Preparation and Cycling Performance of Iron or Iron Oxide Containing Amorphous Al-Li Alloys as Electrodes
Abstract
:1. Introduction
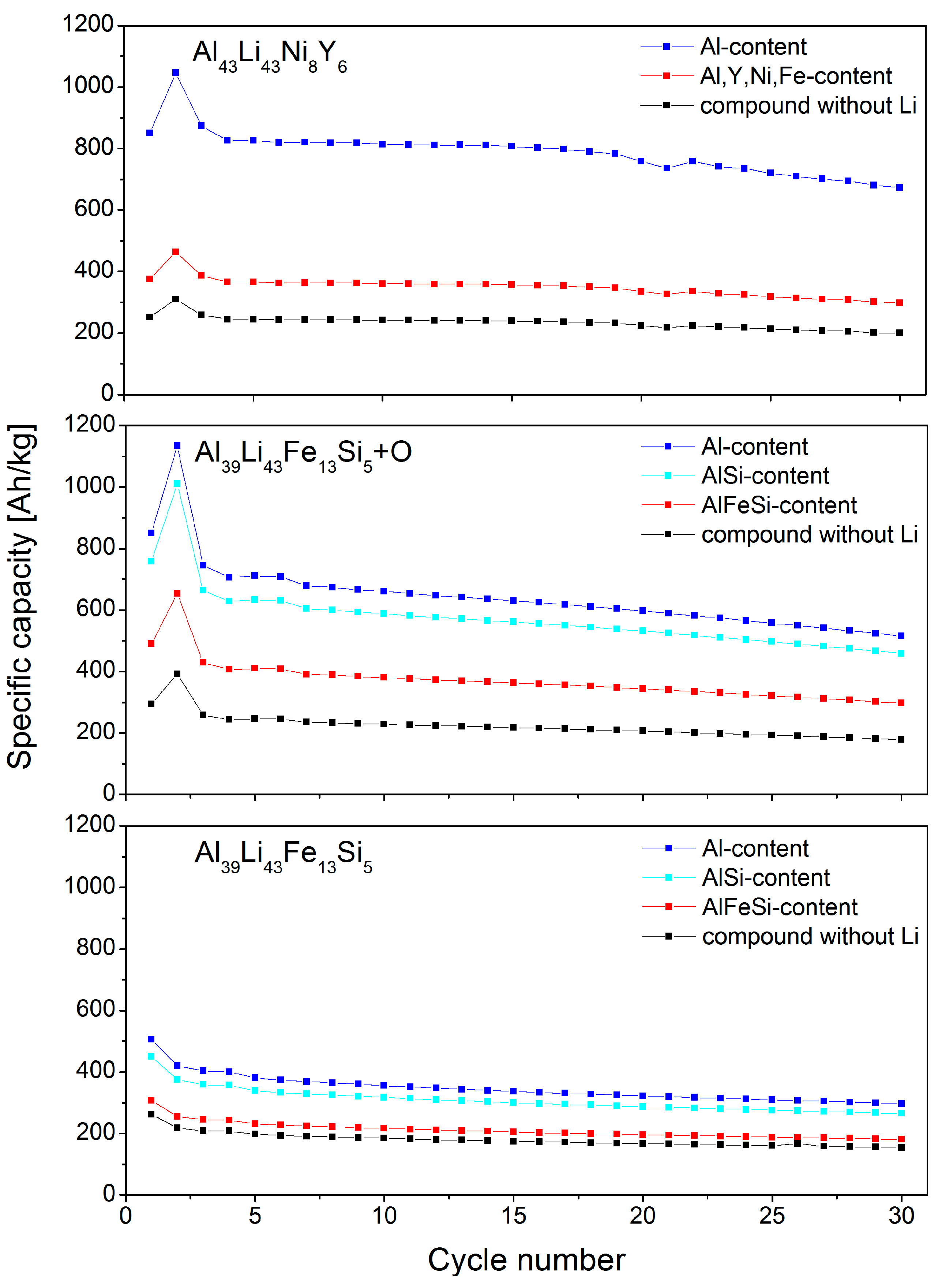
2. Results and Discussion


| Sample name | Al | Li | Ni | Y | Fe | Si | N/O** |
|---|---|---|---|---|---|---|---|
| Al43Li43Ni8Y6* | 21 | 26 | 4 | 2 | 6 | 41 | |
| Al39Li43Fe13Si5 | 33 | 34 | 8 | 4 | 17 | ||
| Al39Li43Fe13Si5+O | 22 | 26 | 4 | 2 | 46 |



3. Experimental Section
4. Conclusions
Acknowledgments
Author Contributions
Appendix

Conflicts of Interest
References
- Thoss, F.; Giebeler, L.; Oswald, S.; Ehrenberg, H.; Eckert, J. Study on the reversible Li-insertion of amorphous and partially crystalline Al86Ni8La6 and Al86Ni8Y6 alloys as anode materials for Li-ion batteries. Electrochim. Acta 2012, 60, 85–94. [Google Scholar]
- Thoss, F.; Giebeler, L.; Thomas, J.; Oswald, S.; Potzger, K.; Reuther, H.; Ehrenberg, H.; Eckert, J. Amorphous Li-Al-based compounds: A novel approach for designing high performance electrode materials for Li-Ion batteries. Inorganics 2013, 1, 14–31. [Google Scholar] [CrossRef]
- Suzuki, R.O.; Komatsu, Y.; Kobayashi, K.F.; Shingu, P.H. Formation and crystallization of Al-Fe-Si amorphous alloys. J. Mater. Sci. 1983, 18, 1195–1201. [Google Scholar] [CrossRef]
- Dini, K.; Dunlap, R.A. The relationship of the quasicrystalline icosahedral phase to the amorphous structure in rapidly quenched Al-Mn-Si and Al-Fe-Si alloys. J. Phys. F 1986, 16, 1917–1925. [Google Scholar] [CrossRef]
- Bendersky, L.A.; Kaufman, M.J.; Boettinger, W.J.; Biancaniello, F.S. Solidification of an amorphous phase in rapidly solidified Al-Fe-Si alloys. J. Mater. Sci. Eng. 1988, 98, 213–216. [Google Scholar] [CrossRef]
- Inoue, A.; Bizen, Y.; Kimura, H.M.; Masumoto, T. Compositional range, thermal stability, hardness and electrical resistivity of amorphous alloys in Al-Si (or Ge) transition metal systems. J. Mater. Sci. 1988, 23, 3640–3647. [Google Scholar] [CrossRef]
- Doh, C.-H.; Kalaiselvi, N.; Park, C.-W.; Jin, B.S.; Moon, S.-I.; Yun, M.-S. Synthesis and electrochemical characterization of novel high capacity Si3−xFexN4 anode for rechargeable lithium batteries. Electrochem. Commun. 2004, 6, 965–968. [Google Scholar] [CrossRef]
- Chen, Z.; Qian, J.; Ai, X.; Cao, Y.; Yang, H. Electrochemical performances of Al-based composites as anode materials for Li-ion batteries. Electrochim. Acta 2009, 54, 4118–4122. [Google Scholar] [CrossRef]
- Lindsay, M.J.; Wang, G.X.; Liu, H.K. Al-based anode materials for Li-ion batteries. J. Power Sources 2003, 119–121, 84–87. [Google Scholar]
- Fleischauer, M.D.; Obrovac, M.N.; Dahn, J.R. Simple model for the capacity of amorphous silicon-aluminum-transition metal negative electrode materials. J. Electrochem. Soc. 2006, 153, A1201–A1205. [Google Scholar] [CrossRef]
- Li, J.; Li, J.; Luo, J.; Wang, L.; He, X. Recent Advances in the LiFeO2-based Materials for Li-ion Batteries. Int. J. Electrochem. Sci. 2011, 6, 1550–1561. [Google Scholar]
- Srivastava, A.K.; Ranganathan, S. Microstructural characterization of rapidly solidified Al-Fe-Si, Al-V-Si, and Al-Fe-V-Si alloys. J. Mater. Res. 2001, 16, 2103–2117. [Google Scholar] [CrossRef]
- Schumacher, P.; Cizek, P. Heterogeneous nucleation mechanism in Al-Fe-Si amorphous alloys. Mater. Sci. Eng. A 2001, 304–306, 215–219. [Google Scholar]
- Cabana, J.; Monconduit, L.; Larcher, D.; Palacín, M.R. Beyond intercalation-based Li-ion batteries: The state of the art and challenges of electrode materials reacting through conversion reactions. Adv. Mater. 2010, 22, E170–E192. [Google Scholar] [CrossRef]
- Marom, R.; Amalraj, S.F.; Leifer, N.; Jacob, D.; Aurbach, D. A review of advanced and practical lithium battery materials. J. Mater. Chem. 2011, 21, 9938–9954. [Google Scholar] [CrossRef]
© 2014 by the authors; licensee MDPI, Basel, Switzerland. This article is an open access article distributed under the terms and conditions of the Creative Commons Attribution license (http://creativecommons.org/licenses/by/4.0/).
Share and Cite
Thoss, F.; Giebeler, L.; Weißer, K.; Feller, J.; Eckert, J. Preparation and Cycling Performance of Iron or Iron Oxide Containing Amorphous Al-Li Alloys as Electrodes. Inorganics 2014, 2, 674-682. https://doi.org/10.3390/inorganics2040674
Thoss F, Giebeler L, Weißer K, Feller J, Eckert J. Preparation and Cycling Performance of Iron or Iron Oxide Containing Amorphous Al-Li Alloys as Electrodes. Inorganics. 2014; 2(4):674-682. https://doi.org/10.3390/inorganics2040674
Chicago/Turabian StyleThoss, Franziska, Lars Giebeler, Karsten Weißer, Jörg Feller, and Jürgen Eckert. 2014. "Preparation and Cycling Performance of Iron or Iron Oxide Containing Amorphous Al-Li Alloys as Electrodes" Inorganics 2, no. 4: 674-682. https://doi.org/10.3390/inorganics2040674
APA StyleThoss, F., Giebeler, L., Weißer, K., Feller, J., & Eckert, J. (2014). Preparation and Cycling Performance of Iron or Iron Oxide Containing Amorphous Al-Li Alloys as Electrodes. Inorganics, 2(4), 674-682. https://doi.org/10.3390/inorganics2040674

