Recent Advances in Metal Complexes Based on Biomimetic and Biocompatible Organic Ligands against Leishmaniasis Infections: State of the Art and Alternatives
Abstract
1. Introduction
2. Metal Complexes Used as Conventional Therapies against Leishmaniasis
2.1. Antimonial Commercial Drugs
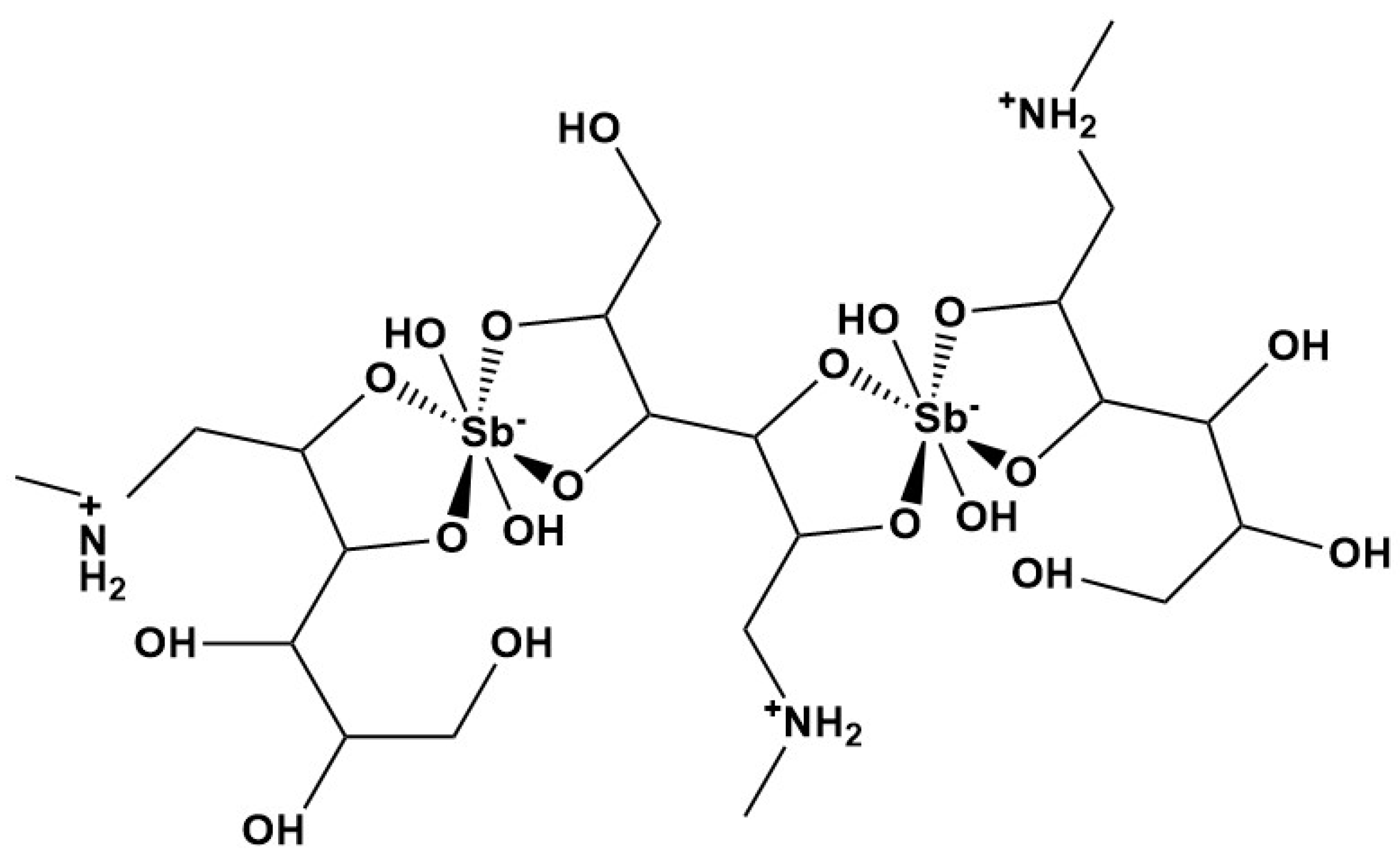
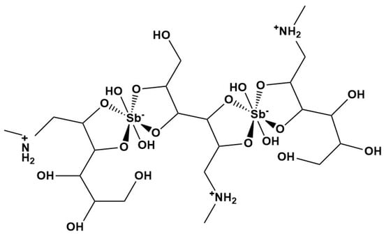
2.1.1. Meglumine Antimoniate
2.1.2. Sodium Stibogluconate
2.2. Other Commercial Drugs against Leishmania spp. and Trypanosoma cruzi
3. Biomimetic Metal Complexes against Leishmaniasis
3.1. Nucleobase Analogous Active Compounds
3.1.1. Azoles
3.1.2. Triazolopyrimidines
3.1.3. Quinolines
3.1.4. 1,10-Phenanthrolines
3.2. Metal Complexes Derived from Nucleobase Analogous Active Compounds
3.3. Commercial Drug Metal Complexes
3.4. Mechanisms of Action between Metal Complexes and Parasites
4. Alternative Use of Metals: Metallic Nanoparticles as Antiparasitic Agents
4.1. Silver Nanoparticles
4.2. Gold Nanoparticles
4.3. Copper Nanoparticles
4.4. Metal Oxide Nanoparticles
4.4.1. Copper Oxide Nanoparticles
4.4.2. Nickel Oxide Nanoparticles
4.4.3. Zinc Oxide Nanoparticles
5. Conclusions
Author Contributions
Funding
Conflicts of Interest
References
- Neglected Tropical Diseases. Available online: https://www.who.int/news-room/questions-and-answers/item/neglected-tropical-diseases (accessed on 14 April 2024).
- Hopkins, D.R. Neglected Tropical Diseases (NTDs) Slated for Elimination and Eradication. In The Causes and Impacts of Neglected Tropical and Zoonotic Diseases: Opportunities for Integrated Intervention Strategies; National Academies Press: Washington, DC, USA, 2011. [Google Scholar]
- Forgotten People, Forgotten Diseases: The Neglected Tropical Diseases and Their Impact on Global Health and Development, 3rd Edition|Wiley. Available online: https://www.wiley.com/en-es/Forgotten+People%2C+Forgotten+Diseases%3A+The+Neglected+Tropical+Diseases+and+Their+Impact+on+Global+Health+and+Development%2C+3rd+Edition-p-9781683673873 (accessed on 24 March 2024).
- Barrett, M.P.; Croft, S.L. Management of Trypanosomiasis and Leishmaniasis. Br. Med. Bull. 2012, 104, 175–196. [Google Scholar] [CrossRef] [PubMed]
- Mann, S.; Frasca, K.; Scherrer, S.; Henao-Martínez, A.F.; Newman, S.; Ramanan, P.; Suarez, J.A. A Review of Leishmaniasis: Current Knowledge and Future Directions. Curr. Trop. Med. Rep. 2021, 8, 121–132. [Google Scholar] [CrossRef] [PubMed]
- Choi, H.L.; Jain, S.; Postigo, J.A.R.; Borisch, B.; Dagne, D.A. The Global Procurement Landscape of Leishmaniasis Medicines. PLOS Neglected Trop. Dis. 2021, 15, e0009181. [Google Scholar] [CrossRef] [PubMed]
- Benallal, K.E.; Garni, R.; Harrat, Z.; Volf, P.; Dvorak, V. Phlebotomine Sand Flies (Diptera: Psychodidae) of the Maghreb Region: A Systematic Review of Distribution, Morphology, and Role in the Transmission of the Pathogens. PLOS Neglected Trop. Dis. 2022, 16, e0009952. [Google Scholar] [CrossRef] [PubMed]
- Costa-da-Silva, A.C.; Nascimento, D.d.O.; Ferreira, J.R.M.; Guimarães-Pinto, K.; Freire-de-Lima, L.; Morrot, A.; Decote-Ricardo, D.; Filardy, A.A.; Freire-de-Lima, C.G. Immune Responses in Leishmaniasis: An Overview. Trop. Med. Infect. Dis. 2022, 7, 54. [Google Scholar] [CrossRef]
- Scarpini, S.; Dondi, A.; Totaro, C.; Biagi, C.; Melchionda, F.; Zama, D.; Pierantoni, L.; Gennari, M.; Campagna, C.; Prete, A.; et al. Visceral Leishmaniasis: Epidemiology, Diagnosis, and Treatment Regimens in Different Geographical Areas with a Focus on Pediatrics. Microorganisms 2022, 10, 1887. [Google Scholar] [CrossRef] [PubMed]
- Burza, S.; Croft, S.L.; Boelaert, M. Leishmaniasis. Lancet 2018, 392, 951–970. [Google Scholar] [CrossRef] [PubMed]
- de Vries, H.J.C.; Schallig, H.D. Cutaneous Leishmaniasis: A 2022 Updated Narrative Review into Diagnosis and Management Developments. Am. J. Clin. Dermatol. 2022, 23, 823–840. [Google Scholar] [CrossRef] [PubMed]
- Bilgic-Temel, A.; Murrell, D.F.; Uzun, S. Cutaneous Leishmaniasis: A Neglected Disfiguring Disease for Women. Int. J. Women’s Dermatol. 2019, 5, 158–165. [Google Scholar] [CrossRef] [PubMed]
- David, C.V.; Craft, N. Cutaneous and Mucocutaneous Leishmaniasis. Dermatol. Ther. 2009, 22, 491–502. [Google Scholar] [CrossRef]
- Goto, H.; Lindoso, J.A.L. Current Diagnosis and Treatment of Cutaneous and Mucocutaneous Leishmaniasis. Expert Rev. Anti-Infect. Ther. 2010, 8, 419–433. [Google Scholar] [CrossRef] [PubMed]
- Bellotti, D.; Remelli, M. Deferoxamine B: A Natural, Excellent and Versatile Metal Chelator. Molecules 2021, 26, 3255. [Google Scholar] [CrossRef] [PubMed]
- Devi, R.; Singh, K.; Vaidyanathan, S. Synergy in the Energy Transfer between Ligands and EuIII Ions in Molecular Europium Complexes: Single-Component White Light-Emitting Luminogens. J. Mater. Chem. C 2020, 8, 8643–8653. [Google Scholar] [CrossRef]
- Monsur Showkot Hossain, A.; Méndez-Arriaga, J.M.; Gómez-Ruiz, S.; Xie, J.; Gregory, D.H.; Akitsu, T.; Ibragimov, A.B.; Sun, B.; Xia, C. Review on Metal Complexes with 4N-Methyl (Thiosemicarbazone). Polyhedron 2023, 244, 116576. [Google Scholar] [CrossRef]
- Zhang, H.; Qin, X.; Wang, J.; Ma, L.; Chen, T. Metal Complex Catalysts Broaden Bioorthogonal Reactions. Sci. China Chem. 2024, 67, 428–449. [Google Scholar] [CrossRef]
- Kumar, R.; Thakur, A.; Sachin; Chandra, D.; Kumar Dhiman, A.; Kumar Verma, P.; Sharma, U. Quinoline-Based Metal Complexes: Synthesis and Applications. Coord. Chem. Rev. 2024, 499, 215453. [Google Scholar] [CrossRef]
- Banasz, R.; Wałęsa-Chorab, M. Polymeric Complexes of Transition Metal Ions as Electrochromic Materials: Synthesis and Properties. Coord. Chem. Rev. 2019, 389, 1–18. [Google Scholar] [CrossRef]
- Daniel, C. Photochemistry and Photophysics of Transition Metal Complexes: Quantum Chemistry. Coord. Chem. Rev. 2015, 282–283, 19–32. [Google Scholar] [CrossRef]
- Sodhi, R.K.; Paul, S. Metal Complexes in Medicine: An Overview and Update from Drug Design Perspective. Cancer Ther. Oncol. Int. J. 2019, 14, 25–32. [Google Scholar] [CrossRef]
- Hossain, A.M.S.; Méndez-Arriaga, J.M.; Xia, C.; Xie, J.; Gómez-Ruiz, S. Metal Complexes with ONS Donor Schiff Bases. A Review. Polyhedron 2022, 217, 115692. [Google Scholar] [CrossRef]
- Singh, P.; Yadav, P.; Kaur Sodhi, K.; Tomer, A.; Bali Mehta, S. Advancement in the Synthesis of Metal Complexes with Special Emphasis on Schiff Base Ligands and Their Important Biological Aspects. Results Chem. 2024, 7, 101222. [Google Scholar] [CrossRef]
- Trudu, F.; Amato, F.; Vaňhara, P.; Pivetta, T.; Peña-Méndez, E.M.; Havel, J. Coordination Compounds in Cancer: Past, Present and Perspectives. J. Appl. Biomed. 2015, 13, 79–103. [Google Scholar] [CrossRef]
- Evans, A.; Kavanagh, K.A. Evaluation of Metal-Based Antimicrobial Compounds for the Treatment of Bacterial Pathogens. J. Med. Microbiol. 2021, 70, 001363. [Google Scholar] [CrossRef] [PubMed]
- Karges, J.; Cohen, S.M. Metal Complexes as Antiviral Agents for SARS-CoV-2. ChemBioChem 2021, 22, 2600–2607. [Google Scholar] [CrossRef] [PubMed]
- Tahghighi, A. Importance of Metal Complexes for Development of Potential Leishmanicidal Agents. J. Organomet. Chem. 2014, 770, 51–60. [Google Scholar] [CrossRef]
- Machado, J.F.; Marques, F.; Pinheiro, T.; Villa de Brito, M.J.; Scalese, G.; Pérez-Díaz, L.; Otero, L.; António, J.P.M.; Gambino, D.; Morais, T.S. Copper(I)-Thiosemicarbazone Complexes with Dual Anticancer and Antiparasitic Activity. ChemMedChem 2023, 18, e202300074. [Google Scholar] [CrossRef] [PubMed]
- Méndez-Arriaga, J.M.; Rodríguez-Diéguez, A.; Sánchez-Moreno, M. In Vitro Leishmanicidal Activity of Copper (II) 5,7-Dimethyl-1,2,4-Triazolo[1,5-a]Pyrimidine Complex and Analogous Transition Metal Series. Polyhedron 2020, 176, 114272. [Google Scholar] [CrossRef]
- de Oliveira, T.D.; Ribeiro, G.H.; Honorato, J.; Leite, C.M.; Santos, A.C.d.S.; Silva, E.D.; Pereira, V.R.A.; Plutín, A.M.; Cominetti, M.R.; Castellano, E.E.; et al. Cytotoxic and Antiparasitic Activities of Diphosphine-Metal Complexes of Group 10 Containing Acylthiourea as Ligands. J. Inorg. Biochem. 2022, 234, 111906. [Google Scholar] [CrossRef]
- Savir, S.; Wei, Z.J.; Liew, J.W.K.; Vythilingam, I.; Lim, Y.A.L.; Saad, H.M.; Sim, K.S.; Tan, K.W. Synthesis, Cytotoxicity and Antimalarial Activities of Thiosemicarbazones and Their Nickel (II) Complexes. J. Mol. Struct. 2020, 1211, 128090. [Google Scholar] [CrossRef]
- Azevedo-França, J.A.d.; Granado, R.; de Macedo Silva, S.T.; Santos-Silva, G.d.; Scapin, S.; Borba-Santos, L.P.; Rozental, S.; de Souza, W.; Martins-Duarte, É.S.; Barrias, E.; et al. Synthesis and Biological Activity of Novel Zinc-Itraconazole Complexes in Protozoan Parasites and Sporothrix spp. Antimicrob. Agents Chemother. 2020, 64, 10-1128. [Google Scholar] [CrossRef]
- Méndez-Arriaga, J.M.; Rubio-Mirallas, E.; Quirós, M.; Sánchez-Moreno, M. Zinc 1,2,4-Triazolo[1,5-a]Pyrimidine Complexes: Synthesis, Structural Characterization and Their Effect against Chagas Disease. Med. Chem. 2022, 18, 444–451. [Google Scholar] [CrossRef]
- Navarro, M. Gold Complexes as Potential Anti-Parasitic Agents. Coord. Chem. Rev. 2009, 253, 1619–1626. [Google Scholar] [CrossRef]
- Esteban-Parra, G.M.; Méndez-Arriaga, J.M.; Rodríguez-Diéguez, A.; Quirós, M.; Salas, J.M.; Sánchez-Moreno, M. High Antiparasitic Activity of Silver Complexes of 5,7-Dimethyl-1,2,4-Triazolo[1,5 a]Pyrimidine. J. Inorg. Biochem. 2019, 201, 110810. [Google Scholar] [CrossRef] [PubMed]
- Gambino, D.; Otero, L. Facing Diseases Caused by Trypanosomatid Parasites: Rational Design of Pd and Pt Complexes with Bioactive Ligands. Front. Chem. 2022, 9, 816266. [Google Scholar] [CrossRef] [PubMed]
- Gambino, D.; Otero, L. Design of Prospective Antiparasitic Metal-Based Compounds Including Selected Organometallic Cores. Inorganica Chim. Acta 2018, 472, 58–75. [Google Scholar] [CrossRef]
- Sundar, S.; Chakravarty, J. Antimony Toxicity. Int. J. Environ. Res. Public Health 2010, 7, 4267–4277. [Google Scholar] [CrossRef] [PubMed]
- Haldar, A.K.; Sen, P.; Roy, S. Use of Antimony in the Treatment of Leishmaniasis: Current Status and Future Directions. Mol. Biol. Int. 2011, 2011, e571242. [Google Scholar] [CrossRef] [PubMed]
- Gress, M.E.; Jacobson, R.A. X-Ray and White Radiation Neutron Diffraction Studies of Optically Active Potassium Antimony Tartrate, K2Sb2(d-C4H2O6)2·3H2O (Tarter Emetic). Inorganica Chim. Acta 1974, 8, 209–217. [Google Scholar] [CrossRef]
- Frézard, F.; Demicheli, C.; Ribeiro, R.R. Pentavalent Antimonials: New Perspectives for Old Drugs. Molecules 2009, 14, 2317–2336. [Google Scholar] [CrossRef] [PubMed]
- Roberts, W.L.; McMurray, W.J.; Rainey, P.M. Characterization of the Antimonial Antileishmanial Agent Meglumine Antimonate (Glucantime). Antimicrob. Agents Chemother. 1998, 42, 1076–1082. [Google Scholar] [CrossRef]
- Demicheli, C.; Vallejos, V.M.R.; Lanza, J.S.; Ramos, G.S.; Do Prado, B.R.; Pomel, S.; Loiseau, P.M.; Frézard, F. Supramolecular Assemblies from Antimony(V) Complexes for the Treatment of Leishmaniasis. Biophys. Rev. 2023, 15, 751–765. [Google Scholar] [CrossRef] [PubMed]
- Borborema, S.E.T.; Osso, J.A.; de Andrade, H.F.; do Nascimento, N. Biodistribution of Meglumine Antimoniate in Healthy and Leishmania (Leishmania) Infantum Chagasi-Infected BALB/c Mice. Memórias Inst. Oswaldo Cruz 2013, 108, 623–630. [Google Scholar] [CrossRef] [PubMed]
- Martins, P.S.; Ochoa, R.; Pimenta, A.M.C.; Ferreira, L.A.M.; Melo, A.L.; da Silva, J.B.B.; Sinisterra, R.D.; Demicheli, C.; Frézard, F. Mode of Action of β-Cyclodextrin as an Absorption Enhancer of the Water-Soluble Drug Meglumine Antimoniate. Int. J. Pharm. 2006, 325, 39–47. [Google Scholar] [CrossRef] [PubMed]
- Albalawi, A.E.; Abdel-Shafy, S.; Khudair Khalaf, A.; Alanazi, A.D.; Baharvand, P.; Ebrahimi, K.; Mahmoudvand, H. Therapeutic Potential of Green Synthesized Copper Nanoparticles Alone or Combined with Meglumine Antimoniate (Glucantime®) in Cutaneous Leishmaniasis. Nanomaterials 2021, 11, 891. [Google Scholar] [CrossRef] [PubMed]
- Pereira, M.B.; Sydor, B.G.; Memare, K.G.; Verzignassi Silveira, T.G.; Alessi Aristides, S.M.; Dalmarco, E.M.; Vieira Teixeira, J.J.; Campana Lonardoni, M.V.; Demarchi, I.G. In Vivo Efficacy of Meglumine Antimoniate-Loaded Nanoparticles for Cutaneous Leishmaniasis: A Systematic Review. Nanomedicine 2021, 16, 1505–1518. [Google Scholar] [CrossRef] [PubMed]
- Sun, H.; Yan, S.C.; Cheng, W.S. Interaction of Antimony Tartrate with the Tripeptide Glutathione. Eur. J. Biochem. 2000, 267, 5450–5457. [Google Scholar] [CrossRef] [PubMed]
- dos Santos Ferreira, C.; Silveira Martins, P.; Demicheli, C.; Brochu, C.; Ouellette, M.; Frézard, F. Thiol-Induced Reduction of Antimony(V) into Antimony(III): A Comparative Study with Trypanothione, Cysteinyl-Glycine, Cysteine and Glutathione. Biometals 2003, 16, 441–446. [Google Scholar] [CrossRef] [PubMed]
- Colotti, G.; Ilari, A. Antimony-Based Therapy of Leishmaniases, Molecular and Cellular Rationale. In Encyclopedia of Metalloproteins; Kretsinger, R.H., Uversky, V.N., Permyakov, E.A., Eds.; Springer: New York, NY, USA, 2013; pp. 78–86. ISBN 978-1-4614-1533-6. [Google Scholar]
- Serbate Borges Portela, Á.; Margotto Bertollo, C.; da Silva Praxedes, M.F.; Silva Brasileiro, S.A.; Moreira Reis, A.M.; Parreiras Martins, M.A. Adverse Reactions to Meglumine Antimoniate in Brazilian Inpatients with Visceral Leishmaniases: A Case Series. J. Clin. Pharm. Ther. 2020, 45, 573–576. [Google Scholar] [CrossRef] [PubMed]
- Tahir, M.; Bashir, U.; Ahmed, N.; Mumtaz, J. Electrocardiographic changes with standard dose of meglumine antimoniate therapy in cutaneous leishmaniasis. Pak. Armed Forces Med. J. 2021, 71, 1235–1238. [Google Scholar] [CrossRef]
- Lyra, M.R.; Passos, S.R.L.; Pimentel, M.I.F.; Bedoya-Pacheco, S.J.; Valete-Rosalino, C.M.; Vasconcellos, E.C.F.; Antonio, L.F.; Saheki, M.N.; Salgueiro, M.M.; Santos, G.P.L.; et al. Pancreatic toxicity as an adverse effect induced by meglumine antimoniate therapy in a clinical trial for cutaneous leishmaniasis. Rev. Inst. Med. Trop. São Paulo 2016, 58, 68. [Google Scholar] [CrossRef]
- Da Justa Neves, D.B.; Caldas, E.D.; Sampaio, R.N.R. Antimony in Plasma and Skin of Patients with Cutaneous Leishmaniasis—Relationship with Side Effects after Treatment with Meglumine Antimoniate. Trop. Med. Int. Health 2009, 14, 1515–1522. [Google Scholar] [CrossRef]
- Miranda, E.S.; Miekeley, N.; De-Carvalho, R.R.; Paumgartten, F.J.R. Developmental Toxicity of Meglumine Antimoniate and Transplacental Transfer of Antimony in the Rat. Reprod. Toxicol. 2006, 21, 292–300. [Google Scholar] [CrossRef]
- Cruz, A.; Rainey, P.M.; Herwaldt, B.L.; Stagni, G.; Palacios, R.; Trujillo, R.; Saravia, N.G. Pharmacokinetics of Antimony in Children Treated for Leishmaniasis with Meglumine Antimoniate. J. Infect. Dis. 2007, 195, 602–608. [Google Scholar] [CrossRef]
- Berman, J.D.; Waddell, D.; Hanson, B.D. Biochemical Mechanisms of the Antileishmanial Activity of Sodium Stibogluconate. Antimicrob. Agents Chemother. 1985, 27, 916–920. [Google Scholar] [CrossRef]
- Elammari, N.E.; Sariti, S.R. Anti-Leishmanial Drug Pentostam Induced Histological Changes to Liver and Kidney in Male BALB/c Wild Mice. J. Int. Med. Res. Health Sci. 2021, 1, 7–14. [Google Scholar] [CrossRef]
- Herman, J.D.; Gallalee, J.V.; Best, J.M. Sodium Stibogluconate (Pentostam) Inhibition of Glucose Catabolism via the Glycolytic Pathway, and Fatty Acid β-Oxidation in Leishmania Mexicana Amastigotes. Biochem. Pharmacol. 1987, 36, 197–201. [Google Scholar] [CrossRef]
- Elmekki, M.A.; Elhassan, M.M.; Ozbak, H.A.; Qattan, I.T.; Saleh, S.M.; Alharbi, A.H. Epidemiological Trends of Cutaneous Leishmaniasis in Al-Madinah Al-Munawarah Province, Western Region of Saudi Arabia. J. Glob. Infect. Dis. 2017, 9, 146. [Google Scholar] [CrossRef]
- Iqbal, N.; Reeta; Ahluwalia, V.; Agrawal, A.; Dubey, S.; Kumar, J.; Dubey, S. Chapter 8—Medicinally Important Natural Bioactive Compounds for Leishmaniasis Treatment: Efficient Alternate of Toxic Drugs. In Studies in Natural Products Chemistry; Rahman, A., Ed.; Studies in Natural Product Chemistry; Elsevier: Amsterdam, The Netherlands, 2023; Volume 76, pp. 247–297. [Google Scholar]
- Anjum, A.; Shabbir, K.; Din, F.U.; Shafique, S.; Zaidi, S.S.; Almari, A.H.; Alqahtani, T.; Maryiam, A.; Moneeb Khan, M.; Al Fatease, A.; et al. Co-Delivery of Amphotericin B and Pentamidine Loaded Niosomal Gel for the Treatment of Cutaneous Leishmaniasis. Drug Deliv. 2023, 30, 2173335. [Google Scholar] [CrossRef]
- Borges, B.S.; Bueno, G.d.P.; Tomiotto-Pellissier, F.; Figueiredo, F.B.; Soares Medeiros, L.C. In Vitro Anti-Leishmania Activity of Triclabendazole and Its Synergic Effect with Amphotericin B. Front. Cell. Infect. Microbiol. 2023, 12, 1044665. [Google Scholar] [CrossRef]
- Boshrouyeh, R.; Amari, S.; Boshrouyeh Ghandashtani, M.; Alavi, S.E.; Ebrahimi Shahmabadi, H. A Topical Gel Nanoformulation of Amphotericin B (AmB) for the Treatment of Cutaneous Leishmaniasis (CL). J. Sol-Gel Sci. Technol. 2023, 105, 768–780. [Google Scholar] [CrossRef]
- Melcon-Fernandez, E.; Galli, G.; García-Estrada, C.; Balaña-Fouce, R.; Reguera, R.M.; Pérez-Pertejo, Y. Miltefosine and Nifuratel Combination: A Promising Therapy for the Treatment of Leishmania Donovani Visceral Leishmaniasis. Int. J. Mol. Sci. 2023, 24, 1635. [Google Scholar] [CrossRef]
- Matos, A.P.S.; Viçosa, A.L.; Ré, M.I.; Ricci-Júnior, E.; Holandino, C. A Review of Current Treatments Strategies Based on Paromomycin for Leishmaniasis. J. Drug Deliv. Sci. Technol. 2020, 57, 101664. [Google Scholar] [CrossRef]
- Younis, B.M.; Musa, A.M.; Monnerat, S.; Saeed, M.A.; Khalil, E.A.G.; Ahmed, A.E.; Ali, M.A.; Noureldin, A.; Ouattara, G.M.; Nyakaya, G.M.; et al. Safety and Efficacy of Paromomycin/Miltefosine/Liposomal Amphotericin B Combinations for the Treatment of Post-Kala-Azar Dermal Leishmaniasis in Sudan: A Phase II, Open Label, Randomized, Parallel Arm Study. PLOS Neglected Trop. Dis. 2023, 17, e0011780. [Google Scholar] [CrossRef]
- Chudzik, B.; Tracz, I.B.; Czernel, G.; Fiołka, M.J.; Borsuk, G.; Gagoś, M. Amphotericin B–Copper(II) Complex as a Potential Agent with Higher Antifungal Activity against Candida albicans. Eur. J. Pharm. Sci. 2013, 49, 850–857. [Google Scholar] [CrossRef]
- Pérez-Molina, J.A.; Crespillo-Andújar, C.; Bosch-Nicolau, P.; Molina, I. Trypanocidal treatment of Chagas disease. Enferm. Infecc. Microbiol. Clin. 2021, 39, 458–470. [Google Scholar] [CrossRef]
- Lidani, K.C.F.; Andrade, F.A.; Bavia, L.; Damasceno, F.S.; Beltrame, M.H.; Messias-Reason, I.J.; Sandri, T.L. Chagas Disease: From Discovery to a Worldwide Health Problem. Front. Public Health 2019, 7, 166. [Google Scholar] [CrossRef]
- Docampo, R.; Moreno, S.N.J.; Stoppani, A.O.M. Nitrofuran Enhancement of Microsomal Electron Transport, Superoxide Anion Production and Lipid Peroxidation. Arch. Biochem. Biophys. 1981, 207, 316–324. [Google Scholar] [CrossRef]
- de Souza, C.C.; de Azevedo-França, J.A.; Barrias, E.; Cavalcante, S.C.F.; Vieira, E.G.; Ferreira, A.M.D.C.; de Souza, W.; Navarro, M. Silver and Copper-Benznidazole Derivatives as Potential Antiparasitic Metallodrugs: Synthesis, Characterization, and Biological Evaluation. J. Inorg. Biochem. 2023, 239, 112047. [Google Scholar] [CrossRef]
- Teixeira, M.M.; Carvalho, D.T.; Sousa, E.; Pinto, E. New Antifungal Agents with Azole Moieties. Pharmaceuticals 2022, 15, 1427. [Google Scholar] [CrossRef]
- Kuznetsov, A.E. Introductory Chapter: Azoles, Their Importance, and Applications. In Azoles—Synthesis, Properties, Applications and Perspectives; IntechOpen: London, UK, 2021; ISBN 978-1-83968-180-6. [Google Scholar]
- Emami, L.; Faghih, Z.; Ataollahi, E.; Sadeghian, S.; Rezaei, Z.; Khabnadideh, S. Azole Derivatives: Recent Advances as Potent Antibacterial and Antifungal Agents. Curr. Med. Chem. 2023, 30, 220–249. [Google Scholar] [CrossRef]
- Paul, A.; Guria, T.; Roy, P.; Maity, A. Recent Development of Heterocyclic Compounds with Indazole Moiety as Potential Antiparasitic Agents. Curr. Top. Med. Chem. 2022, 22, 1160–1176. [Google Scholar] [CrossRef]
- Azevedo-França, J.A.d.; Ramos, V.F.d.S.; Messori, L.; Santanni, F.; Sorace, L.; Borba-Santos, L.P.; Rozental, S.; Rodrigues, J.C.F.; Navarro, M. Synthesis, Characterization, and Biological Evaluation of Hybrid Copper(II) Complexes Containing Azole Drugs and Planar Ligands against Neglected Diseases. New J. Chem. 2024, 48, 2515–2526. [Google Scholar] [CrossRef]
- Sharma, M.; Prasher, P. An Epigrammatic Status of the ‘Azole’-Based Antimalarial Drugs. RSC Med. Chem. 2020, 11, 184–211. [Google Scholar] [CrossRef]
- Walvekar, S.; Anwar, A.; Anwar, A.; Sridewi, N.; Khalid, M.; Yow, Y.Y.; Khan, N.A. Anti-Amoebic Potential of Azole Scaffolds and Nanoparticles against Pathogenic Acanthamoeba. Acta Trop. 2020, 211, 105618. [Google Scholar] [CrossRef]
- Emami, S.; Tavangar, P.; Keighobadi, M. An Overview of Azoles Targeting Sterol 14α-Demethylase for Antileishmanial Therapy. Eur. J. Med. Chem. 2017, 135, 241–259. [Google Scholar] [CrossRef]
- Baiocco, P.; Poce, G.; Alfonso, S.; Cocozza, M.; Porretta, G.C.; Colotti, G.; Biava, M.; Moraca, F.; Botta, M.; Yardley, V.; et al. Inhibition of Leishmania Infantum Trypanothione Reductase by Azole-Based Compounds: A Comparative Analysis with Its Physiological Substrate by X-Ray Crystallography. ChemMedChem 2013, 8, 1175–1183. [Google Scholar] [CrossRef]
- Braga, S.S. Ruthenium Complexes, an Emerging Class of Leishmanicidal Drug Candidates. Appl. Biosci. 2022, 1, 129–142. [Google Scholar] [CrossRef]
- García-Valdivia, A.A.; García-García, A.; Jannus, F.; Zabala-Lekuona, A.; Méndez-Arriaga, J.M.; Fernández, B.; Medina-O’donnell, M.; Ramírez-Rodríguez, G.B.; Delgado-López, J.M.; Pastrana-Martínez, L.M.; et al. Antiparasitic, Anti-Inflammatory and Cytotoxic Activities of 2D Coordination Polymers Based on 1H-Indazole-5-Carboxylic Acid. J. Inorg. Biochem. 2020, 208, 111098. [Google Scholar] [CrossRef]
- Navarro-Peñaloza, R.; Landeros-Rivera, B.; López-Sandoval, H.; Castro-Ramírez, R.; Barba-Behrens, N. New Insights on Transition Metal Coordination Compounds with Biological Active Azole and Nitroimidazole Derivatives. Coord. Chem. Rev. 2023, 494, 215360. [Google Scholar] [CrossRef]
- Bülow, C.; Haas, K. Synthetische Versuche Zur Darstellung von Derivaten Des Heterokondensierten, Heterocyclischen 1.3-Triazo-7.0′-Pyrimidins. Berichte Dtsch. Chem. Ges. 1909, 42, 4638–4644. [Google Scholar] [CrossRef]
- Birr, E.J. Azo-indolizine als photochemisch interessante Substanzen. Z. Wiss. Phot. 1952, 47, 1755–1764. [Google Scholar]
- Qu, R.; Liu, Y.; Kandegama, W.M.W.W.; Chen, Q.; Yang, G. Recent Applications of Triazolopyrimidine-Based Bioactive Compounds in Medicinal and Agrochemical Chemistry. Mini Rev. Med. Chem. 2018, 18, 781–793. [Google Scholar] [CrossRef]
- Salem, M.A.; Behalo, M.S.; Khidre, R.E. Recent Trend in the Chemistry of Triazolopyrimidines and Their Applications. Mini-Rev. Org. Chem. 2021, 18, 1134–1149. [Google Scholar] [CrossRef]
- Felicetti, T.; Pismataro, M.C.; Cecchetti, V.; Tabarrini, O.; Massari, S. Triazolopyrimidine Nuclei: Privileged Scaffolds for Developing Antiviral Agents with a Proper Pharmacokinetic Profile. Curr. Med. Chem. 2022, 29, 1379–1407. [Google Scholar] [CrossRef]
- Abdelkhalek, A.S.; Attia, M.S.; Kamal, M.A. Triazolopyrimidine Derivatives: An Updated Review on Recent Advances in Synthesis, Biological Activities and Drug Delivery Aspects. Curr. Med. Chem. 2024, 31, 1896–1919. [Google Scholar] [CrossRef]
- Merugu, S.R.; Cherukupalli, S.; Karpoormath, R. An Overview on Synthetic and Medicinal Perspectives of [1,2,4]Triazolo[1,5-a]Pyrimidine Scaffold. Chem. Biodivers. 2022, 19, e202200291. [Google Scholar] [CrossRef]
- Mohamed, A.M.; El-Sayed, W.A.; Ibrahim, A.A.; Abdel-Hafez, N.A.; Ali, K.A.K.; Mohamed, S.F. Recent Trends in the Chemistry of [1,2,4]Triazole[1,5-a]Pyrimidines. Org. Prep. Proced. Int. 2021, 53, 211–239. [Google Scholar] [CrossRef]
- Méndez-Arriaga, J.M.; Oyarzabal, I.; Martín-Montes, Á.; García-Rodríguez, J.; Quirós, M.; Sánchez-Moreno, M. First Example of Antiparasitic Activity Influenced by Thermochromism: Leishmanicidal Evaluation of 5,7-Dimethyl-1,2,4-Triazolo[1,5-a]Pyrimidine Metal Complexes. Med. Chem. 2020, 16, 422–430. [Google Scholar] [CrossRef]
- Esteban-Parra, G.M.; Sebastián, E.S.; Cepeda, J.; Sánchez-González, C.; Rivas-García, L.; Llopis, J.; Aranda, P.; Sánchez-Moreno, M.; Quirós, M.; Rodríguez-Diéguez, A. Anti-Diabetic and Anti-Parasitic Properties of a Family of Luminescent Zinc Coordination Compounds Based on the 7-Amino-5-Methyl-1,2,4-Triazolo[1,5-a]Pyrimidine Ligand. J. Inorg. Biochem. 2020, 212, 111235. [Google Scholar] [CrossRef]
- Kaszuba, A.; Barwiołek, M.; Sitkowski, J.; Wojtczak, A.; Łakomska, I. Structural Characteristics and Biological Properties of New Pseudo-Octahedral Ruthenium(II) Complexes Containing a Biphenyl Moiety. Polyhedron 2024, 249, 116780. [Google Scholar] [CrossRef]
- Caballero, A.B.; Rodríguez-Diéguez, A.; Quirós, M.; Salas, J.M.; Huertas, Ó.; Ramírez-Macías, I.; Olmo, F.; Marín, C.; Chaves-Lemaur, G.; Gutierrez-Sánchez, R.; et al. Triazolopyrimidine Compounds Containing First-Row Transition Metals and Their Activity against the Neglected Infectious Chagas Disease and Leishmaniasis. Eur. J. Med. Chem. 2014, 85, 526–534. [Google Scholar] [CrossRef]
- Karimi-Chayjani, R.; Daneshvar, N.; Nikoo Langarudi, M.S.; Shirini, F.; Tajik, H. Silica-Coated Magnetic Nanoparticles Containing Bis Dicationic Bridge for the Synthesis of 1,2,4-Triazolo Pyrimidine/ Quinazolinone Derivatives. J. Mol. Struct. 2020, 1199, 126891. [Google Scholar] [CrossRef]
- Chkirate, K.; Fettach, S.; El Hafi, M.; Karrouchi, K.; Elotmani, B.; Mague, J.T.; Radi, S.; Faouzi, M.E.A.; Adarsh, N.N.; Essassi, E.M.; et al. Solvent Induced Supramolecular Polymorphism in Cu(II) Coordination Complex Built from 1,2,4-Triazolo[1,5-a]Pyrimidine: Crystal Structures and Anti-Oxidant Activity. J. Inorg. Biochem. 2020, 208, 111092. [Google Scholar] [CrossRef]
- Pinheiro, S.; Pinheiro, E.M.C.; Muri, E.M.F.; Pessôa, J.C.; Cadorini, M.A.; Greco, S.J. Biological Activities of [1,2,4]Triazolo[1,5-a]Pyrimidines and Analogs. Med. Chem. Res. 2020, 29, 1751–1776. [Google Scholar] [CrossRef]
- Maldonado, C.R.; Quirós, M.; Salas, J.M. 1,2,4-Triazolo[1,5-a]Pyrimidin-3-Ium Chloride. Acta Crystallogr. Sect. E 2007, 63, o1509–o1510. [Google Scholar] [CrossRef]
- Esteban-Parra, G.M.; Moscoso, I.; Cepeda, J.; García, J.A.; Sánchez-Moreno, M.; Rodríguez-Diéguez, A.; Quirós, M. Lanthanide(III) Based Complexes Containing 5,7-Dimethyl-1,2,4-Triazolo[1,5-a]Pyrimidine as Long-Lived Photoluminescent Antiparasitic Agents. Eur. J. Inorg. Chem. 2020, 2020, 308–317. [Google Scholar] [CrossRef]
- Méndez-Arriaga, J.M.; Oyarzabal, I.; Escolano, G.; Rodríguez-Diéguez, A.; Sánchez-Moreno, M.; Salas, J.M. In Vitro Leishmanicidal and Trypanocidal Evaluation and Magnetic Properties of 7-Amino-1,2,4-Triazolo[1,5-a]Pyrimidine Cu(II) Complexes. J. Inorg. Biochem. 2018, 180, 26–32. [Google Scholar] [CrossRef]
- Abul Haj, M.; Salas, J.M.; Quirós, M.; Molina, J.; Faure, R. 5-Oxo and 7-Oxo Derivatives of [1,2,4]Triazolo-[1,5-a]Pyrimidine: Characterization and Theoretical Study. J. Mol. Struct. 2000, 519, 165–172. [Google Scholar] [CrossRef]
- Navarro, J.A.R.; Romero, M.A.; Salas, J.M.; Faure, R.; Solans, X. Polymeric Silver(I) Complexes of the Multinucleating Ligand4,7-Dihydro-5-Methyl-7-Oxo[1,2,4]Triazolo[1,5-a]Pyrimidine. Analogous Hydrogen-Bonded Structures in the Crystal and Vapour Phases of the Ligand. J. Chem. Soc. Dalton Trans. 1997, 13, 2321–2326. [Google Scholar] [CrossRef]
- Méndez-Arriaga, J.M.; Esteban-Parra, G.M.; Juárez, M.J.; Rodríguez-Diéguez, A.; Sánchez-Moreno, M.; Isac-García, J.; Salas, J.M. Antiparasitic Activity against Trypanosomatid Diseases and Novel Metal Complexes Derived from the First Time Characterized 5-Phenyl-1,2,4-Triazolo[1,5-a]Pyrimidi-7(4H)-One. J. Inorg. Biochem. 2017, 175, 217–224. [Google Scholar] [CrossRef]
- Salas, J.M.; Caballero, A.B.; Esteban-Parra, G.M.; Méndez-Arriaga, J.M. Leishmanicidal and Trypanocidal Activity of Metal Complexes with 1,2,4-Triazolo[1,5-a]Pyrimidines: Insights on Their Therapeutic Potential against Leishmaniasis and Chagas Disease. Curr. Med. Chem. 2017, 24, 2796–2806. [Google Scholar] [CrossRef] [PubMed]
- Łakomska, I.; Fandzloch, M. Application of 1,2,4-Triazolo[1,5-a]Pyrimidines for the Design of Coordination Compounds with Interesting Structures and New Biological Properties. Coord. Chem. Rev. 2016, 327–328, 221–241. [Google Scholar] [CrossRef]
- Manske, R.H. The Chemistry of Quinolines. Available online: https://pubs.acs.org/doi/pdf/10.1021/cr60095a006 (accessed on 24 March 2024).
- Keri, R.S.; Patil, S.A. Quinoline: A Promising Antitubercular Target. Biomed. Pharmacother. 2014, 68, 1161–1175. [Google Scholar] [CrossRef] [PubMed]
- Ajani, O.; Iyaye, K.T.; Ademosun, O.T. Recent Advances in Chemistry and Therapeutic Potential of Functionalized Quinoline Motifs—A Review. RSC Adv. 2022, 12, 18594–18614. [Google Scholar] [CrossRef] [PubMed]
- Patel, K.B.; Kumari, P. A Review: Structure-Activity Relationship and Antibacterial Activities of Quinoline Based Hybrids. J. Mol. Struct. 2022, 1268, 133634. [Google Scholar] [CrossRef]
- Jeleń, M.; Morak-Młodawska, B.; Korlacki, R. Anticancer Activities of Tetra-, Penta-, and Hexacyclic Phenothiazines Modified with Quinoline Moiety. J. Mol. Struct. 2023, 1287, 135700. [Google Scholar] [CrossRef]
- Kumar, N.; Khanna, A.; Kaur, K.; Kaur, H.; Sharma, A.; Bedi, P.M.S. Quinoline Derivatives Volunteering against Antimicrobial Resistance: Rational Approaches, Design Strategies, Structure Activity Relationship and Mechanistic Insights. Mol. Divers. 2023, 27, 1905–1934. [Google Scholar] [CrossRef]
- Bawa, S.; Kumar, S.; Drabu, S.; Kumar, R. Structural Modifications of Quinoline-Based Antimalarial Agents: Recent Developments. J. Pharm. Bioallied Sci. 2010, 2, 64. [Google Scholar] [CrossRef]
- Silva, C.F.M.; Pinto, D.C.G.A.; Fernandes, P.A.; Silva, A.M.S. Evolution of the Quinoline Scaffold for the Treatment of Leishmaniasis: A Structural Perspective. Pharmaceuticals 2024, 17, 285. [Google Scholar] [CrossRef]
- Senerovic, L.; Opsenica, D.; Moric, I.; Aleksic, I.; Spasić, M.; Vasiljevic, B. Quinolines and Quinolones as Antibacterial, Antifungal, Anti-Virulence, Antiviral and Anti-Parasitic Agents. In Advances in Microbiology, Infectious Diseases and Public Health: Volume 14; Donelli, G., Ed.; Springer International Publishing: Cham, Switzerland, 2020; pp. 37–69. ISBN 978-3-030-53647-3. [Google Scholar]
- Reynolds, K.; Loughlin, W.A.; Young, D.J. Quinolines as Chemotherapeutic Agents for Leishmaniasis. Mini Rev. Med. Chem. 2013, 13, 730–743. [Google Scholar] [CrossRef]
- Bringmann, G.; Thomale, K.; Bischof, S.; Schneider, C.; Schultheis, M.; Schwarz, T.; Moll, H.; Schurigt, U. A Novel Leishmania Major Amastigote Assay in 96-Well Format for Rapid Drug Screening and Its Use for Discovery and Evaluation of a New Class of Leishmanicidal Quinolinium Salts. Antimicrob. Agents Chemother. 2013, 57, 3003–3011. [Google Scholar] [CrossRef] [PubMed]
- Coimbra, E.S.; Antinarelli, L.M.R.; Silva, N.P.; Souza, I.O.; Meinel, R.S.; Rocha, M.N.; Soares, R.P.P.; da Silva, A.D. Quinoline Derivatives: Synthesis, Leishmanicidal Activity and Involvement of Mitochondrial Oxidative Stress as Mechanism of Action. Chem.-Biol. Interact. 2016, 260, 50–57. [Google Scholar] [CrossRef]
- Loiseau, P.M.; Balaraman, K.; Barratt, G.; Pomel, S.; Durand, R.; Frézard, F.; Figadère, B. The Potential of 2-Substituted Quinolines as Antileishmanial Drug Candidates. Molecules 2022, 27, 2313. [Google Scholar] [CrossRef] [PubMed]
- Nishigaki, S.; Yoshioka, H.; Nakatsu, K. The Crystal and Molecular Structure of O-Phenanthroline. Acta Cryst. B 1978, 34, 875–879. [Google Scholar] [CrossRef]
- Lima, A.K.C.; Elias, C.G.R.; Oliveira, S.S.C.; Santos-Mallet, J.R.; McCann, M.; Devereux, M.; Branquinha, M.H.; Dutra, P.M.L.; Santos, A.L.S. Anti-Leishmania Braziliensis Activity of 1,10-Phenanthroline-5,6-Dione and Its Cu(II) and Ag(I) Complexes. Parasitol. Res. 2021, 120, 3273–3285. [Google Scholar] [CrossRef]
- Lane, J.E.; Bogitsh, B.J.; Ribeiro-Rodrigues, R.; Kral, M.V.; Jones, M.M.; Carter, C.E. Ultrastructural Effects of the Chelating Agent 1,10-Phenanthroline on Trypanosoma cruzi Epimastigotes In Vitro. Parasitol. Res. 1998, 84, 399–402. [Google Scholar] [CrossRef]
- Agbale, C.M.; Cardoso, M.H.; Galyuon, I.K.; Franco, O.L. Designing Metallodrugs with Nuclease and Protease Activity. Metallomics 2016, 8, 1159–1169. [Google Scholar] [CrossRef] [PubMed]
- Iniguez, E.; Sánchez, A.; Vasquez, M.A.; Martínez, A.; Olivas, J.; Sattler, A.; Sánchez-Delgado, R.A.; Maldonado, R.A. Metal–Drug Synergy: New Ruthenium(II) Complexes of Ketoconazole Are Highly Active against Leishmania Major and Trypanosoma cruzi and Nontoxic to Human or Murine Normal Cells. J. Biol. Inorg. Chem. 2013, 18, 779–790. [Google Scholar] [CrossRef]
- Martínez, A.; Carreon, T.; Iniguez, E.; Anzellotti, A.; Sánchez, A.; Tyan, M.; Sattler, A.; Herrera, L.; Maldonado, R.A.; Sánchez-Delgado, R.A. Searching for New Chemotherapies for Tropical Diseases: Ruthenium–Clotrimazole Complexes Display High in Vitro Activity against Leishmania Major and Trypanosoma cruzi and Low Toxicity toward Normal Mammalian Cells. J. Med. Chem. 2012, 55, 3867–3877. [Google Scholar] [CrossRef]
- Caballero, A.B.; Marín, C.; Ramírez-Macías, I.; Rodríguez-Diéguez, A.; Quirós, M.; Salas, J.M.; Sánchez-Moreno, M. Structural Consequences of the Introduction of 2,2′-Bipyrimidine as Auxiliary Ligand in Triazolopyrimidine-Based Transition Metal Complexes. In Vitro Antiparasitic Activity. Polyhedron 2012, 33, 137–144. [Google Scholar] [CrossRef]
- Ramírez-Macías, I.; Maldonado, C.R.; Marín, C.; Olmo, F.; Gutiérrez-Sánchez, R.; Rosales, M.J.; Quirós, M.; Salas, J.M.; Sánchez-Moreno, M. In Vitro Anti-Leishmania Evaluation of Nickel Complexes with a Triazolopyrimidine Derivative against Leishmania Infantum and Leishmania Braziliensis. J. Inorg. Biochem. 2012, 112, 1–9. [Google Scholar] [CrossRef] [PubMed]
- Fandzloch, M.; Arriaga, J.M.M.; Sánchez-Moreno, M.; Wojtczak, A.; Jezierska, J.; Sitkowski, J.; Wiśniewska, J.; Salas, J.M.; Łakomska, I. Strategies for Overcoming Tropical Disease by Ruthenium Complexes with Purine Analog: Application against Leishmania spp. and Trypanosoma cruzi. J. Inorg. Biochem. 2017, 176, 144–155. [Google Scholar] [CrossRef]
- Caballero, A.B.; Rodríguez-Diéguez, A.; Salas, J.M.; Sánchez-Moreno, M.; Marín, C.; Ramírez-Macías, I.; Santamaría-Díaz, N.; Gutiérrez-Sánchez, R. Lanthanide Complexes Containing 5-Methyl-1,2,4-Triazolo[1,5-a] Pyrimidin-7(4H)-One and Their Therapeutic Potential to Fight Leishmaniasis and Chagas Disease. J. Inorg. Biochem. 2014, 138, 39–46. [Google Scholar] [CrossRef]
- Martín-Montes, Á.; Jimenez-Falcao, S.; Gómez-Ruiz, S.; Marín, C.; Mendez-Arriaga, J.M. First-Row Transition 7-Oxo-5-Phenyl-1,2,4-Triazolo[1,5-a]Pyrimidine Metal Complexes: Antiparasitic Activity and Release Studies. Pharmaceuticals 2023, 16, 1380. [Google Scholar] [CrossRef] [PubMed]
- Paloque, L.; Hemmert, C.; Valentin, A.; Gornitzka, H. Synthesis, Characterization, and Antileishmanial Activities of Gold(I) Complexes Involving Quinoline Functionalized N-Heterocyclic Carbenes. Eur. J. Med. Chem. 2015, 94, 22–29. [Google Scholar] [CrossRef]
- Oliveira, S.S.C.; Santos, V.S.; Devereux, M.; McCann, M.; Santos, A.L.S.; Branquinha, M.H. The Anti-Leishmania Amazonensis and Anti-Leishmania Chagasi Action of Copper(II) and Silver(I) 1,10-Phenanthroline-5,6-Dione Coordination Compounds. Pathogens 2023, 12, 70. [Google Scholar] [CrossRef] [PubMed]
- Cunha, L.C.; Lage, D.P.; Ferreira, L.S.; Saboia-Vahia, L.; Coelho, E.A.F.; Belo, V.S.; Teixeira-Neto, R.G.; Soares, L.F.; Chagas, R.C.R.; da Silva, E.S. Leishmanicidal Activity of Ibuprofen and Its Complexes with Ni(II), Mn(II) and Pd(II). Inorg. Chem. Commun. 2020, 113, 107756. [Google Scholar] [CrossRef]
- García-García, A.; Méndez-Arriaga, J.M.; Martín-Escolano, R.; Cepeda, J.; Gómez-Ruiz, S.; Salinas-Castillo, A.; Seco, J.M.; Sánchez-Moreno, M.; Choquesillo-Lazarte, D.; Ruiz-Muelle, A.B.; et al. In Vitro Evaluation of Leishmanicidal Properties of a New Family of Monodimensional Coordination Polymers Based on Diclofenac Ligand. Polyhedron 2020, 184, 114570. [Google Scholar] [CrossRef]
- Tunes, L.G.; Morato, R.E.; Garcia, A.; Schmitz, V.; Steindel, M.; Corrêa-Junior, J.D.; Dos Santos, H.F.; Frézard, F.; de Almeida, M.V.; Silva, H.; et al. Preclinical Gold Complexes as Oral Drug Candidates to Treat Leishmaniasis Are Potent Trypanothione Reductase Inhibitors. ACS Infect. Dis. 2020, 6, 1121–1139. [Google Scholar] [CrossRef]
- García-García, A.; Echenique-Errandonea, E.; Cepeda, J.; Choquesillo-Lazarte, D.; Seco, J.M.; Salinas-Castillo, A.; Sánchez-Moreno, M.; Méndez-Arriaga, J.M.; Rodríguez-Diéguez, A. Photoluminescence and in Vitro Cytotoxicity Analysis in a Novel Mononuclear Zn(II) Coordination Compound Based on Bumetanide. Inorganica Chim. Acta 2020, 509, 119708. [Google Scholar] [CrossRef]
- Coksu, I.; Bozkurt, Y.; Akmayan, I.; Demirci, H.; Ozbek, T.; Acar, S. Ketoconazole-Loading Strategy to Improve Antifungal Activity and Overcome Cytotoxicity on Human Renal Proximal Tubular Epithelial Cells. Nanotechnology 2023, 35, 115702. [Google Scholar] [CrossRef] [PubMed]
- Salas, J.M.; Angustias Romero, M.; Purificación Sánchez, M.; Quirós, M. Metal Complexes of [1,2,4]Triazolo-[1,5-a]Pyrimidine Derivatives. Coord. Chem. Rev. 1999, 193–195, 1119–1142. [Google Scholar] [CrossRef]
- Boutaleb-Charki, S.; Marin, C.; Maldonado, C.R.; Rosales, M.J.; Urbano, J.; Guitierrez-Sanchez, R.; Quiros, M.; Salas, J.M.; Sanchez-Moreno, M. Copper (II) Complexes of [1,2,4]Triazolo [1,5-a]Pyrimidine Derivatives as Potential Anti-Parasitic Agents. Drug Metab. Lett. 2009, 3, 35–44. [Google Scholar] [CrossRef] [PubMed]
- Reis, D.C.; Pinto, M.C.X.; Souza-Fagundes, E.M.; Rocha, L.F.; Pereira, V.R.A.; Melo, C.M.L.; Beraldo, H. Investigation on the Pharmacological Profile of Antimony(III) Complexes with Hydroxyquinoline Derivatives: Anti-Trypanosomal Activity and Cytotoxicity against Human Leukemia Cell Lines. Biometals 2011, 24, 595–601. [Google Scholar] [CrossRef] [PubMed]
- Morozkov, G.V.; Abel, A.S.; Lyssenko, K.A.; Roznyatovsky, V.A.; Averin, A.D.; Beletskaya, I.P.; Bessmertnykh-Lemeune, A. Ruthenium(II) Complexes with Phosphonate-Substituted Phenanthroline Ligands as Reusable Photoredox Catalysts. Dalton Trans. 2024, 53, 535–551. [Google Scholar] [CrossRef]
- Osei, P.B.; Northcote-Smith, J.; Fang, J.; Singh, K.; Ortu, F.; Suntharalingam, K. The Bulk Breast Cancer Cell and Breast Cancer Stem Cell Activity of Binuclear Copper(II)-Phenanthroline Complexes. Chem.–A Eur. J. 2023, 29, e202301188. [Google Scholar] [CrossRef] [PubMed]
- Rodrigues, J.A.O.; Torres, A.U.; de Sousa, N.A.B.; de Sousa, T.J.D.; Neto, J.G.O.; Reis, A.S.; Lage, M.R.; dos Santos, A.O.; dos Santos, C.C.; de Menezes, A.S.; et al. Synthesis, Characterization, DFT Study, and Antibacterial Activity of a Coordination Complex of Cu(II) with 1,10-Phenanthroline and l-Methionine Ligands. J. Mol. Struct. 2023, 1293, 136197. [Google Scholar] [CrossRef]
- Iqbal, M.; Ali, S.; Tahir, M.N.; Anderson, P.A. Octahedral Copper(II) Carboxylates with 1,10-Phenanthroline: Synthesis, Structural Characterization, DNA-Binding and Anti-Fungal Properties. J. Chem. Crystallogr. 2021, 51, 418–431. [Google Scholar] [CrossRef]
- Abebe, A.; Bayeh, Y.; Belay, M.; Gebretsadik, T.; Thomas, M.; Linert, W. Mono and Binuclear Cobalt(II) Mixed Ligand Complexes Containing 1,10-Phenanthroline and Adenine Using 1,3-Diaminopropane as a Spacer: Synthesis, Characterization, and Antibacterial Activity Investigations. Future J. Pharm. Sci. 2020, 6, 13. [Google Scholar] [CrossRef]
- Deka, B.; Sarkar, T.; Bhattacharyya, A.; Butcher, R.J.; Banerjee, S.; Deka, S.; Saikia, K.K.; Hussain, A. Synthesis, Characterization, and Cancer Cell-Selective Cytotoxicity of Mixed-Ligand Cobalt(III) Complexes of 8-Hydroxyquinolines and Phenanthroline Bases. Dalton Trans. 2024, 53, 4952–4961. [Google Scholar] [CrossRef]
- Ishola, K.T.; Olaoye, O.J.; Oladipo, M.A.; Odedokun, O.A.; Aboyeji, O.O. Synthesis, Characterization and Antimicrobial Properties of Mixed-Ligand Complexes of Some Metal(II) Ions with Barbituric Acid and 1,10-Phenanthroline Ligands. Tanzan. J. Sci. 2023, 49, 491–502. [Google Scholar] [CrossRef]
- Egan, T.J.; Koch, K.R.; Swan, P.L.; Clarkson, C.; Van Schalkwyk, D.A.; Smith, P.J. In Vitro Antimalarial Activity of a Series of Cationic 2,2‘-Bipyridyl- and 1,10-Phenanthrolineplatinum(II) Benzoylthiourea Complexes. J. Med. Chem. 2004, 47, 2926–2934. [Google Scholar] [CrossRef]
- Lai, J.W.; Maah, M.J.; Tan, K.W.; Sarip, R.; Lim, Y.A.L.; Ganguly, R.; Khaw, L.T.; Ng, C.H. Dinuclear and Mononuclear Metal(II) Polypyridyl Complexes against Drug-Sensitive and Drug-Resistant Plasmodium Falciparum and Their Mode of Action. Malar. J. 2022, 21, 386. [Google Scholar] [CrossRef]
- Rigo, G.V.; Petro-Silveira, B.; Devereux, M.; McCann, M.; Santos, A.L.S.d.; Tasca, T. Anti-Trichomonas Vaginalis Activity of 1,10-Phenanthroline-5,6-Dione-Based Metallodrugs and Synergistic Effect with Metronidazole. Parasitology 2019, 146, 1179–1183. [Google Scholar] [CrossRef]
- León, I.E.; Cadavid-Vargas, J.F.; Tiscornia, I.; Porro, V.; Castelli, S.; Katkar, P.; Desideri, A.; Bollati-Fogolin, M.; Etcheverry, S.B. Oxidovanadium(IV) Complexes with Chrysin and Silibinin: Anticancer Activity and Mechanisms of Action in a Human Colon Adenocarcinoma Model. J. Biol. Inorg. Chem. 2015, 20, 1175–1191. [Google Scholar] [CrossRef]
- Benítez, J.; Becco, L.; Correia, I.; Leal, S.M.; Guiset, H.; Pessoa, J.C.; Lorenzo, J.; Tanco, S.; Escobar, P.; Moreno, V.; et al. Vanadium Polypyridyl Compounds as Potential Antiparasitic and Antitumoral Agents: New Achievements. J. Inorg. Biochem. 2011, 105, 303–312. [Google Scholar] [CrossRef] [PubMed]
- Santos, A.L.S.; Lima, A.K.C.; Oliveira, S.S.C.; dos Santos, R.F.; Devereux, M.; McCann, M.; Branquinha, M.H.; Dutra, P.M.L. Decoding the Anti-Leishmania Braziliensis Activity of 1,10-Phenanthroline-5,6-Dione and Its Silver- and Copper-Based Complexes: In Vitro and In Vivo Approaches. Eur. J. Med. Chem. Rep. 2022, 6, 100093. [Google Scholar] [CrossRef]
- Lawal, A.; Obaleye, J.A. Synthesis, Characterization and Antibacterial Activity of Aspirin and Paracetamol-Metal Complexes. Biokemistri 2007, 19, 9–15. [Google Scholar]
- Martinez, S.; Marr, J.J. Allopurinol in the Treatment of American Cutaneous Leishmaniasis. N. Engl. J. Med. 1992, 326, 741–744. [Google Scholar] [CrossRef]
- Potenza, M.; Tellez, M.T. Colchicine Treatment Reversibly Blocks Cytokinesis but Not Mitosis in Trypanosoma cruzi Epimastigotes. Parasitol. Res. 2015, 114, 641–649. [Google Scholar] [CrossRef]
- Fernandes, F.; Ramires, F.J.A.; Ianni, B.M.; Salemi, V.M.C.; Oliveira, A.M.; Pessoa, F.G.; Canzian, M.; Mady, C. Effect of Colchicine on Myocardial Injury Induced by Trypanosoma cruzi in Experimental Chagas Disease. J. Card. Fail. 2012, 18, 654–659. [Google Scholar] [CrossRef] [PubMed]
- Luis, L.; Serrano, M.L.; Hidalgo, M.; Mendoza-León, A. Comparative Analyses of the β-Tubulin Gene and Molecular Modeling Reveal Molecular Insight into the Colchicine Resistance in Kinetoplastids Organisms. BioMed Res. Int. 2013, 2013, e843748. [Google Scholar] [CrossRef] [PubMed]
- Peña-Guerrero, J.; Puig-Rigall, J.; González-Gaitano, G.; Nguewa, P. Chapter 13—Improving the Miltefosine Efficacy against Leishmaniasis by Using Different Nanoassemblies Made from Surfactants or Amphiphilic Antimony (V) Complex. In Applications of Nanobiotechnology for Neglected Tropical Diseases; Formiga, F.R., Inamuddin, Severino, P., Eds.; Academic Press: Cambridge, MA, USA, 2021; pp. 253–290. ISBN 978-0-12-821100-7. [Google Scholar]
- Ismail, A.H.; Al-Garawi, Z.S.; Al-Shamari, K.; Salman, A.T. Metformin Compounds: A Review on the Importance and the Possible Applications. J. Phys. Conf. Ser. 2021, 1853, 012060. [Google Scholar] [CrossRef]
- Navarro, M.; Cisneros-Fajardo, E.J.; Sierralta, A.; Fernández-Mestre, M.; Silva, P.; Arrieche, D.; Marchán, E. Design of Copper DNA Intercalators with Leishmanicidal Activity. J. Biol. Inorg. Chem. 2003, 8, 401–408. [Google Scholar] [CrossRef] [PubMed]
- Rossi, S.; Tudino, V.; Carullo, G.; Butini, S.; Campiani, G.; Gemma, S. Metalloenzyme Inhibitors against Zoonotic Infections: Focus on Leishmania and Schistosoma. ACS Infect. Dis. 2024, 10, 1520–1535. [Google Scholar] [CrossRef]
- Rufino-González, Y.; Ponce-Macotela, M.; García-Ramos, J.C.; Martínez-Gordillo, M.N.; Galindo-Murillo, R.; González-Maciel, A.; Reynoso-Robles, R.; Tovar-Tovar, A.; Flores-Alamo, M.; Toledano-Magaña, Y.; et al. Antigiardiasic Activity of Cu(II) Coordination Compounds: Redox Imbalance and Membrane Damage after a Short Exposure Time. J. Inorg. Biochem. 2019, 195, 83–90. [Google Scholar] [CrossRef] [PubMed]
- Lechuga, G.C.; Pereira, M.C.S.; Bourguignon, S.C. Heme Metabolism as a Therapeutic Target against Protozoan Parasites. J. Drug Target. 2019, 27, 767–779. [Google Scholar] [CrossRef] [PubMed]
- Javed, B.; Raja, N.I.; Nadhman, A.; Mashwani, Z.-R. Understanding the Potential of Bio-Fabricated Non-Oxidative Silver Nanoparticles to Eradicate Leishmania and Plant Bacterial Pathogens. Appl. Nanosci. 2020, 10, 2057–2067. [Google Scholar] [CrossRef]
- Canaparo, R.; Foglietta, F.; Limongi, T.; Serpe, L. Biomedical Applications of Reactive Oxygen Species Generation by Metal Nanoparticles. Materials 2021, 14, 53. [Google Scholar] [CrossRef]
- Kessler, A.; Hedberg, J.; Blomberg, E.; Odnevall, I. Reactive Oxygen Species Formed by Metal and Metal Oxide Nanoparticles in Physiological Media—A Review of Reactions of Importance to Nanotoxicity and Proposal for Categorization. Nanomaterials 2022, 12, 1922. [Google Scholar] [CrossRef]
- Samrot, A.V.; Ram Singh, S.P.; Deenadhayalan, R.; Rajesh, V.V.; Padmanaban, S.; Radhakrishnan, K. Nanoparticles, a Double-Edged Sword with Oxidant as Well as Antioxidant Properties—A Review. Oxygen 2022, 2, 591–604. [Google Scholar] [CrossRef]
- AlGabbani, Q. Nanotechnology: A Promising Strategy for the Control of Parasitic Infections. Exp. Parasitol. 2023, 250, 108548. [Google Scholar] [CrossRef] [PubMed]
- Guerra, R.O.; do Carmo Neto, J.R.; da Silva, P.E.F.; Franco, P.I.R.; Barbosa, R.M.; de Albuquerque Martins, T.; Costa-Madeira, J.; de Assunção, T.S.F.; de Oliveira, C.J.F.; Machado, J.R.; et al. Metallic Nanoparticles and Treatment of Cutaneous Leishmaniasis: A Systematic Review. J. Trace Elem. Med. Biol. 2024, 83, 127404. [Google Scholar] [CrossRef] [PubMed]
- Król, G.; Fortunka, K.; Majchrzak, M.; Piktel, E.; Paprocka, P.; Mańkowska, A.; Lesiak, A.; Karasiński, M.; Strzelecka, A.; Durnaś, B.; et al. Metallic Nanoparticles and Core-Shell Nanosystems in the Treatment, Diagnosis, and Prevention of Parasitic Diseases. Pathogens 2023, 12, 838. [Google Scholar] [CrossRef] [PubMed]
- Almayouf, M.A.; El-khadragy, M.; Awad, M.A.; Alolayan, E.M. The Effects of Silver Nanoparticles Biosynthesized Using Fig and Olive Extracts on Cutaneous Leishmaniasis-Induced Inflammation in Female Balb/c Mice. Biosci. Rep. 2020, 40, BSR20202672. [Google Scholar] [CrossRef] [PubMed]
- Alghamdi, S.Q.; Alotaibi, N.F.; Al-Ghamdi, S.N.; Alqarni, L.S.; Amna, T.; Moustafa, S.M.; Alsohaimi, I.H.; Alruwaili, I.A.; Nassar, A.M. High Antiparasitic and Antimicrobial Performance of Biosynthesized NiO Nanoparticles via Wasted Olive Leaf Extract. Int. J. Nanomed. 2024, 19, 1469–1485. [Google Scholar] [CrossRef] [PubMed]
- Mohammadi, M.; Zaki, L.; KarimiPourSaryazdi, A.; Tavakoli, P.; Tavajjohi, A.; Poursalehi, R.; Delavari, H.; Ghaffarifar, F. Efficacy of Green Synthesized Silver Nanoparticles via Ginger Rhizome Extract against Leishmania Major in Vitro. PLoS ONE 2021, 16, e0255571. [Google Scholar] [CrossRef] [PubMed]
- Faisal, S.; Al-Radadi, N.S.; Jan, H.; Abdullah; Shah, S.A.; Shah, S.; Rizwan, M.; Afsheen, Z.; Hussain, Z.; Uddin, M.N.; et al. Curcuma Longa Mediated Synthesis of Copper Oxide, Nickel Oxide and Cu-Ni Bimetallic Hybrid Nanoparticles: Characterization and Evaluation for Antimicrobial, Anti-Parasitic and Cytotoxic Potentials. Coatings 2021, 11, 849. [Google Scholar] [CrossRef]
- Badirzadeh, A.; Alipour, M.; Najm, M.; Vosoogh, A.; Vosoogh, M.; Samadian, H.; Hashemi, A.S.; Farsangi, Z.J.; Amini, S.M. Potential Therapeutic Effects of Curcumin Coated Silver Nanoparticle in the Treatment of Cutaneous Leishmaniasis Due to Leishmania major in-vitro and in a Murine Model. J. Drug Deliv. Sci. Technol. 2022, 74, 103576. [Google Scholar] [CrossRef]
- Aykur, M.; Göksen Tosun, N.; Kaplan, Ö.; Özgür, A. Efficacy of the Greenly Synthesized Silver, Copper, and Nickel Nanoparticles Using Allium tuncelianum Extract against Acanthamoeba castellanii. J. Drug Deliv. Sci. Technol. 2023, 89, 105013. [Google Scholar] [CrossRef]
- Snoussi, Y.; Sifaoui, I.; Khalil, A.M.; Bhakta, A.K.; Semyonov, O.; Postnikov, P.S.; Michely, L.; Pires, R.; Bastide, S.; Barroso, J.E.-P.; et al. Facile Synthesis of Silver Decorated Biochar as a Novel and Highly Active Biosourced Anti-Kinetoplastid Agent. Mater. Today Commun. 2022, 32, 104126. [Google Scholar] [CrossRef]
- Machado, L.F.; Sanfelice, R.A.; Bosqui, L.R.; Assolini, J.P.; Scandorieiro, S.; Navarro, I.T.; Depieri Cataneo, A.H.; Wowk, P.F.; Nakazato, G.; Bordignon, J.; et al. Biogenic Silver Nanoparticles Reduce Adherence, Infection, and Proliferation of Toxoplasma Gondii RH Strain in HeLa Cells without Inflammatory Mediators Induction. Exp. Parasitol. 2020, 211, 107853. [Google Scholar] [CrossRef]
- Sampath, G.; Chen, Y.-Y.; Rameshkumar, N.; Krishnan, M.; Nagarajan, K.; Shyu, D.J.H. Biologically Synthesized Silver Nanoparticles and Their Diverse Applications. Nanomaterials 2022, 12, 3126. [Google Scholar] [CrossRef]
- Shakeel, M.; Kiani, M.H.; Sarwar, H.S.; Akhtar, S.; Rauf, A.; Ibrahim, I.M.; Ajalli, N.; Shahnaz, G.; Rahdar, A.; Díez-Pascual, A.M. Emulgel-Loaded Mannosylated Thiolated Chitosan-Coated Silver Nanoparticles for the Treatment of Cutaneous Leishmaniasis. Int. J. Biol. Macromol. 2023, 227, 1293–1304. [Google Scholar] [CrossRef]
- Brito, T.K.; Viana, R.L.S.; Moreno, C.J.G.; Barbosa, J.d.S.; Júnior, F.L.d.S.; Medeiros, M.J.C.d.; Melo-Silveira, R.F.; Almeida-Lima, J.; Pontes, D.d.L.; Silva, M.S.; et al. Synthesis of Silver Nanoparticle Employing Corn Cob Xylan as a Reducing Agent with Anti-Trypanosoma cruzi Activity. Int. J. Nanomed. 2020, 15, 965–979. [Google Scholar] [CrossRef]
- Wang, X.; Zhang, D.; Jiang, N.; Wang, X.; Zhang, N.; Zhang, K.; Sang, X.; Feng, Y.; Chen, R.; Yang, N.; et al. Induction of Apoptosis in Trypanosoma brucei Following Endocytosis of Ultra-Small Noble Metal Nanoclusters. Nano Today 2021, 38, 101122. [Google Scholar] [CrossRef]
- Adeyemi, O.S.; Arowolo, A.T.; Hetta, H.F.; Al-Rejaie, S.; Rotimi, D.; Batiha, G.E.-S. Apoferritin and Apoferritin-Capped Metal Nanoparticles Inhibit Arginine Kinase of Trypanosoma Brucei. Molecules 2020, 25, 3432. [Google Scholar] [CrossRef]
- Hu, X.; Zhang, Y.; Ding, T.; Liu, J.; Zhao, H. Multifunctional Gold Nanoparticles: A Novel Nanomaterial for Various Medical Applications and Biological Activities. Front. Bioeng. Biotechnol. 2020, 8, 990. [Google Scholar] [CrossRef]
- Jimenez-Falcao, S.; Méndez-Arriaga, J.M.; García-Almodóvar, V.; García-Valdivia, A.A.; Gómez-Ruiz, S. Gold Nanozymes: Smart Hybrids with Outstanding Applications. Catalysts 2023, 13, 13. [Google Scholar] [CrossRef]
- Want, M.Y.; Yadav, P.; Khan, R.; Chouhan, G.; Islamuddin, M.; Aloyouni, S.Y.; Chattopadhyay, A.P.; AlOmar, S.Y.; Afrin, F. Critical Antileishmanial In Vitro Effects of Highly Examined Gold Nanoparticles. Int. J. Nanomed. 2021, 16, 7285–7295. [Google Scholar] [CrossRef]
- Raj, S.; Sasidharan, S.; Tripathi, T.; Saudagar, P. Biofunctionalized Chrysin-Conjugated Gold Nanoparticles Neutralize Leishmania Parasites with High Efficacy. Int. J. Biol. Macromol. 2022, 205, 211–219. [Google Scholar] [CrossRef]
- Sasidharan, S.; Saudagar, P. Gold and Silver Nanoparticles Functionalized with 4′,7-Dihydroxyflavone Exhibit Activity against Leishmania donovani. Acta Trop. 2022, 231, 106448. [Google Scholar] [CrossRef]
- Alti, D.; Veeramohan Rao, M.; Rao, D.N.; Maurya, R.; Kalangi, S.K. Gold–Silver Bimetallic Nanoparticles Reduced with Herbal Leaf Extracts Induce ROS-Mediated Death in Both Promastigote and Amastigote Stages of Leishmania donovani. ACS Omega 2020, 5, 16238–16245. [Google Scholar] [CrossRef]
- Ruang-areerate, T.; Sukphattanaudomchoke, C.; Thita, T.; Leelayoova, S.; Piyaraj, P.; Mungthin, M.; Suwannin, P.; Polpanich, D.; Tangchaikeeree, T.; Jangpatarapongsa, K.; et al. Development of Loop-Mediated Isothermal Amplification (LAMP) Assay Using SYBR Safe and Gold-Nanoparticle Probe for Detection of Leishmania in HIV Patients. Sci. Rep. 2021, 11, 12152. [Google Scholar] [CrossRef]
- Martins, B.R.; Barbosa, Y.O.; Andrade, C.M.R.; Pereira, L.Q.; Simão, G.F.; de Oliveira, C.J.; Correia, D.; Oliveira, R.T.S.; da Silva, M.V.; Silva, A.C.A.; et al. Development of an Electrochemical Immunosensor for Specific Detection of Visceral Leishmaniasis Using Gold-Modified Screen-Printed Carbon Electrodes. Biosensors 2020, 10, 81. [Google Scholar] [CrossRef]
- Alanazi, A.D.; Alnomasy, S.F. Immunomodulatory, Antioxidant, and Anti-Inflammatory Activities of Green Synthesized Copper Nanoparticles for Treatment of Chronic Toxoplasma gondii Infection. Pharmaceuticals 2023, 16, 1574. [Google Scholar] [CrossRef]
- Ruda, D.A.; Al-Karam, L.Q.; Ghadhban, E. The Effect of Calcination Temperature and Solvent on the Synthesis of CuO Nanoparticles and Assessment as an Anti-Leishmania Agent. AIP Conf. Proc. 2019, 2190, 020067. [Google Scholar] [CrossRef]
- Iqbal, J.; Abbasi, B.A.; Ahmad, R.; Mahmoodi, M.; Munir, A.; Zahra, S.A.; Shahbaz, A.; Shaukat, M.; Kanwal, S.; Uddin, S.; et al. Phytogenic Synthesis of Nickel Oxide Nanoparticles (NiO) Using Fresh Leaves Extract of Rhamnus Triquetra (Wall.) and Investigation of Its Multiple In Vitro Biological Potentials. Biomedicines 2020, 8, 117. [Google Scholar] [CrossRef]
- Khalil, A.T.; Ovais, M.; Ullah, I.; Ali, M.; Shinwari, Z.K.; Hassan, D.; Maaza, M. Sageretia Thea (Osbeck.) Modulated Biosynthesis of NiO Nanoparticles and Their in Vitro Pharmacognostic, Antioxidant and Cytotoxic Potential. Artif. Cells Nanomed. Biotechnol. 2018, 46, 838–852. [Google Scholar] [CrossRef]
- Mohan, S.; Srivastava, P.; Maheshwari, S.N.; Sundar, S.; Prakash, R. Nano-Structured Nickel Oxide Based DNA Biosensor for Detection of Visceral Leishmaniasis (Kala-Azar). Analyst 2011, 136, 2845–2851. [Google Scholar] [CrossRef]
- Saleh, F.; Kheirandish, F.; Abbasi, M.; Ahmadpour, F.; Veiskarami, S.; Mirderikvand, A. Comparison of Biosynthetic Zinc Oxide Nanoparticle and Glucantime Cytotoxic Effects on Leishmania major (MRHO/IR/75/ER). J. Basic Microbiol. 2024, 64, 2300490. [Google Scholar] [CrossRef]
- Mahmoudi, M.; Shabani, M.; Dehdast, S.A.; Saberi, S.; Elmi, T.; Chiari Fard, G.; Tabatabaie, F.; Akbari, S. The Characterization and Antileishmanial Evaluation on Leishmania Major with Chitosan/Zno Bio-Nanocomposite as Drug Delivery Systems. Nanomed. Res. J. 2022, 7, 140–149. [Google Scholar] [CrossRef]
- Nadhman, A.; Nazir, S.; Ihsanullah Khan, M.; Arooj, S.; Bakhtiar, M.; Shahnaz, G.; Yasinzai, M. PEGylated Silver Doped Zinc Oxide Nanoparticles as Novel Photosensitizers for Photodynamic Therapy against Leishmania. Free Radic. Biol. Med. 2014, 77, 230–238. [Google Scholar] [CrossRef]
- Jan, H.; Shah, M.; Usman, H.; Khan, M.A.; Zia, M.; Hano, C.; Abbasi, B.H. Biogenic Synthesis and Characterization of Antimicrobial and Antiparasitic Zinc Oxide (ZnO) Nanoparticles Using Aqueous Extracts of the Himalayan Columbine (Aquilegia pubiflora). Front. Mater. 2020, 7, 249. [Google Scholar] [CrossRef]
- Khashan, K.S.; Sulaiman, G.M.; Hussain, S.A.; Marzoog, T.R.; Jabir, M.S. Synthesis, Characterization and Evaluation of Anti-Bacterial, Anti-Parasitic and Anti-Cancer Activities of Aluminum-Doped Zinc Oxide Nanoparticles. J. Inorg. Organomet. Polym. 2020, 30, 3677–3693. [Google Scholar] [CrossRef]
- Hamdy, D.A.; Ismail, M.A.M.; El-Askary, H.M.; Abdel-Tawab, H.; Ahmed, M.M.; Fouad, F.M.; Mohamed, F. Newly Fabricated Zinc Oxide Nanoparticles Loaded Materials for Therapeutic Nano Delivery in Experimental Cryptosporidiosis. Sci. Rep. 2023, 13, 19650. [Google Scholar] [CrossRef]
- Albalawi, A.E.; Shater, A.F.; Alanazi, A.D.; Almohammed, H.I. Unveiling of the Antileishmanial Activities of Linalool Loaded Zinc Oxide Nanocomposite through Its Potent Antioxidant and Immunomodulatory Effects. Acta Trop. 2024, 252, 107155. [Google Scholar] [CrossRef]
- Nazir, S.; Rabbani, A.; Mehmood, K.; Maqbool, F.; Shah, G.M.; Khan, M.F.; Sajid, M. Antileishmanial Activity and Cytotoxicity of ZnO-Based Nano-Formulations. Int. J. Nanomed. 2019, 14, 7809–7822. [Google Scholar] [CrossRef]








| Ligand | Metal | Parasite | SI | Reference |
|---|---|---|---|---|
| Ketoconazole | Ru(II/III) | L. major | 150.0 | [126] |
| Clotrimazole | Ru(II/III) | L. major | 500.0 | [127] |
| [1,2,4]Triazolo [1,5-a]Pyrimidine | Cd(II), Cu(II) and Zn(II) | L. infantum, L. braziliensis | 3.1 | [128] |
| [1,2,4]Triazolo [1,5-a]Pyrimidine | Ni(II) | L. infantum, L. braziliensis | 20.0 | [129] |
| [1,2,4]Triazolo [1,5-a]Pyrimidine | Ru(II/III) | L. infantum, L. braziliensis and L. donovani | 52.0 | [130] |
| [1,2,4]Triazolo [1,5-a]Pyrimidine | La(III), Nd(III), Eu(III), Gd(III), Tb(III), Dy(III) and Er(III) | L. infantum, L. braziliensis | 49.9 | [131] |
| [1,2,4]Triazolo [1,5-a]Pyrimidine | Cu(II) | L. infantum, L. braziliensis, L. peruviana, L. mexicana and L. donovani | 54.0 | [132] |
| N-heterocyclic carbene–quinoline | Au(I) | L. infantum | 9.8 | [133] |
| 1,10-phenanthroline | Cu(II) and Ag(I) | L. amazonensis | 43.4 | [134] |
| Ibuprofen | Ni(II), Mn(II) and Pd(II) | L. amazonensis | 3.3 | [135] |
| Diclofenac | Mn(II), Ni(II) and Co(II) | L. infantum, L. braziliensis and L. donovani | 58.8 | [136] |
| Triethylphosphine | Au(I) | L. infantum, L. braziliensis | 5.6 | [137] |
| Bumetanide | Zn(II) | L. infantum, L. braziliensis and L. donovani | 22.2 | [138] |
| Type | Applications and Advantages against Leishmania spp. | References |
|---|---|---|
| Silver nanoparticles | Improve water solubility of leishmanicidal molecules; provide muco-adhesion and muco-permeation. | [178,183] |
| Gold nanoparticles | Direct leishmanicidal effect; lesihmaniasis biorecognition molecules carrier. | [189,191,192,193,194] |
| Copper nanoparticles | Leishmanicidal organic molecules vehicle; gas sensor for the detection of cutaneous leishmaniasis. | [195] |
| Copper oxide nanoparticles | Increase mortality rate of intra and extracellular forms of leishmania. | [177,196] |
| Nickel oxide nanoparticles | Low IC50 values; biosensor for visceral leishmaniasis. | [198,199] |
| Zinc oxide nanoparticles | Photodynamic therapy; lower toxicity versus commercial drug Glucantime. | [200,202,207] |
Disclaimer/Publisher’s Note: The statements, opinions and data contained in all publications are solely those of the individual author(s) and contributor(s) and not of MDPI and/or the editor(s). MDPI and/or the editor(s) disclaim responsibility for any injury to people or property resulting from any ideas, methods, instructions or products referred to in the content. |
© 2024 by the authors. Licensee MDPI, Basel, Switzerland. This article is an open access article distributed under the terms and conditions of the Creative Commons Attribution (CC BY) license (https://creativecommons.org/licenses/by/4.0/).
Share and Cite
Jimenez-Falcao, S.; Mendez-Arriaga, J.M. Recent Advances in Metal Complexes Based on Biomimetic and Biocompatible Organic Ligands against Leishmaniasis Infections: State of the Art and Alternatives. Inorganics 2024, 12, 190. https://doi.org/10.3390/inorganics12070190
Jimenez-Falcao S, Mendez-Arriaga JM. Recent Advances in Metal Complexes Based on Biomimetic and Biocompatible Organic Ligands against Leishmaniasis Infections: State of the Art and Alternatives. Inorganics. 2024; 12(7):190. https://doi.org/10.3390/inorganics12070190
Chicago/Turabian StyleJimenez-Falcao, Sandra, and Jose Manuel Mendez-Arriaga. 2024. "Recent Advances in Metal Complexes Based on Biomimetic and Biocompatible Organic Ligands against Leishmaniasis Infections: State of the Art and Alternatives" Inorganics 12, no. 7: 190. https://doi.org/10.3390/inorganics12070190
APA StyleJimenez-Falcao, S., & Mendez-Arriaga, J. M. (2024). Recent Advances in Metal Complexes Based on Biomimetic and Biocompatible Organic Ligands against Leishmaniasis Infections: State of the Art and Alternatives. Inorganics, 12(7), 190. https://doi.org/10.3390/inorganics12070190
