3 (CH(CH3)2), 124.9 (Ar-C), 126.1 (Ar-C), 127.9 (partially hidden by solvent resonance, vtr, JC–P = 5.7 Hz, Ar-C), 131.0 (Ar-C), 133.6 (vtr, JC–P = 4.9 Hz, Ar-C), 134.8 (dd, JC–P = 99.7, 2.0 Hz, Ar-C), 139.2 (vtr, JC–P = 4.6 Hz, Ar-C), 148.7 (vtr, JC–P = 2.4 Hz, Ar-C); 31P{1H} NMR (C6D6, 121.5 MHz, 303 K): δ 29.5 (s); IR (nujol), ṽ/cm−1: 1819 s (AlH), 1777 s (AlH), 1480 m, 1461 s, 1433 s, 1378 s, 1315 m, 1259 m, 1240 m, 1205 m, 1181 s, 1105 s, 1042 m, 1003 m, 988 s, 834 m, 804 s, 785 s, 757 m, 741 m, 719 s, 696 s, 598 m, 564 s; elemental analysis (%) for C49H57AlN2P2 (762.92 g∙mol−1): calcd: C 77.14, H 7.53, N 3.67; found: C 77.57, H 7.51, N 3.72.

3.3. X-ray Crystallography

Suitable crystals were mounted in silicone oil and were either measured using a Rigaku FR-X Ultrahigh brilliance Microfocus RA generator/confocal optics and Rigaku XtaLAB P200 diffractometer (1) using the CrystalClear (Rigaku) program suite [39], or at the MX1 and MX2 beamlines [40] at the Australian Synchrotron (all other structures) with synchrotron radiation with a wavelength at or close to Mo Kα radiation (λ = 0.71073 Å). All structures were solved by direct methods and refined by full-matrix least-squares against F2 using SHELXL [41]. All non-hydrogen atoms were refined anisotropically. Hydrogen atoms were placed in calculated positions (riding model), except for the Al–H atoms in Compound 3, which were freely refined. Multiple attempts were made to model the apparent positional disorder in the n-butyl chain in 1; however, none of these resulted in satisfactory behaviour of the thermal ellipsoids. From examining the packing of the complex, it is apparent that there is volume available for the n-butyl chain to be positioned in, such that refinement of discrete orientations is likely impractical. In 2′, one benzene molecule in the asymmetric unit is disordered and was modelled using two positions for each atom (54% and 46% parts). Geometry restraints were applied to the refinement of all benzene lattice molecules in 2′. Severely disordered solvent of crystallization was partially (2′′) or fully (2′′′) removed using the PLATON/SQUEEZE routine [42]. Further experimental and refinement details are given in the crystallographic information files. CCDC 1540806–1540810 contains the supplementary crystallographic data for this paper. These data can be obtained free of charge via https://www.ccdc.cam.ac.uk/structures/ (or from the CCDC, 12 Union Road, Cambridge CB2 1EZ, UK; Fax: +44-1223-336033; E-mail: deposit@ccdc.cam.ac.uk).
1, [HLMgnBu], CCDC 1540806, C53H64MgN2P2, M = 815.31, T = 173(2) K, Monoclinic, P21/c, a = 18.7343(17) Å, b = 11.6636(8) Å, c = 23.2790(18) Å, α = 90°, β = 106.937(2)°, γ = 90°, V = 4866.0(7) Å3, Z = 4, ρ = 1.113 Mg/m3, F(000) = 1752, theta range: 1.829° to 25.384°, indices −21 ≤ h ≤ 22, −14 ≤ k ≤ 13, −28 ≤ l ≤ 28, Reflections collected: 58239, Independent reflections: 8919 [R(int) = 0.0318], Completeness to theta (25.241°): 99.8%, Goof: 1.022, Final R indices [I > 2σ(I)]: R1 = 0.0406, wR2 = 0.1080, R indices (all data): R1 = 0.0504, wR2 = 0.1149, Largest diff. peak and hole: 0.528 and −0.283 e∙Å−3.
2′, [(LMg)2]∙4 C6H6, CCDC 1540807, C122H132Mg2N4P4, M = 1826.81, T = 100(2) K, Monoclinic, C2/c, a = 20.547(4) Å, b = 22.500(5) Å, c = 22.000(4) Å, α = 90°, β = 90.34(3)°, γ = 90°, V = 10171(4) Å3, Z = 4, ρ = 1.193 Mg/m3, F(000) = 3904, theta range: 1.342° to 28.622°, indices −27 ≤ h ≤ 27, −29 ≤ k ≤ 29, −28 ≤ l ≤ 28, Reflections collected: 68,204, Independent reflections: 12,842 [R(int) = 0.1103], Completeness to theta (25.241°): 99.7%, Goof: 1.020, Final R indices [I > 2σ(I)]: R1 = 0.0554, wR2 = 0.1248, R indices (all data): R1 = 0.0894, wR2 = 0.1406, Largest diff. peak and hole: 0.420 and −0.419 e∙Å−3.
2′′, [(LMg)2]∙6 C6H6, CCDC 1540809, C134H144Mg2N4P4, M = 1983.02, T = 100(2) K, Monoclinic, C2/c, a = 19.080(4) Å, b = 34.382(7) Å, c = 16.790(3) Å, α = 90°, β = 90.56(3)°, γ = 90°, V = 11014(4) Å3, Z = 4, ρ = 1.196 Mg/m3, F(000) = 4240, theta range: 1.728° to 27.138°, indices −24 ≤ h ≤ 24, −44 ≤ k ≤ 44, −21 ≤ l ≤ 21, Reflections collected: 87100, Independent reflections: 12142 [R(int) = 0.0499], Completeness to theta (25.241°): 99.5%, Goof: 1.051, Final R indices [I > 2σ(I)]: R1 = 0.0445, wR2 = 0.1141, R indices (all data): R1 = 0.0495, wR2 = 0.1184, Largest diff. peak and hole: 0.280 and −0.441 e∙Å−3.
2′′′, [(LMg)2]∙4 THF, CCDC 1540810, C114H140Mg2N4O4P4, M = 1802.79, T = 100(2) K, Triclinic, P-1, a = 13.510(3) Å, b = 14.400(3) Å, c = 29.430(6) Å, α = 100.84(3)°, β = 100.81(3)°, γ = 100.62(3)°, V = 5379(2) Å3, Z = 2, ρ = 1.113 Mg/m3, F(000) = 1936, theta range: 1.479° to 27.131°, indices −17 ≤ h ≤ 17, −18 ≤ k ≤ 18, −37 ≤ l ≤ 36, Reflections collected: 84669, Independent reflections: 23560 [R(int) = 0.0782], Completeness to theta (25.241°): 99.4%, Goof: 1.001, Final R indices [I > 2σ(I)]: R1 = 0.0779, wR2 = 0.2065, R indices (all data): R1 = 0.1198, wR2 = 0.2280, Largest diff. peak and hole: 0.912 and −0.473 e∙Å−3.
3, [HLAlH2], CCDC 1540808, C49H57AlN2P2, M = 762.88, T = 100(2) K, Monoclinic, P21/c, a = 13.149(3) Å, b = 18.972(4) Å, c = 17.427(4) Å, α = 90°, β = 99.58(3)°, γ = 90°, V = 4286.8(15) Å3, Z = 4, ρ = 1.182 Mg/m3, F(000) = 1632, theta range: 1.571° to 28.604°, indices −17 ≤ h ≤ 17, −25 ≤ k ≤ 25, −22 ≤ l ≤ 22, Reflections collected: 75030, Independent reflections: 10752 [R(int) = 0.0395], Completeness to theta (25.241°): 99.1%, Goof: 1.048, Final R indices [I > 2σ(I)]: R1 = 0.0384, wR2 = 0.0994, R indices (all data): R1 = 0.0408, wR2 = 0.1021, Largest diff. peak and hole: 0.366 and −0.395 e∙Å−3.

4. Conclusions

In conclusion, we have successfully synthesized and characterized the Mg and Al complexes [HLMgnBu] 1, [(LMg)2] 2, and [HLAlH2] 3, where H2L is H2C(Ph2P=NDip)2. [HLMgnBu] 1 shows a rare three-coordinate Mg centre with terminal n-butyl group and the methanediide complex [(LMg)2] 2 shows a central folded core of five fused four-membered rings. The results from reactivity studies suggest that dihydrogen elimination from methanide metal hydride complexes of HL is much more facile for a putative magnesium hydride species intermediate, whereas related aluminium complexes are more thermally stable and H2 elimination was not achieved. Once formed, [(LMg)2] 2 is relatively inert with respect to donor molecules and strong reducing agents, likely for steric reasons though reacts with ammonia.

Supplementary Materials

The following are available online at www.mdpi.com/2304-6740/5/2/29/s1, cif and cif-checked files.

Acknowledgments

Andreas Stasch is grateful to the Australian Research Council for support and a fellowship, and the University of St Andrews. Christian P. Sindlinger thanks the DAAD and the Fonds der Chemischen Industrie for a scholarship. Part of this research was undertaken on the MX1 and MX2 beamlines at the Australian Synchrotron, Victoria, Australia.

Author Contributions

Christian P. Sindlinger, Samuel R. Lawrence, and Andreas Stasch carried out the experiments and compound characterization and wrote the experimental section. David B. Cordes, Alexandra M. Z. Slawin, and Andreas Stasch conducted the X-ray crystallographic analyses. Andreas Stasch conceived the project and wrote the main section of the manuscript with input from all authors.

Conflicts of Interest

The authors declare no conflict of interest.

References

  1. Marek, I.; Normant, J.-F. Synthesis and reactivity of sp3-geminated organodimetallics. Chem. Rev. 1996, 96, 3241–3267. [Google Scholar] [CrossRef] [PubMed]
  2. Gessner, V.H.; Becker, J.; Feichtner, K.-S. Carbene complexes based on dilithium methandiides. Eur. J. Inorg. Chem. 2015, 1841–1859. [Google Scholar] [CrossRef]
  3. Chivers, T.; Konu, J.; Thirumoorthi, R. PCP-bridged chalcogen-centred anions: Coordination chemistry and carbon-based reactivity. Dalton Trans. 2012, 41, 4283–4295. [Google Scholar] [CrossRef] [PubMed]
  4. Harder, S. Geminal dianions stabilized by phosphonium substituents. Coord. Chem. Rev. 2011, 255, 1252–1267. [Google Scholar] [CrossRef]
  5. Liddle, S.T.; Mills, D.P.; Wooles, A.J. Early metal bis(phosphorus-stabilized)carbene chemistry. Chem. Soc. Rev. 2011, 40, 2164–2176. [Google Scholar] [CrossRef] [PubMed]
  6. Liddle, S.T.; Mills, D.P.; Wooles, A.J. Bis(phosphorus-Stabilized)methanide and methandiide derivatives of group 1–5 and f-element metals. Organomet. Chem. 2010, 36, 29–55. [Google Scholar] [CrossRef]
  7. Panda, T.K.; Roesky, P.W. Main-group and transition-metal complexes of bis(phosphinimino)methanides. Chem. Soc. Rev. 2009, 38, 2782–2804. [Google Scholar] [CrossRef] [PubMed]
  8. Cantat, T.; Mézailles, N.; Auffant, A.; Le Floch, P. Bis-phosphorus stabilised carbene complexes. Dalton Trans. 2008, 15, 1957–1972. [Google Scholar] [CrossRef] [PubMed]
  9. Birchall, C.; Moxey, G.J.; McMaster, J.; Blake, A.J.; Lewis, W.; Kays, D.L. A monomeric, heterobimetallic complex with an unsupported Mg–Fe bond. Inorg. Chim. Acta 2017, 458, 97–100. [Google Scholar] [CrossRef]
  10. Thirumoorthi, R.; Chivers, T. Potassium and magnesium complexes of the (iminophosphoranyl)(selenophosphoranyl)methanide ligand [CH(PPh2Se)(PPh2NSiMe3)]. Eur. J. Inorg. Chem. 2015, 2188–2192. [Google Scholar] [CrossRef]
  11. Xie, H.; Mou, Z.; Liu, B.; Li, P.; Rong, W.; Li, S.; Cui, D. Phosphinimino-amino magnesium complexes: Synthesis and catalysis of heteroselective ROP of rac-lactide. Organometallics 2014, 33, 722–730. [Google Scholar] [CrossRef]
  12. Heuclin, H.; Fustier-Boutignon, M.; Ho, S.Y.; Le Goff, X.; Carenco, S.; So, C.; Mézailles, N. Synthesis of phosphorus(V)-stabilized geminal dianions. The cases of mixed P=X/P→BH3 (X = S, O) and P=S/SiMe3 derivatives. Organometallics 2013, 32, 498–508. [Google Scholar] [CrossRef]
  13. Thirumoorthi, R.; Chivers, T. Alkali metal, magnesium, and zinc complexes of bis(chalcogenophosphinoyl)methanide ligands. Eur. J. Inorg. Chem. 2012, 3061–3069. [Google Scholar] [CrossRef]
  14. Marks, S.; Kuzdrowska, M.; Roesky, P.W.; Annunziata, L.; Guillaume, S.M.; Maron, L. Organometallic strontium borohydrides: Synthesis, X-ray structures, catalytic polymerization of ε-caprolactone, and density functional calculations. ChemPlusChem 2012, 77, 350–353. [Google Scholar] [CrossRef]
  15. Leung, W.; Wan, C.; Mak, T.C.W. Synthesis and structure of magnesium and group 13 metal bis(thiophosphinoyl)methanediide complexes. Organometallics 2010, 29, 1622–1628. [Google Scholar] [CrossRef]
  16. Guo, J.; Lee, J.; Foo, M.; Lau, K.; Xi, H.; Lim, K.H.; So, C. Synthesis and characterization of magnesium and aluminum bis(phosphoranyl)methanediide complexes. Organometallics 2010, 29, 939–944. [Google Scholar] [CrossRef]
  17. Wiecko, M.; Marks, S.; Panda, T.K.; Roesky, P.W. Bis(phosphinimino)methanides as ligands in divalent ytterbium and strontium chemistry—Synthesis and structure. Z. Anorg. Allg. Chem. 2009, 635, 931–935. [Google Scholar] [CrossRef]
  18. Orzechowski, L.; Harder, S. Syntheses, structures, and reactivity of barium carbene complexes with chelating bis-iminophosphorano arms. Organometallics 2007, 26, 5501–5506. [Google Scholar] [CrossRef]
  19. Orzechowski, L.; Jansen, G.; Harder, S. Synthesis, structure, and reactivity of a stabilized calcium carbene: R2CCa. J. Am. Chem. Soc. 2006, 128, 14676–14684. [Google Scholar] [CrossRef] [PubMed]
  20. Ahmed, S.A.; Hill, M.S.; Hitchcock, P.B. Synthesis and M–Cγ hemilability of group 2 bis(phosphinimino)methanides. Organometallics 2006, 25, 394–402. [Google Scholar] [CrossRef]
  21. Panda, T.K.; Zulys, A.; Gamer, M.T.; Roesky, P.W. Bis(phosphinimino)methanides as ligands in divalent lanthanide and alkaline earth chemistry—Synthesis, structure, and catalysis. J. Organomet. Chem. 2005, 690, 5078–5089. [Google Scholar] [CrossRef]
  22. Wei, P.; Stephan, D.W. Magnesium complexes of bis(phosphinimine)methane and -methanide ligands. Organometallics 2003, 22, 601–604. [Google Scholar] [CrossRef]
  23. Hill, M.S.; Hitchcock, P.B. Bis(phosphinimino)methyl derivatives of Ca, Sr and Ba: Facile access to heavier alkaline earth organometallic chemistry. Chem. Commun. 2003, 1758–1759. [Google Scholar] [CrossRef]
  24. Al-Benna, S.; Sarsfield, M.J.; Thornton-Pett, M.; Ormsby, D.L.; Maddox, P.J.; Brès, P.; Bochmann, M. Sterically hindered iminophosphorane complexes of vanadium, iron, cobalt and nickel: A synthetic, structural and catalytic study. J. Chem. Soc. Dalton Trans. 2000, 4247–4257. [Google Scholar] [CrossRef]
  25. Green, S.P.; Jones, C.; Stasch, A. Stable magnesium(I) compounds with Mg–Mg bonds. Science 2007, 318, 1754–1757. [Google Scholar] [CrossRef] [PubMed]
  26. Stasch, A.; Jones, C. Stable dimeric magnesium(I) compounds: From chemical landmarks to versatile reagents. Dalton Trans. 2011, 40, 5659–5672. [Google Scholar] [CrossRef] [PubMed]
  27. Arrowsmith, M.; Maitland, B.; Kociok-Köhn, G.; Stasch, A.; Jones, C.; Hill, M.S. Mononuclear three-coordinate magnesium complexes of a highly sterically encumbered β-diketiminate ligand. Inorg. Chem. 2014, 53, 10543–10552. [Google Scholar] [CrossRef] [PubMed]
  28. Balasanthiran, V.; Chisholm, M.H.; Choojun, K.; Durr, C.B.; Wambua, P.M. BDI*MgX(L) where X = nBu and OtBu and L = THF, py and DMAP. The rates of kinetic exchange of L where BDI* = CH{C(tBu)N-2,6-iPr2C6H3}2. Polyhedron 2016, 103, 235–240. [Google Scholar] [CrossRef]
  29. Jones, C.; Bonyhady, S.J.; Nembenna, S.; Stasch, A. New routes to soluble magnesium amidoborane complexes. Eur. J. Inorg. Chem. 2012, 2596–2601. [Google Scholar] [CrossRef]
  30. Xie, H.; Hua, X.; Liu, B.; Wu, C.; Cui, D. Phosphinimino-amino supported complex: Synthesis, polymerization of ethylene and dearomatisation of pyridine. J. Organomet. Chem. 2015, 798, 335–340. [Google Scholar] [CrossRef]
  31. Green, S.P.; Jones, C.; Stasch, A. Stable adducts of a dimeric magnesium(I) compound. Angew. Chem. Int. Ed. 2008, 47, 9079–9083. [Google Scholar] [CrossRef] [PubMed]
  32. Bonyhady, S.J.; Jones, C.; Nembenna, S.; Stasch, A.; Edwards, A.J.; McIntyre, G.J. β-Diketiminate-stabilized magnesium(I) dimers and magnesium(II) hydride complexes: Synthesis, characterization, adduct formation, and reactivity studies. Chem. Eur. J. 2010, 16, 938–955. [Google Scholar] [CrossRef] [PubMed]
  33. Sindlinger, C.P.; Stasch, A. Aluminium complexes of a sterically demanding bis(iminophosphorane)methandiide. Aust. J. Chem. 2013, 66, 1219–1225. [Google Scholar] [CrossRef]
  34. Arrowsmith, M.; Hadlington, T.J.; Hill, M.S.; Kociok-Köhn, G. Magnesium-catalysed hydroboration of aldehydes and ketones. Chem. Commun. 2012, 48, 4567–4569. [Google Scholar] [CrossRef] [PubMed]
  35. Lalrempuia, R.; Stasch, A.; Jones, C. An extremely bulky tris(pyrazolyl)methanide: A tridentate ligand for the synthesis of heteroleptic magnesium(II) and ytterbium(II) alkyl, hydride, and iodide complexes. Chem. Asian J. 2015, 10, 447–454. [Google Scholar] [CrossRef] [PubMed]
  36. Harder, S. Molecular early main group metal hydrides: Synthetic challenge, structures and applications. Chem. Commun. 2012, 48, 11165–11177. [Google Scholar] [CrossRef] [PubMed]
  37. Grochalla, W.; Edwards, P.P. Thermal decomposition of the non-interstitial hydrides for the storage and production of hydrogen. Chem. Rev. 2004, 104, 1283–1315. [Google Scholar] [CrossRef] [PubMed]
  38. Harder, S.; Spielmann, J.; Intemann, J.; Bandmann, H. Hydrogen storage in magnesium hydride: The molecular approach. Angew. Chem. Int. Ed. 2011, 50, 4156–4160. [Google Scholar] [CrossRef] [PubMed]
  39. CrystalClear-SM Expert v2.1; Rigaku Americas: The Woodlands, TX, USA; Rigaku Corporation: Tokyo, Japan, 2013.
  40. Cowieson, N.P.; Aragao, D.; Clift, M.; Ericsson, D.J.; Gee, C.; Harrop, S.J.; Mudie, N.; Panjikar, S.; Price, J.R.; Riboldi-Tunnicliffe, A.; et al. MX1: A bending-magnet crystallography beamline serving both chemical and macromolecular crystallography communities at the Australian Synchrotron. J. Synchrotron Radiat. 2015, 22, 187–190. [Google Scholar] [CrossRef] [PubMed]
  41. Sheldrick, G.M. Crystal structure refinement with SHELXL. Acta Cryst. 2015, C71, 3–8. [Google Scholar]
  42. Spek, A.L. PLATON SQUEEZE: A tool for the calculation of the disordered solvent contribution to the calculated structure factors. Acta Cryst. 2015, C71, 9–18. [Google Scholar]
Figure 1. Bis(diphenylphosphoranyl)methanediide A and alkaline earth complex types BE.
Figure 1. Bis(diphenylphosphoranyl)methanediide A and alkaline earth complex types BE.
Inorganics 05 00029 g001
Scheme 1. Synthesis of Complexes 1 and 2.
Scheme 1. Synthesis of Complexes 1 and 2.
Inorganics 05 00029 sch001
Figure 2. Molecular structure of [HLMgnBu] 1 (30% thermal ellipsoids). Only the methanide hydrogen atom is shown. Selected bond lengths (Å) and angles (°): Mg(1)–N(1) 2.0359(14), Mg(1)–N(2) 2.0173(14), Mg(1)–C(50) 2.122(2), P(1)–N(1) 1.6185(13), P(2)–N(2) 1.6195(14), P(1)–C(1) 1.7138(15), P(2)–C(1) 1.6965(16), N(2)–Mg(1)–N(1) 108.26(6), N(1)–Mg(1)–C(50) 125.09(8), N(2)–Mg(1)–C(50) 126.64(9), P(2)–C(1)–P(1) 131.54(10).
Figure 2. Molecular structure of [HLMgnBu] 1 (30% thermal ellipsoids). Only the methanide hydrogen atom is shown. Selected bond lengths (Å) and angles (°): Mg(1)–N(1) 2.0359(14), Mg(1)–N(2) 2.0173(14), Mg(1)–C(50) 2.122(2), P(1)–N(1) 1.6185(13), P(2)–N(2) 1.6195(14), P(1)–C(1) 1.7138(15), P(2)–C(1) 1.6965(16), N(2)–Mg(1)–N(1) 108.26(6), N(1)–Mg(1)–C(50) 125.09(8), N(2)–Mg(1)–C(50) 126.64(9), P(2)–C(1)–P(1) 131.54(10).
Inorganics 05 00029 g002
Figure 3. Molecular structures of three different solvates of [(LMg)2] 2 (30% thermal ellipsoids) in different views: 2′ ([(LMg)2]∙4 C6H6, top) , 2′′ ([(LMg)2]∙6 C6H6, middle, only the core of the molecule is shown), 2′′′ ([(LMg)2]∙4 THF, bottom). Hydrogen atoms and solvent of crystallization omitted for clarity. Selected bond lengths (Å) and angles (°) for 2′: P(1)–N(1) 1.6306(18), P(2)–N(2) 1.6360(17), P(1)–C(1) 1.7144(19), C(1)–P(2) 1.730(2), Mg(1)–N(1) 2.0147(17), Mg(1)–N(2)1 2.0321(18), N(2)–Mg(1)1 2.0321(18), Mg(1)–C(1)1 2.264(2), Mg(1)–C(1) 2.425(2), C(1)–Mg(1)1 2.264(2), Mg(1)∙∙∙Mg(1)1 2.8881(15), N(1)–Mg(1)–N(2)1 122.44(7), P(1)–C(1)–P(2) 123.98(12), Mg(1)1–C(1)–Mg(1) 75.96(7), N(2)–P(2)–C(1) 101.67(9); 2′′: P(1)–N(1) 1.6377(13), P(2)–N(2) 1.6376(13), P(1)–C(1) 1.7095(15), C(1)–P(2) 1.7370(14), Mg(1)–N(1) 2.0088(13), Mg(1)–N(2)1 2.0380(13), N(2)–Mg(1)1 2.0380(13), Mg(1)–C(1) 2.4665(16), Mg(1)–C(1)1 2.2349(15), C(1)–Mg(1)1 2.2348(15), Mg(1)∙∙∙Mg(1)1 2.9006(13), N(1)–P(1)–C(1) 104.98(7), N(1)–Mg(1)–N(2)1 123.16(6), P(1)–C(1)–P(2) 124.27(9), Mg(1)1–C(1)–Mg(1) 76.01(5); 2′′′: P(1)–N(1) 1.638(2), P(2)–N(2) 1.638(3), P(3)–N(3) 1.632(3), P(4)–N(4) 1.629(3), P(1)–C(1) 1.734(3), C(1)–P(2) 1.712(3), C(2)–P(3) 1.724(3), C(2)–P(4) 1.720(3), Mg(1)–N(4) 2.023(3), Mg(1)–N(1) 2.027(3), Mg(2)–N(3) 2.025(3), Mg(2)–N(2) 2.028(3), Mg(1)–C(1) 2.272(3), Mg(1)–C(2) 2.400(3), C(1)–Mg(2) 2.381(3), Mg(2)–C(2) 2.283(3), Mg(1)∙∙∙Mg(2) 2.8732(16), N(4)–Mg(1)–N(1) 123.95(11), N(3)–Mg(2)–N(2) 122.33(11), C(1)–Mg(1)–C(2) 103.55(11), C(2)–Mg(2)–C(1)103.84(11), Mg(1)–C(1)–Mg(2) 76.23(10), Mg(2)–C(2)–Mg(1) 75.65(10), N(1)–P(1)–C(1)101.55(13), N(2)–P(2)–C(1) 104.52(14), P(4)–C(2)–P(3) 125.13(19), N(3)–P(3)–C(2) 100.99(14), N(4)–P(4)–C(2) 104.70(14).
Figure 3. Molecular structures of three different solvates of [(LMg)2] 2 (30% thermal ellipsoids) in different views: 2′ ([(LMg)2]∙4 C6H6, top) , 2′′ ([(LMg)2]∙6 C6H6, middle, only the core of the molecule is shown), 2′′′ ([(LMg)2]∙4 THF, bottom). Hydrogen atoms and solvent of crystallization omitted for clarity. Selected bond lengths (Å) and angles (°) for 2′: P(1)–N(1) 1.6306(18), P(2)–N(2) 1.6360(17), P(1)–C(1) 1.7144(19), C(1)–P(2) 1.730(2), Mg(1)–N(1) 2.0147(17), Mg(1)–N(2)1 2.0321(18), N(2)–Mg(1)1 2.0321(18), Mg(1)–C(1)1 2.264(2), Mg(1)–C(1) 2.425(2), C(1)–Mg(1)1 2.264(2), Mg(1)∙∙∙Mg(1)1 2.8881(15), N(1)–Mg(1)–N(2)1 122.44(7), P(1)–C(1)–P(2) 123.98(12), Mg(1)1–C(1)–Mg(1) 75.96(7), N(2)–P(2)–C(1) 101.67(9); 2′′: P(1)–N(1) 1.6377(13), P(2)–N(2) 1.6376(13), P(1)–C(1) 1.7095(15), C(1)–P(2) 1.7370(14), Mg(1)–N(1) 2.0088(13), Mg(1)–N(2)1 2.0380(13), N(2)–Mg(1)1 2.0380(13), Mg(1)–C(1) 2.4665(16), Mg(1)–C(1)1 2.2349(15), C(1)–Mg(1)1 2.2348(15), Mg(1)∙∙∙Mg(1)1 2.9006(13), N(1)–P(1)–C(1) 104.98(7), N(1)–Mg(1)–N(2)1 123.16(6), P(1)–C(1)–P(2) 124.27(9), Mg(1)1–C(1)–Mg(1) 76.01(5); 2′′′: P(1)–N(1) 1.638(2), P(2)–N(2) 1.638(3), P(3)–N(3) 1.632(3), P(4)–N(4) 1.629(3), P(1)–C(1) 1.734(3), C(1)–P(2) 1.712(3), C(2)–P(3) 1.724(3), C(2)–P(4) 1.720(3), Mg(1)–N(4) 2.023(3), Mg(1)–N(1) 2.027(3), Mg(2)–N(3) 2.025(3), Mg(2)–N(2) 2.028(3), Mg(1)–C(1) 2.272(3), Mg(1)–C(2) 2.400(3), C(1)–Mg(2) 2.381(3), Mg(2)–C(2) 2.283(3), Mg(1)∙∙∙Mg(2) 2.8732(16), N(4)–Mg(1)–N(1) 123.95(11), N(3)–Mg(2)–N(2) 122.33(11), C(1)–Mg(1)–C(2) 103.55(11), C(2)–Mg(2)–C(1)103.84(11), Mg(1)–C(1)–Mg(2) 76.23(10), Mg(2)–C(2)–Mg(1) 75.65(10), N(1)–P(1)–C(1)101.55(13), N(2)–P(2)–C(1) 104.52(14), P(4)–C(2)–P(3) 125.13(19), N(3)–P(3)–C(2) 100.99(14), N(4)–P(4)–C(2) 104.70(14).
Inorganics 05 00029 g003
Scheme 2. Synthesis of Complex 3, HBpin = pinacolborane.
Scheme 2. Synthesis of Complex 3, HBpin = pinacolborane.
Inorganics 05 00029 sch002
Figure 4. Molecular structures of [HLAlH2] 3 (30% thermal ellipsoids). Only the AlH and methanide H atoms are shown. Selected bond lengths (Å) and angles (°): Al(1)–N(2) 1.9022(12), Al(1)–N(1) 1.9118(11), P(1)–N(1) 1.6372(11), P(2)–N(2) 1.6426(10), P(1)–C(1) 1.7125(12), C(1)–P(2) 1.7009(12), Al(1)–H(1) 1.505(18), Al(1)–H(2) 1.547(17), N(2)–Al(1)–N(1) 106.61(4), H(1)–Al(1)–H(2) 112.6(9), P(2)–C(1)–P(1) 125.60(7).
Figure 4. Molecular structures of [HLAlH2] 3 (30% thermal ellipsoids). Only the AlH and methanide H atoms are shown. Selected bond lengths (Å) and angles (°): Al(1)–N(2) 1.9022(12), Al(1)–N(1) 1.9118(11), P(1)–N(1) 1.6372(11), P(2)–N(2) 1.6426(10), P(1)–C(1) 1.7125(12), C(1)–P(2) 1.7009(12), Al(1)–H(1) 1.505(18), Al(1)–H(2) 1.547(17), N(2)–Al(1)–N(1) 106.61(4), H(1)–Al(1)–H(2) 112.6(9), P(2)–C(1)–P(1) 125.60(7).
Inorganics 05 00029 g004
Scheme 3. Reactivity of Complex 2.
Scheme 3. Reactivity of Complex 2.
Inorganics 05 00029 sch003

Share and Cite

MDPI and ACS Style

Sindlinger, C.P.; Lawrence, S.R.; Cordes, D.B.; Slawin, A.M.Z.; Stasch, A. Methanediide Formation via Hydrogen Elimination in Magnesium versus Aluminium Hydride Complexes of a Sterically Demanding Bis(iminophosphoranyl)methanediide. Inorganics 2017, 5, 29. https://doi.org/10.3390/inorganics5020029

AMA Style

Sindlinger CP, Lawrence SR, Cordes DB, Slawin AMZ, Stasch A. Methanediide Formation via Hydrogen Elimination in Magnesium versus Aluminium Hydride Complexes of a Sterically Demanding Bis(iminophosphoranyl)methanediide. Inorganics. 2017; 5(2):29. https://doi.org/10.3390/inorganics5020029

Chicago/Turabian Style

Sindlinger, Christian P., Samuel R. Lawrence, David B. Cordes, Alexandra M. Z. Slawin, and Andreas Stasch. 2017. "Methanediide Formation via Hydrogen Elimination in Magnesium versus Aluminium Hydride Complexes of a Sterically Demanding Bis(iminophosphoranyl)methanediide" Inorganics 5, no. 2: 29. https://doi.org/10.3390/inorganics5020029

APA Style

Sindlinger, C. P., Lawrence, S. R., Cordes, D. B., Slawin, A. M. Z., & Stasch, A. (2017). Methanediide Formation via Hydrogen Elimination in Magnesium versus Aluminium Hydride Complexes of a Sterically Demanding Bis(iminophosphoranyl)methanediide. Inorganics, 5(2), 29. https://doi.org/10.3390/inorganics5020029

Note that from the first issue of 2016, this journal uses article numbers instead of page numbers. See further details here.

Article Metrics

Back to TopTop