Previous Article in Journal
Accessible Thermoelectric Characterization: Development and Validation of Two Modular Room Temperature Measurement Instruments
Previous Article in Special Issue
Metal Complexes with Hydroxyflavones: A Study of Anticancer and Antimicrobial Activities
 
 
Font Type:
Arial Georgia Verdana
Font Size:
Aa Aa Aa
Line Spacing:
Column Width:
Background:
Article

Synthesis, Characterisation, DFT Study and Biological Evaluation of Complexes Derived from Transition Metal and Mixed Ligands

1
Department of Science, College of Basic Education, University of Mosul, Mosul 41002, Iraq
2
Department of New and Renewable Energy, College of Science, University of Mosul, Mosul 41002, Iraq
*
Author to whom correspondence should be addressed.
Inorganics 2025, 13(10), 334; https://doi.org/10.3390/inorganics13100334
Submission received: 2 September 2025 / Revised: 27 September 2025 / Accepted: 29 September 2025 / Published: 6 October 2025

Abstract

This research prepared and characterised novel mixed coordination complexes derived from escitalopram with eugenol and curcumin to form (L1) and (L2), respectively. The complexes were prepared via Williamson ether synthesis and analysed by FTIR, UV–Vis, 1H-NMR spectroscopy, elemental analysis, molar conductivity, and magnetic susceptibility. The results confirmed their octahedral geometries. Magnetic investigation reported high-spin configurations for Mn(II), Co(II), and Ni(II) complexes, whereas Cu(II) exhibited a distorted octahedral arrangement with characteristic d–d transitions. In addition, the calculation of Density functional theory (DFT) provided more insight into the detailed structural and electronic properties of the new ligand and its complexes. Antimicrobial compounds were evaluated against Escherichia coli, Staphylococcus aureus, and Candida albicans through the agar well diffusion method. The reported results revealed that Cobalt complexes showed antimicrobial activity followed by Copper (Cu), Nickel (Ni) and Manganese(Mn) complexes, respectively, due to an increase in Co-lipophilicity, which leads to improved diffusion through microbial cell membranes. The research findings confirmed that escitalopram-based mixed ligands coordinate with transition metals and could have significant biological applications.

1. Introduction

Recently, coordination complexes that involve biologically active ligands have been highlighted in much research due to their potential therapeutic applications. Eugenol, Escitalopram, and Curcumin have enormous interstitial medical applications, such as antidepressant, antioxidant, reducing heart diseases, anti-inflammatory, antimicrobial properties, reducing pain and anticancer factor. Furthermore, they have interesting antibacterial effects [1,2,3,4,5].
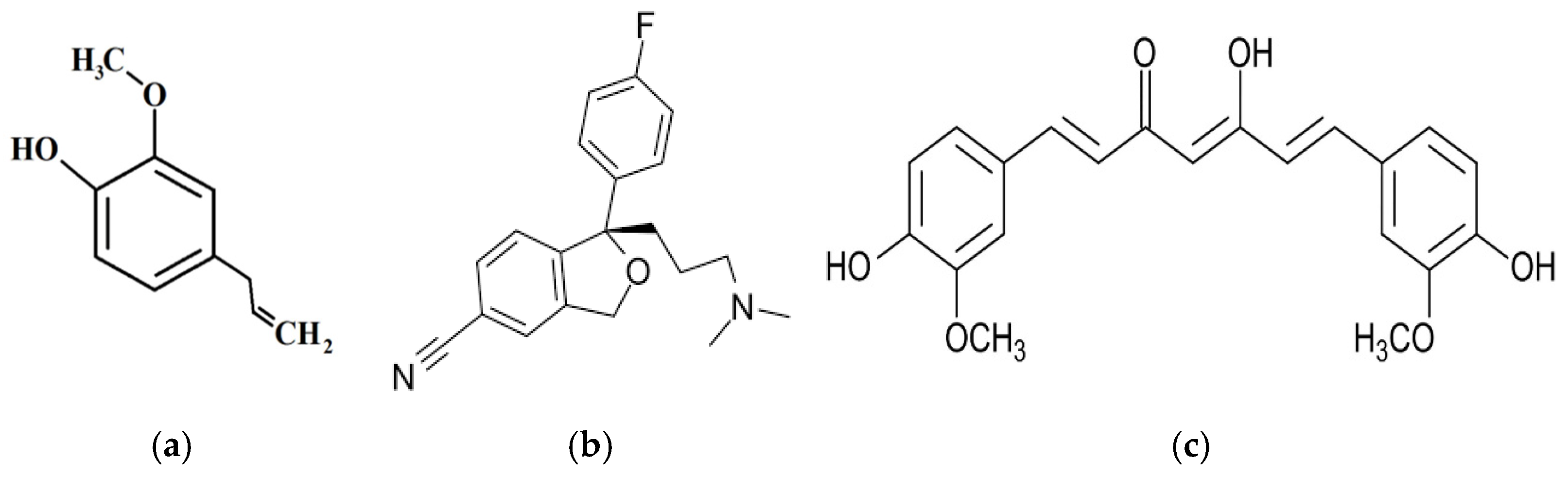
Eugenol (Eug) is a phenolic compound that has an allylchain-substituted guaiacol and belongs to the phenylpropanoid chemical compound family. It is a colourless to pale yellow oil. It is simply extracted from plant leaves. The polyphenol (eugenol) can damage the membranes of negative and positive Gram bacteria due to its antibacterial properties [6]. Eugenol is a bidentate ligand recently applied in coordination chemistry with some transition metal elements (Figure 1a). Then the resulting complexes exhibited valuable bacterial activities [7]. At the same time, escitalopram (Esc) is classified under the medical class Selective Serotonin Reuptake Inhibitor (SSRI). Its Core chemical structure has phenylbutylamine, a nitrile group and a dihydrobenzofuran ring. It can be chemically linked to form multifunctional ligands with chelating ability [8] (Figure 1b).
Finally, Curcumin (Cur) (diferuloylmethane) is a natural hydrophobic polyphenol derived from turmeric powder of Curcuma longa. It has been extensively investigated for pharmacological and biological effects. Curcumin can form strong complexes with most of the central transition metal ions through the enolic group [9] (Figure 1c).
Transition metals like Mn(II), Cu(II), Zn(II), Fe(II) and Co(II) could form a stable coordination bond with Eug, Cur and Esc through the N atom in amine or amide, O atom related to O in β-diketone moiety and/or phenolic oxygen. This new modulation of electronic properties can potentially enhance therapeutic efficacy [10]. In addition, some theoretical studies noted that these types of ligands have effective roles against advanced viruses such as COVID-19 [11], especially when these ligands can be mixed together.
To the best of our knowledge, there is no study that examines yet the effect of mixed Eug_Esc or Cur_Esc mixed ligand complexes against some types of bacteria, such as Gram-positive, which is Staphylococcus aureus type and Gram-negative, like E. coli. The mixed Eug_Esc and Cur_Esc mixed ligands were prepared via Williamson ether synthesis. The ligand and complexes were characterised by FTIR and 1HNMR spectroscopy and Uv-vis absorbance. The molar conductivity of complexes was tested in DMSO solvent. Carbon(C), hydrogen(H), nitrogen(N) and central ion quantities were also investigated. The resulting complexes showed octahedral geometry. All complexes reported very high activity towards these types of bacteria.

2. Materials and Methods

2.1. Material and Measurement Technique

All chemical compound; manganese Chloride(MnCl2·5H2O), Cobalt Chloride (CoCl2·6H2O), Nickel Chloride(NiCl2·6H2O) Copper chloride(CuCl2·2H2O), Absolute Ethanol(Etol), Dimethyl sulfoxide (DMSO), Chloroform (CCl4), Eugenol (4-Allyl-2-methoxyphenol), Escitalopram ((S)-1-[3-(Dimethylamino)propyl]-1-(4-fluorophenyl)-1,3-dihydro isobenzofuran-5-carbonitrile) and Curcumin 1E,6E)-1,7-bis (4-hydroxy-3-methoxyphenyl)-1,6-heptadiene-3,5-dione were provided either from Merck or Fluka compony (Darmstadt, Germany) without further purification.
A Fourier-transform infrared (FTIR) spectra Module 8300 Shimadzu spectrophotometer (Kyoto, Japan) was utilised to examine the prepared mixed ligands and complexes using caesium iodide discs. The transmitted absorbance of samples was measured using an Ultraviolet light-visible (Uv-vis) spectrophotometer module 1600 Shimadzu (Kyoto, Japan). in the range of (200–800 nm). To determine the melting point (MP) of the prepared complexes, a digital display MP temperature Stuart apparatus module SMP30 (Staffordshire, UK)was used. For electrical molar conductivity measurements of complexes, they were carried out at room temperature (25 °C) using a 4510–Jenway in (10–3 mol·L–1) DMF solution. Bruker Bio Spin GmbH, 400 MHz, (Rheinstetten, Germany) was used to determine 1H NMR spectra of complexes using tetramethylsilane as internal reference solvent, while the chemical shifts were quoted in δ (ppm). Atomic absorption module SensAA (Melbourne, Australia) was utilised to determine central metal ions (Mn(II), Ni(II), Co(II) and Cu(II). While the effective magnetic moments measured by MSB MK1 Sherwood (Cambridge, UK).

2.2. Preparation of the Mixed Escitalopram and Clove Oil (Eugenol) (Esc-Eug) Ligand

The cyclic (Esc-Eug) ligand was prepared through Williamson Ether Synthesis [12,13,14] by reacting 0.01 M (equivalent to 3.24 g) escitalopram with Eugenol (0.01 M (equivalent to 1.64 g). The chemical reaction was carried out in a 100 mL round-bottom flask. Chloroform was used as a solvent in a basic medium (commonly using bases like NaOH or K2CO3). The chemical mixture was then refluxed for 8 h under continuous stirring to ensure the reaction completion and ether formation. At the end of refluxing, the resulting precipitate was then filtered, washed, and dried thoroughly. And recrystallised with ethanol to purify the product. Scheme 1 shows the chemical mechanism of cyclic ether formation.

2.3. Preparation of the Mixed Escitalopram and Curcumin (Esc_Cur) Ligand

The cyclic (Esc_Cur) ligand was prepared through Williamson Ether Synthesis, similar to Section 2.2, by reacting 0.01 M (equivalent to 3.24 g) escitalopram with Curcumin (0.01 M (equivalent to 3.68 g). The final precipitate was then filtered, washed, and dried thoroughly and recrystallised with ethanol to purify the product. The Scheme 2 shows the chemistry of cyclic ether formation.

2.4. General Preparation of the Mixed Ligand-Transition Metal Complexes

Solutions of the metal chlorides (0.01 M) like MnCl2·5H2O, CoCl2·6H2O, NiCl2·6H2O and CuCl2·2H2O were mixed with an equivalent molar amount (0.01 M) of the prepared ligand in Section 2.2 or Section 2.3 using chloroform as solvent. The reaction mixture was then refluxed for 4 h to ensure the formation of transition metal complexes. At the end of refluxing, the formed precipitates were then collected by drying and recrystallised using ethanol to obtain purified crystalline complexes.

3. Results and Discussion

3.1. Fourier Transfer Infrared Spectroscopy (FTIR)

As shown in Figure 2. The ligand (L1) exhibits peaks at (3339) cm−1 that belong to the ν(N-H) bond stretching. Other peaks at (3061, 3028) are attributed to the ν(C-H) aromatic stretch. While Aliphatic ν(C-H) stretching peaks appeared at (2913, 2853, 2806) cm−1, respectively.
The Peaks at (1640, 1589, 1556) (cm−1) belong to aromatic ν(C=C) and ν(N-H) bending. ν(CH2/CH3) bending and ring stretching displayed peaks at 1496–1368 cm−1, respectively. ν(C-O-C) either vibration cited in 1318–1205 cm−1. C–N stretching and aryl–O displayed bands at 1159–1024 cm−1. Aromatic ν(C-H) out-of-plane ν(C-H) bending displayed peaks at 913–734 cm−1. A band was observed at 2227 cm−1, attributed to the ν(C≡N) stretching vibration. This band shifted lower when L1 coordinated with the central ion due to π-back-donation into the nitrile. Which π* weakens C≡N to the red shift, as seen in Table 1 [15]. Finally, the peaks below 600 cm−1 are attributed to the deformation of ring modes [9,16,17,18].
FTIR of complexes [M(L1)Cl]Cl, where M can represent Mn(II), Ni(II), Cu(II) and Co(II) as central coordination ions, showed successful metal ion coordination. [M(L1)Cl]Cl formula suggested after FTIR and HNMR, and conductivity study as explained in Section 3.1, Section 3.2 and Section 3.3. For more details, in complexes [X(L1)Cl]Cl, slightly new bands appear in the range of (524–601) cm−1, (412–464) cm−1 could be attributed to M-O and M-N, respectively. The strong band of ν(C=N) or ν(C=O) stretching, which is shifted to a lower value if compared to L1, suggests coordination through nitrogen or oxygen as donor atoms. The ν(N-H) bond has been shifted down when the N atom is coordinated in complexes. Thus, the new ν(N-H) appeared at a range of (3331–3338) cm−1. Finally, in all [M(L1)Cl] complexes appeared bands (2905–2918) cm−1 and (2995–3007) cm−1, corresponding to ν(C-H) aromatic and aliphatic [18,19].
In a similar pattern, L2 displayed bands as plotted in Figure 3. A broad absorption was observed at 3334 cm−1 and 3284 cm−1 corresponding to ν(N-H) and ν(O-H) stretching vibrations, respectively. The bands at 3010 cm−1 and 2918 cm−1 are attributed to aromatic and aliphatic ν(C-H) stretches. The peaks at (951, 846, and 701) cm−1 are attributed to aromatic ν(C-H) vibration. The presented bands at 1515, 1466, and 1406 cm−1 confirm the ν(C=C) stretches of integrity of the aromatic backbone. Strong bands appeared at (1368, 1316, 1296, 1226, 1202, 1151, 1103, 1078, and 1005) cm−1, confirming ν(C–O–C) attributed to C–O–C stretching vibrations, which confirm formation of ether linkage through Williamson ether synthesis. The bands 951, 846, and 701 cm−1 correspond to aromatic ν(C-H) out-of-plane bend vibrations [20].
FTIR of complexes [X(L2)Cl], new bands appear in the range of (526–601) cm−1, (404–478) cm−1 correspond to M-O and M-N, respectively. ν(C=N) or ν(C=O) stretching band in complexes shifted lower wavenumber. This suggested the coordination of X central ion(II) with nitrogen or oxygen as donor atoms. It was noted also that the ν(N-H) bond has been shifted down when the N atom is coordinated in complexes. Thus, the new ν(N-H) appeared at a range of (3331–3338) cm−1. Finally, in all [X(L1)Cl]Cl complexes, bands appeared at (2905–2918) cm−1 and (2995–3007) cm−1, corresponding to ν(C-H) aromatic and aliphatic absorbance regions.
When L1 and L2 coordinate with Co(II), Ni(II), Cu(II), and Mn(II), they are commonly approved by new low-frequency bands of the IR spectrum. Weak to medium absorptions are often reported in the range (490–530) cm−1. which is corresponding to ν(M–N) stretching. These values are consistent with ligand nitrogen atoms coordination (azomethine or nitrile donors) to the metal central ions. Additional bands observed near (555–580) cm−1 are attributed to ν(M–O) stretching vibrations. It could arise from the bonding of phenolic or ether oxygen atoms to the central ions. These low-energy modes are absent in the free L1 and L2. They appeared only after coordination, confirming the formation of true chelate structures. The values are in high agreement with other reports for octahedral M(II) Schiff base and nitrile complexes. When ν(M–N) typically sited at (450–530) cm−1 and ν(M–O) at (520–600) cm−1 [21,22].

3.2. 1H-NMR Spectra of L1 and L2

Figure 4 shows 1H-NMR of L1; as seen, the shifted peak at δ 8.05–6.78 ppm (m, ~12H) is attributed to aromatic protons that are related to naphthoxy and phenoxy moieties; (naphthyl ring can appear at δ 7.8–8.1, and phenoxy/anisole resonances can show peaks near δ 7.5 and 6.8. While allyl fragment can be observed at δ 5.9–5.1 region: δ 5.86 (m, 1H, CH=), δ 5.25 (d, J = 17 Hz, 1H, =CH2 trans), and δ 5.12 (d, J = 10 Hz, 1H, =CH2 cis). The diarylmethyl methine displayed peaks at δ 5.45 (d, J ≈ 6 Hz, 1H), consistent with coupling to the adjacent methylene. In addition, benzylic methylene can be sited near the allyl group to obtain peaks at δ 3.32 (s, 2H). Ether linkages observed at δ 4.25 (t, J ≈ 6.8 Hz, 2H, Ph–O–CH2–) and δ 4.12 (t, J ≈ 6.8 Hz, 2H, Nap–O–CH2–). A sharp singlet peak reported at δ 3.78 (s, 3H) belongs to O–CH3. The dimethylamino arm observed as δ 2.85 (t, J ≈ 6.8 Hz, 2H, –CH2–NMe2) and δ 2.75 (t, J ≈ 6.8 Hz, 2H, –CH2– between O and N), with the terminal NMe2 methyls at δ 2.30 (s, 6H). No phenolic OH is detected (no broad signal at ~δ 4.5–5.0), consistent with etherification of the parent eugenol unit. In 1HNMR Summary was δ 8.05–6.78 (m, ~12H, Ar–H); 5.86 (m, 1H, CH= of allyl); 5.25 (d, J = 17 Hz, 1H, =CH2 trans); 5.12 (d, J = 10 Hz, 1H, =CH2 cis); 5.45 (d, J ≈ 6 Hz, 1H, diarylmethyl CH); 4.25 (t, J ≈ 6.8 Hz, 2H, Ph–O–CH2–); 4.12 (t, J ≈ 6.8 Hz, 2H, Nap–O–CH2–); 3.78 (s, 3H, O–CH3); 3.32 (s, 2H, benzylic CH2 to allyl); 2.85 (t, J ≈ 6.8 Hz, 2H, –CH2–NMe2); 2.75 (t, J ≈ 6.8 Hz, 2H, –CH2– between O and N); 2.30 (s, 6H, NMe2. The absence of a broad singlet at ~4.5–5.0 ppm supports successful etherification and deprotonation of eugenol –OH [23,24].
While Figure 5 shows the 1H NMR spectrum of L2. The Phenolic OH peaks showed Distinct peaks, singlets s at δ 10.20 and 9.80 ppm (1H each), attributed to free two aromatic. Aromatic region at (δ 8.05–6.70 ppm with ~18–20 protons covers the naphthoxy, phenoxy, and anisole aromatic rings. However, the most deshielded protons near δ 8.0 ppm arise from peri-protons of the naphthyl fragment; other aromatic signals appear in the range of δ 7.6–6.7 ppm. Diarylmethyl CH: A showed a small doublet at δ 5.42 (J ≈ 6 Hz, 1H), belonging to the central benzylic methine linking the two aryl fragments. Ether linkages: Two nonequivalent –OCH2– groups appear as triplets at δ 4.20 and 4.05 (J ≈ 6.8 Hz, 2H each), reflecting as two sharp singlets at δ 3.80 and 3.76 (3H each) are assigned to anisole O–CH3 groups. The methylene was sites next to nitrogen resonates at δ 2.90 (t, J ≈ 6.8 Hz, 2H), while the terminal NMe2 methyls appear as a singlet at δ 2.28 (6H). The δ 10.20 (s, 1H, OH); 9.80 (s, 1H, OH); 8.05–6.70 (m, ~18–20H, Ar–H); 5.42 (d, J ≈ 6 Hz, 1H, diarylmethyl CH); 4.20 (t, J ≈ 6.8 Hz, 2H, O–CH2–); 4.05 (t, J ≈ 6.8 Hz, 2H, O–CH2–); 3.80 (s, 3H, O–CH3); 3.76 (s, 3H, O–CH3); 2.90 (t, J ≈ 6.8 Hz, 2H, –CH2–N); 2.28 (s, 6H, NMe2). The clear presence of phenolic OH signals and sharp methoxy/dimethylamino resonances differentiates L2 from L1, where etherification eliminates OH peaks and modifies the side-chain environment [24,25].

3.3. Molar Conductivity, (d-d) Spectrum and Expected Geometry of the Prepared [M(L1)Cl]Cl and [M(L2)Cl] Complexes

Table 2 displayed some highlighted physical properties such as molar conductivity of their complexes measurement that carried out at (1 × 10−3) M in Dimethyl sulfoxide (DMSO) solvent, colour, melting point (M.P), effective magnetic moment in Bohr magnetons (B.M) and found (calculated CHN and/or M) quantitative analysis values of [M(L1)Cl]Cl and of [M(L2)Cl] complexes. As seen, all L1-coordination complexes exhibit conductivity in the range of (22–32) Ω−1 cm2·mol−1, revealing 1:1 electrolytic behaviour. This indicates the prepared complexes are partially dissociating in DMSO solvent to result in mono-cationic complex species and free anion. At the same time, L2 complexes showed non-conductive activity.
As seen, all L1-coordination complexes exhibit conductivity in the range of (22–32) Ω−1 cm2·mol−1, revealing 1:1 electrolytic behaviour. This indicates the prepared complexes are partially dissociating in DMSO solvent to result in mono-cationic complex species and free anion, while L2 complexes showed non-conductive activity.
The magnetic moment of both Ni(II) complexes [Ni(L1)Cl] and [Ni(L2)Cl] reported (3.31–3.38) (B.M) indicated an octahedral geometry (high spin) with electron configuration of 3d8. This electron configuration can be split into t2g6eg2 with 2 unpaired electrons. Thus, the expected (d-d) spectra of Ni(II) d8 high spin can show three allowed spins from the (3A2g) as the ground state term. The allowed-spin are (3A2g → 3T2g) cm−1, (3A2g → 3T1g(F)) and 3A2g → 3T1g(P). They often cited at region (~9000–10,500), (~14,300–15,400) and (~20,000–22,500) cm−1, respectively. Consistently, in practical experiment d-d spectra of Ni(II) d8 high-spin showed three main regions at (9225–9615), (14,477–15,025) and (21,045–22,300) cm−1
In a similar pattern, [Co(L1)Cl]Cl and [Co(L2)Cl] complexes exhibit a magnetic moment of (4.61–5.10) (B.M). They also indicated an octahedral geometry (high spin) with an electron configuration of 3d7. Their electron configuration can be split to t2g5eg2 with 3 unpaired electrons. (d-d) spectra of Co(II) d7 high spin has three allowed-spin 4T1g(F)4T2g(F), 4T1g(F)4A2g(F) and 4T1g(F)4T1g(P) at regions (~8000–9000), (~16,000–18,000) and (~19,000–22,000) cm−1, respectively. Practically, regions of allowed the spin of Co(II) d7 recorded at (8220–9924), 16,220–17,564) and (19,893–21,636,363) cm−1.
[Mn(L1)Cl] and [Mn(L2)Cl] complexes showed a magnetic moment (5.91–5.94) B.M. They expected to have d5 splitting to t2g3eg2 with 5 unpaired electrons. While the (d-d) spectrum of prepared Mn(II) complexes assigned weak (d–d) absorbed bands at (20,800–24,200) and (15,380–17,210) cm−1. These bands attributed to 6A1g → 4T1g(G) and 6A1g → 4T2g(G). These results are consistent with previous spectral data reported for octahedral (high-spin) Mn(II) complexes. The weak d-d absorption corresponded to the forbidden-spin nature of these transition bands, due to vibronic coupling and spin–orbit interaction. That confirms the octahedral high-spin configuration of Mn(II).
Finally, (d-d) transition spectrum of [Cu(L1)Cl]Cl and [Cu(L2)Cl] d9 (t2g6eg3) showed weak and broad bands in the range (12,600–16,870) cm−1. In spite of its d-d transition allowed-spin 2Eg→2T1g, the band was weak and broad. This is attributed to LaPorte’s centrosymmetric field of [Cu(L)Cl]. As well as the electrons-vibronic coupling.
From all previous investigations, the suggested scheme formula structure of complexes of [ML1)Cl]Cl and [ML2)Cl] are shown in Figure 6a and Figure 6b, respectively.
The successful synthesis of [M(L1)Cl] and b [M(L2)Cl] complexes was confirmed through FTIR and 1H NMR spectroscopy. FTIR spectra of metal–ligand bands were confirmed in the range of 420–550 cm−1. ν(N-H) and ν(C=O) stretches were shifted down due to the coordination bond forming of (M--N) and (M--O), respectively. At the same time, 1H NMR showed ether formation as well as aromatic and aliphatic protons in the 6.8–7.1 ppm range. This is a complex method procedure. It is opening pathways for developing metal-based therapeutic candidates with dual bioactivity.

3.4. Antimicrobial Activities of [M(L1)Cl] and [M(L2)Cl] Complexes

The antimicrobial activities of prepared complexes [M(L1)Cl], [M(L2)Cl] and free ligand were investigated vs. Escherichia coli (St = 24), Staphylococcus aureus, and Candida albicans (St = 21) using agar well diffusion method at a range concentrations of (100, 50, 25, and 12.5) mg/mL. The results can be seen in Table 3.
Copper complexes [Cu(L1or2)Cl] at 100 mg/mL exhibited a moderate activity against E. coli, with inhibition zones of 17.5 mm, higher activity against S. aureus in 23 mm against and lower activity against C. albicans. However, the activity decreased with a decrease in complex concentration. [Ni(L1or2)Cl] and [Mg(L1or2)Cl] exhibit negligible to non-activity behaviour against the tested microorganisms.
Copper complexes [Cu(L1or2)Cl] at 100 mg/mL exhibited a moderate activity against E. coli, with inhibition zones of 17.5 mm, higher activity against S. aureus in 23 mm against and lower activity against C. albicans. However, the activity decreased with a decrease in complex concentration. [Ni(L1or2)Cl] and [Mg(L1or2)Cl] exhibit negligible to non-activity behaviour against the tested microorganisms.
In contrast, Cobalt complexes [Co(L1)Cl] demonstrated broad-spectrum activity at 100 mg/mL, reaching up to (32.5–31.5) mm vs. S. aureus, (26.1–25) mm vs. C. albicans and (17.5–18.5) mm vs. E. coli, showing superior antimicrobial behaviour among other complexes. In a similar pattern of Cu-complexes, the activity became less at lower Co-complex conc. Finally, the ligands L1 and L2 exhibit weak to acceptable inhibition at higher concentrations.
Overall, Co(II) complexes demonstrated the highest antimicrobial activity, potentially due to an increase in lipophilicity and an improvement of diffusion via microbial cell membranes upon Co-coordination, as shown in Figure 7.

3.5. Density Functional Theory (DFT)

At times, the lack of a crystal structure necessitated computer investigations to gain a better understanding of the molecular structures of the complexes. The GW9 Gaussian 16 program was utilised to conduct geometric optimisations. The structures of the investigated compounds were optimised at the B3LYP/6-311G(d,p) level, as applied in the Gaussian 09W software (version number A.02) [26]. The GaussView 6 package was used to draw the primary structures and visually display the results. The computational optimisation was performed in the gas phase at the ground state. DFT calculations were employed to determine the 3D optimised structures of the compounds, as shown in Figure 9, as well as to analyse the HOMO-LUMO diagram, as shown in Figure 10 and Figure 11. These describe the ultimate electron transfer interactions within the chemical compound, including electronegativity (χ), chemical potential (μ), global hardness (η), global softness (S), and the global electrophilicity index (ω) [27,28], which are listed in Table 4.

DFT Calculations

The synthesised complexes were optimised using the density functional theory (DFT) method with the 6–31G (d, p) basis set at the B3LYP level in a DMSO medium. The HOMO and LUMO, along with their energy gap, of some synthesised complexes are illustrated in Figure 8 and listed in Table 3. The B3LYP/6-311G(d,p) module type was used to theoretically create the geometric structures of compounds as seen in Figure 9. Chemical descriptors such as hardness and softness, derived from these energies, provide insight into reactivity. Figure 9 and Figure 10 display the molecular orbital structure of ligands and their Mn(II) and Co(II) complexes, illustrating the significance of the HOMO and LUMO in electron donation and acceptance. The energy gap between these orbitals influences the molecule’s stability and reactivity, with smaller gaps indicating higher polarizability and larger gaps indicating greater stability but lower reactivity. Parameters like electrophilicity (ω) and hardness (η) further evaluate stability and reactivity [29]. The high electrophilicity value of Co(II) complexes suggests strong biological activity. Molecular stability and reactivity can be inferred from the calculations of both absolute softness (σ) and absolute hardness (η) parameters. Additional parameters such as global electrophilicity (ω), global softness (S), electrophilicity index (χ), and chemical potential (μ) have been calculated using HOMO and LUMO energies [30]. The high electrophilicity value of Co(II) complexes suggests strong biological activity. Molecular stability and reactivity can be inferred from the calculations of both absolute softness (σ) and absolute hardness (η) parameters. Additional parameters such as global electrophilicity (ω), global softness (S), electrophilicity index (χ), and chemical potential (μ) have been calculated using HOMO and LUMO energies [31], as previously shown in Table 3. At the same time, the electronic charge (∆N max) was calculated for molecules (Table 4). The high ω value of two Co(II) complexes indicates a strong potential for biological activity, which is further confirmed by the experimental data.
The minimum electrophilicity theory can be used to estimate the reactivity of the ligand and metal complexes. According to the theory of minimum electrophilicity (ω), compounds with the lowest electrophilicity exhibit the highest stability [31,32], as previously shown in Table 4.
Figure 8. HOMO and LUMO orbitals of the synthesised ligands.
Figure 8. HOMO and LUMO orbitals of the synthesised ligands.
Inorganics 13 00334 g008
Figure 9. Optimized geometry of some synthesized L1 and L2-Coordination compounds.
Figure 9. Optimized geometry of some synthesized L1 and L2-Coordination compounds.
Inorganics 13 00334 g009
Figure 10. HOMO and LUMO orbitals of some synthesised complexes Mn(II) and Co(II) through L1.
Figure 10. HOMO and LUMO orbitals of some synthesised complexes Mn(II) and Co(II) through L1.
Inorganics 13 00334 g010
Figure 11. HOMO and LUMO orbitals of some synthesised complexes Mn(II) and Co(II) through L2.
Figure 11. HOMO and LUMO orbitals of some synthesised complexes Mn(II) and Co(II) through L2.
Inorganics 13 00334 g011

4. Conclusions

Biological mixed ligands based on escitalopram–eugenol and escitalopram–curcumin were prepared, coordinated with transition metal ions and characterised successfully. The coordination Mn(II), Cu(II), Zn(II), Fe(II), and Co(II) complexes showed predominantly octahedral geometries. The stable coordination occurs through oxygen and nitrogen as donor sites. The magnetic measurement exhibits high-spin states for Mn(II), Co(II), and Ni(II) complexes. This is consistent with their electronic configurations, while Cu(II) complexes showed distorted octahedral geometry with broad d–d bands. Biological investigation demonstrated that cobalt(II) complexes have promising antimicrobial activity, which enhances their potential as therapeutic agents. DFT reported results provide additional structural information with minimised energy confirmation. It is also revealed to be a strong foundation for future investigations into the pharmacological applications. Further investigations are recommended, including in vivo practical experiments and comprehensive biological scanning, to confirm their therapeutic potential or their clinical applicability.

Author Contributions

Conceptualisation, E.H.M.; methodology, and software, E.R.M.; validation and formal analysis, E.M.Y.; investigation, resources, data curation, and writing—original draft preparation, M.A.; writing—reviewing and editing, E.H.M.; supervision, E.M.Y.; project administration, E.R.M. All authors have read and agreed to the published version of the manuscript.

Funding

This research received no external funding.

Informed Consent Statement

Not applicable.

Data Availability Statement

The original contributions presented in this study are included in the article. Further inquiries can be directed to the corresponding author.

Acknowledgments

We would like to thank the University of Mosul for its support.

Conflicts of Interest

The authors declare no conflicts of interest.

References

  1. Banerjee, S.; Chakravarty, A.R. Metal Complexes of Curcumin for Cellular Imaging, Targeting, and Photoinduced Anticancer Activity. Acc. Chem. Res. 2015, 48, 2075–2083. [Google Scholar] [CrossRef]
  2. Sarkar, T.; Bera, A.; Upadhyay, A.; Jain, N.; Are, V.; Eedara, A.; Prakashchandra, R.D.; Panneerselvam, S.; Nanubolu, J.B.; Andugulapati, S.B.; et al. Photostable Mn(II) Complex of Curcumin for Effective Photodynamic Therapy and Precise Three-Dimensional In Vivo Tumor Imaging. ACS Appl. Mater. Interfaces 2025, 17, 13660–13675. [Google Scholar] [CrossRef]
  3. Coelho, J.R.A.; Pacheco, A.R.F.; Domingues, D.C.; Rodrigues, A.R.O.; Temitope, A.A.; Coutinho, P.J.G.; Fernandes, M.J.G.; Castanheira, E.M.S.; Gonçalves, M.S.T. New Cation Sensors Based on Eugenol-Derived Azo Dyes. Molecules 2025, 30, 2788. [Google Scholar] [CrossRef]
  4. Al-Noor, T.H.; Mohapatra, R.K.; Azam, M.; Karem, L.K.A.; Mohapatra, P.K.; Ibrahim, A.A.; Parhi, P.K.; Dash, G.C.; El-Ajaily, M.M.; Al-Resayes, S.I.; et al. Mixed-ligand complexes of ampicillin derived Schiff base ligand and Nicotinamide: Synthesis, physico-chemical studies, DFT calculation, antibacterial study and molecular docking analysis. J. Mol. Struct. 2021, 1229, 129832. [Google Scholar] [CrossRef]
  5. Albotani, A.S.; Mohammed, E.R.; Al-Dulaimi, M.S.; Saied, S.M.; Saleh, M.Y. Synthesis, Characterization, In Silico Screening for Molecular Docking and Computational Exploration of Some Novel Metal Complexes Derived from Ampicillin-Isatine Schiff Bases. New Mater. Compd. Appl. 2025, 9, 109–122. [Google Scholar] [CrossRef]
  6. Kowalewska, A.; Majewska-Smolarek, K. Eugenol-Based Polymeric Materials—Antibacterial Activity and Applications. Antibiotics 2023, 12, 1570. [Google Scholar] [CrossRef]
  7. Fujisawa, S.; Murakami, Y. Eugenol and its role in chronic diseases. In Drug Discovery from Mother Nature; Gupta, S.C., Prasad, S., Aggarwal, B.B., Eds.; Springer International Publishing: Cham, Switzerland, 2016; pp. 45–66. [Google Scholar]
  8. Kanwal, A.; Afzal, U.; Zubair, M.; Imran, M.; Rasool, N. Synthesis of anti-depressant molecules via metal-catalyzed reactions: A review. RSC Adv. 2024, 14, 6948–6971. [Google Scholar] [CrossRef] [PubMed]
  9. Refat, M.S. Synthesis and characterization of ligational behavior of curcumin drug towards some transition metal ions: Chelation effect on their thermal stability and biological activity. Spectrochim. Acta Part A Mol. Biomol. Spectrosc. 2013, 105, 326–337. [Google Scholar] [CrossRef]
  10. Prasad, S.; DuBourdieu, D.; Srivastava, A.; Kumar, P.; Lall, R. Metal-Curcumin Complexes in Therapeutics: An Approach to Enhance Pharmacological Effects of Curcumin. Int. J. Mol. Sci. 2021, 22, 7094. [Google Scholar] [CrossRef] [PubMed]
  11. Dhar, S.; Bhattacharjee, P. Promising role of curcumin against viral diseases emphasizing COVID-19 management: A review on the mechanistic insights with reference to host-pathogen interaction and immunomodulation. J. Funct. Foods 2021, 82, 104503. [Google Scholar] [CrossRef]
  12. Parikh, A.; Parikh, H.; Parikh, K. (Eds.) Williamson Ether Synthesis. In Name Reactions in Organic Synthesis; Foundation Books: New Delhi, India, 2006; pp. 430–434. [Google Scholar]
  13. Lu, K.-Q.; Li, Y.-H.; Tang, Z.-R.; Xu, Y.-J. Roles of Graphene Oxide in Heterogeneous Photocatalysis. ACS Mater. Au 2021, 1, 37–54. [Google Scholar] [CrossRef] [PubMed]
  14. Baranová, Z.; Amini, H.; Neupane, M.; Garrett, S.C.; Ehnbom, A.; Bhuvanesh, N.; Reibenspies, J.H.; Gladysz, J.A. Syntheses, Structural Studies, and Copper Iodide Complexes of Macrocycles Derived from Williamson Ether Syntheses Involving 2, 9-Bis (4-hydroxyphenyl)-1, 10-phenanthroline, α, ω-Dibromides, and Resorcinol or 2, 7-Dihydroxynaphthalene. Aust. J. Chem. 2016, 70, 373–386. [Google Scholar] [CrossRef]
  15. Bresciani, G.; Biancalana, L.; Pampaloni, G.; Zacchini, S.; Ciancaleoni, G.; Marchetti, F. A comprehensive analysis of the metal–nitrile bonding in an organo-diiron system. Molecules 2021, 26, 7088. [Google Scholar] [CrossRef] [PubMed]
  16. Wong, K.C. Review of Spectrometric Identification of Organic Compounds, 8th edition. J. Chem. Educ. 2015, 92, 1602–1603. [Google Scholar] [CrossRef]
  17. Călinescu, M.; Fiastru, M.; Bala, D.; Mihailciuc, C.; Negreanu-Pîrjol, T.; Jurcă, B. Synthesis, characterization, electrochemical behavior and antioxidant activity of new copper(II) coordination compounds with curcumin derivatives. J. Saudi Chem. Soc. 2019, 23, 817–827. [Google Scholar] [CrossRef]
  18. Malik, S.; Mondal, U.; Jana, N.C.; Banerjee, P.; Saha, A. Using eugenol scaffold to explore the explosive sensing properties of Cd(ii)-based coordination polymers: Experimental studies and real sample analysis. Dalton Trans. 2024, 53, 12995–13011. [Google Scholar] [CrossRef]
  19. Kumar, A.; Singh, B. Synthesis and Characterization of Transition Metal Complexes along with their Antibacterial Activities. Int. J. Curr. Eng. Technol. 2014, 4, 1950–1954. [Google Scholar]
  20. Mohammed, E.H.; AlSultan, M.; Alasalli, S.M.; Sabah, A.A. Syntheses, Characterization and Thermal Stability Study of New Co (II), Cu (II) AND Zn (II) Complexes Deviates from Schiff Base 4-(Dimethylamino) Benzaldehyde. Kim. Probl. 2025, 23, 395–406. [Google Scholar] [CrossRef]
  21. Abdulkarem, A.A. Synthesis and antibacterial studies of metal complexes of Cu (II), Ni (II) and Co (II) with tetradentate ligand. J. Biophys. Chem. 2017, 8, 13. [Google Scholar] [CrossRef]
  22. Kumar, S.; Dhar, D.N.; Saxena, P.N. Applications of metal complexes of Schiff bases—A review. J. Sci. Ind. Res. 2009, 68, 181–187. [Google Scholar]
  23. Wang, X.-q.; He, M.-h.; Wang, Q. Synthesis of Escitalopram Oxalate. Chin. Pharm. J. 2009, 44, 1429–1431. [Google Scholar]
  24. Tahay, P.; Parsa, Z.; Zamani, P.; Safari, N. A structural and optical study of curcumin and curcumin analogs. J. Iran. Chem. Soc. 2022, 19, 3177–3188. [Google Scholar] [CrossRef]
  25. Poorghorban, M.; Karoyo, A.H.; Grochulski, P.; Verrall, R.E.; Wilson, L.D.; Badea, I. A 1H NMR Study of Host/Guest Supramolecular Complexes of a Curcumin Analogue with β-Cyclodextrin and a β-Cyclodextrin-Conjugated Gemini Surfactant. Mol. Pharm. 2015, 12, 2993–3006. [Google Scholar] [CrossRef]
  26. Ibrahim, F.; Hammza, R.; Fadhil, D. Synthesis and characterization of Trimethoprim metal complexes used as corrosion inhibitors for carbon steel in acid media. Int. J. Corros. Scale Inhib. 2019, 8, 733–742. [Google Scholar] [CrossRef]
  27. Mustafa, N.A.; Ahmed, S.A. Design, synthesis, characterization, DFT, molecular docking, and in vitro screening of metal chelates incorporating Schiff base. Bull. Chem. Soc. Ethiop. 2024, 38, 1625–1638. [Google Scholar] [CrossRef]
  28. Mohammed, B.A.-K.; Ahmed, S.A.; Al-Healy, F. Design, characterizations, DFT, molecular docking and antibacterial studies of some complexes derived from 4-aminpantipyrine with glycine amino acid and ligand. Bull. Chem. Soc. Ethiop. 2024, 38, 1609–1624. [Google Scholar] [CrossRef]
  29. Al Quaba, R.A. Synthesis, Characterization, DFT and Antibacterial, Azo Ligand Derived From 2-Amino pyrimidine with Antipyrine Mixed ligand Complexes involving 1,10-phenanthroline. J. Phys. Conf. Ser. 2021, 1999, 012008. [Google Scholar]
  30. Tegegn, D.F.; Belachew, H.Z.; Salau, A.O. DFT/TDDFT calculations of geometry optimization, electronic structure and spectral properties of clevudine and telbivudine for treatment of chronic hepatitis B. Sci. Rep. 2024, 14, 8146. [Google Scholar] [CrossRef]
  31. Prabakaran, A.; Maheswari, C.U.; Issaoui, N.; Al-Dossary, O.M.; Rajamani, T.; Gnanasambandan, T.; Saravanan, P.; Vimalan, M.; Manikandan, A. Computational insight into the spectroscopic and molecular docking analysis of estrogen receptor with ligand 2, 3-dimethyl-N [2-(hydroxy) benzylidene] aniline. J. King Saud Univ. Sci. 2024, 36, 103196. [Google Scholar] [CrossRef]
  32. Zhang, L.; Xie, R.; Zhao, W.; Ren, T.; Wang, Q.; Wang, W. Coumarin-Based Arylpyrazolines: Highly Selective Cu2+ Fluorescent Probes and their AIEE and MFC Properties. J. Fluoresc. 2025, 1–12. [Google Scholar] [CrossRef] [PubMed]
Figure 1. Chemical structure of (a) Eugenol, (b) Escitalopram and (c) Curcumin.
Figure 1. Chemical structure of (a) Eugenol, (b) Escitalopram and (c) Curcumin.
Inorganics 13 00334 g001
Scheme 1. Illustrated preparation of Eugenol-propyl-escitalopram ether (L1) from reacting (a) Eugenol, with (b) Escitalopram via Williamson Ether Synthesis.
Scheme 1. Illustrated preparation of Eugenol-propyl-escitalopram ether (L1) from reacting (a) Eugenol, with (b) Escitalopram via Williamson Ether Synthesis.
Inorganics 13 00334 sch001
Scheme 2. Iluustrates preparation of Esc_Curc Either conjugate (L2) from reacting (a) Eugenol, with (b) Escitalopram via Williamson Ether Synthesis.
Scheme 2. Iluustrates preparation of Esc_Curc Either conjugate (L2) from reacting (a) Eugenol, with (b) Escitalopram via Williamson Ether Synthesis.
Inorganics 13 00334 sch002
Figure 2. FTIR spectroscopy of L1. The inset table shows the interpretation of the highlighted absorbed bands.
Figure 2. FTIR spectroscopy of L1. The inset table shows the interpretation of the highlighted absorbed bands.
Inorganics 13 00334 g002
Figure 3. FTIR spectroscopy of L2. The inset table shows the interpretation of the highlighted absorbed bands.
Figure 3. FTIR spectroscopy of L2. The inset table shows the interpretation of the highlighted absorbed bands.
Inorganics 13 00334 g003
Figure 4. 1H NMR of Eugenol-propyl-escitalopram ether (L1) spectroscopy. The inset table shows the interpretation of the highlighted absorbed band.
Figure 4. 1H NMR of Eugenol-propyl-escitalopram ether (L1) spectroscopy. The inset table shows the interpretation of the highlighted absorbed band.
Inorganics 13 00334 g004
Figure 5. 1H NMR of Escitalopram_curcumin (Esc_Curr) and curcumin Either conjugate (L2) spectroscopy. The inset table shows the interpretation of the highlighted absorbed bands.
Figure 5. 1H NMR of Escitalopram_curcumin (Esc_Curr) and curcumin Either conjugate (L2) spectroscopy. The inset table shows the interpretation of the highlighted absorbed bands.
Inorganics 13 00334 g005
Figure 6. Scheme structure formula of (a) [ML1]Cl and (b) [ML2]Cl.
Figure 6. Scheme structure formula of (a) [ML1]Cl and (b) [ML2]Cl.
Inorganics 13 00334 g006
Figure 7. Antimicrobial Activity of (a) [Cu(L1)Cl]Cl and (b) [Cu(L1)Cl] at (100, 50, 25, and 12.5) mg/mL from left to right.
Figure 7. Antimicrobial Activity of (a) [Cu(L1)Cl]Cl and (b) [Cu(L1)Cl] at (100, 50, 25, and 12.5) mg/mL from left to right.
Inorganics 13 00334 g007
Table 1. Infrared Spectroscopic Data (ν/cm−1) for N–H, ν(C≡N, C=O, C–N, C–O–C, C=C, M–N, and M–O) Modes of L1, L2 and Their Metal Complexes.
Table 1. Infrared Spectroscopic Data (ν/cm−1) for N–H, ν(C≡N, C=O, C–N, C–O–C, C=C, M–N, and M–O) Modes of L1, L2 and Their Metal Complexes.
Sampleν(N–H)ν(C≡N)ν(C=O)ν(C–N)ν(C–O–C)ν(C=C) (Aryl)ν(M–N)ν(M–O)
L1333922271589136811051640
L229631642136311001642
[Co(L1)Cl]Cl29631555142111061614522553
[Ni(L1)Cl]Cl29011574137611081552463556
[Mn(L1)Cl]Cl29021505141711051663447557
[Cu(L1)Cl]Cl29951516140911031644494558
[Co(L2)Cl]333421961515141011051643491554
[Ni(L2)Cl]333322051516141911041625524565
[Mn(L2)Cl]333522121559140611061642526571
[Cu(L2)Cl]333221851509141911051636491572
Table 2. Highlighted data of Physical and analytical characterisation of L1 and L2, as well as their complex properties.
Table 2. Highlighted data of Physical and analytical characterisation of L1 and L2, as well as their complex properties.
CompoundColourYieldM.P
(°C)
Conductivity
−1 cm2·mol−1)
μeff (B.M)Found (Calc.) %
CHNM
ESCwhite-150--73.986.478.63-
CURyellow-183--68.45.42--
EUGcolourless-liquid--73.177.31--
L1yellow71%218--74.4
(73.9)
6.21
(6.6)
6.67
(6.35)
-
L2Off-white73%223--74.6
(77.9)
6.65
(6.9)
6.16
(5.8)
-
[Co(L1)Cl]Clgreen82%240 °C255.1067.84
(66.9)
5.84
(5.78)
5.45
(5.5)
11.48
(11.5)
[Ni(L1)Cl]Clgreen81%280 °C293.3167.87
(66.98)
5.85
(5.80)
5.46
(5.49)
11.44
11.00)
[Mn(L1)Cl]Clbrown88%268 °C323.98(68.36)
(67.90)
5.89
(5.77)
5.50
(5.48)
10.80
(10.35)
[Cu(L1)Cl]ClBrown75%257 °C282.8067.24
(66.89)
5.79
(5.93)
5.41
(5.22)
12.27
(12.98)
[Co(L2)Cl]Blue68%184 °C85.1065.60
(64.93)
5.33
(5.29)
3.73
(2.89)
7.85
(7.88)
[Ni(L2)Cl]green75%209 °C73.3865.62
(66.09)
5.33
(5.41)
3.73
(2.91)
7.82
(7.66)
[Mn(L2)Cl]Brown84%186 °C113.9865.95
(65.44)
5.36
(5.78)
3.75
(2.89)
7.37
(6.89)
[Cu(L2)Cl]green79%192 °C102.8065.20
(64.87)
5.30
(5.26)
3.71
(3.65)
8.41
(8.36)
Measurement that carried out at (1 × 10−3) M in Dimethyl sulfoxide (DMSO) solvent, colour, melting point (M.P), effective magnetic moment in Bohr magnetons (B.M) and found (calculated CHN and/or M) quantitative analysis values of [M(L1)Cl]Cl and of [M(L2)Cl] complexes.
Table 3. Antimicrobial activities of prepared metal complexes against Candida albicans, Staphylococcus aureus, and Escherichia coli in different concentrations expressed as inhalation zone area (St.mm).
Table 3. Antimicrobial activities of prepared metal complexes against Candida albicans, Staphylococcus aureus, and Escherichia coli in different concentrations expressed as inhalation zone area (St.mm).
ComplexesConc. mg/mLEscherichia coli
St = 24
Staphylococcus aureus
St = 25
Candida albicans
St = 21
[Cu(L1)Cl]10016.52313
5012.518.59
25R14.5R
12.5RRR
[Cu(L2)Cl]10017.52414
5013.519.510
25R15.5R
12.5RRR
[Ni(L1)Cl]10011.51515
50R12.5R
25RRR
12.5RRR
[Ni(L2)Cl]10012.51616
50R13.5R
25RRR
12.5RRR
[Mn(L1)Cl]100RRR
50RRR
25RRR
12.5RRR
[Mn(L2)Cl]100RRR
50RRR
25RRR
12.5RRR
[Co(L1)Cl]10017.532.526.1
501328.221
2510.52113
12.5R17R
[Co(L2)Cl]10019.531.525
501427.220
25112012
12.5R16R
L1100RR12.5
50RR10.5
25RRR
12.5RRR
L2100RR11.5
50RR11
25RRR
12.5RRR
Table 4. The calculated energy values of ligands and their Mn(II) and Co(II) complexes using the DFT/B3LYP method.
Table 4. The calculated energy values of ligands and their Mn(II) and Co(II) complexes using the DFT/B3LYP method.
CompoundEHOMO (eV)ELUMO (eV)ΔE (eV)µ (Debye)χ (eV)η (eV)σ (eV)ω (eV)ΔNmax
L1−5.429−1.2854.144−3.357−3.3572.0720.2412.7192.551
Mn(II)-complex−5.533−1.3604.173−3.446− 3.4462.0860.2402.8471.652
Co(II)-complex−6.130−2.3503.780−4.780−4.2401.8800.5204.7632.246
L2−5.641−1.4734.168−3.557−3.5572.0840.2403.0361.620
Mn(II)-complex−5.627−1.4604.167−3.544−3.5442.0820.2403.0131.652
Co(II)-complex−5.831−2.5473.284−4.189−4.1891.6420.3055.3431.701
I = −EHOMO; A = −ELOMO; (ΔE) = ELUMO − EHOMO; μ = −(I + A)/2; χ = (I + A/2); η = (I − A)/2; Pi = −χ; σ = 1/η; S = 1/2η; ω = Pi2/2η; ∆N max = Pi/η.
Disclaimer/Publisher’s Note: The statements, opinions and data contained in all publications are solely those of the individual author(s) and contributor(s) and not of MDPI and/or the editor(s). MDPI and/or the editor(s) disclaim responsibility for any injury to people or property resulting from any ideas, methods, instructions or products referred to in the content.

Share and Cite

MDPI and ACS Style

Mohammed, E.H.; Mohammed, E.R.; Yahya, E.M.; Alsultan, M. Synthesis, Characterisation, DFT Study and Biological Evaluation of Complexes Derived from Transition Metal and Mixed Ligands. Inorganics 2025, 13, 334. https://doi.org/10.3390/inorganics13100334

AMA Style

Mohammed EH, Mohammed ER, Yahya EM, Alsultan M. Synthesis, Characterisation, DFT Study and Biological Evaluation of Complexes Derived from Transition Metal and Mixed Ligands. Inorganics. 2025; 13(10):334. https://doi.org/10.3390/inorganics13100334

Chicago/Turabian Style

Mohammed, Enas H., Eman R. Mohammed, Eman M. Yahya, and Mohammed Alsultan. 2025. "Synthesis, Characterisation, DFT Study and Biological Evaluation of Complexes Derived from Transition Metal and Mixed Ligands" Inorganics 13, no. 10: 334. https://doi.org/10.3390/inorganics13100334

APA Style

Mohammed, E. H., Mohammed, E. R., Yahya, E. M., & Alsultan, M. (2025). Synthesis, Characterisation, DFT Study and Biological Evaluation of Complexes Derived from Transition Metal and Mixed Ligands. Inorganics, 13(10), 334. https://doi.org/10.3390/inorganics13100334

Note that from the first issue of 2016, this journal uses article numbers instead of page numbers. See further details here.

Article Metrics

Back to TopTop