Mesoporous Titania Nanoparticles for a High-End Valorization of Vitis vinifera Grape Marc Extracts
Abstract
1. Introduction
2. Results
2.1. Obtaining and Characterization of Mesoporous Matrices
2.1.1. X-ray Diffraction
2.1.2. Morphology of Mesoporous Inorganic Matrices
2.1.3. FTIR Spectroscopy
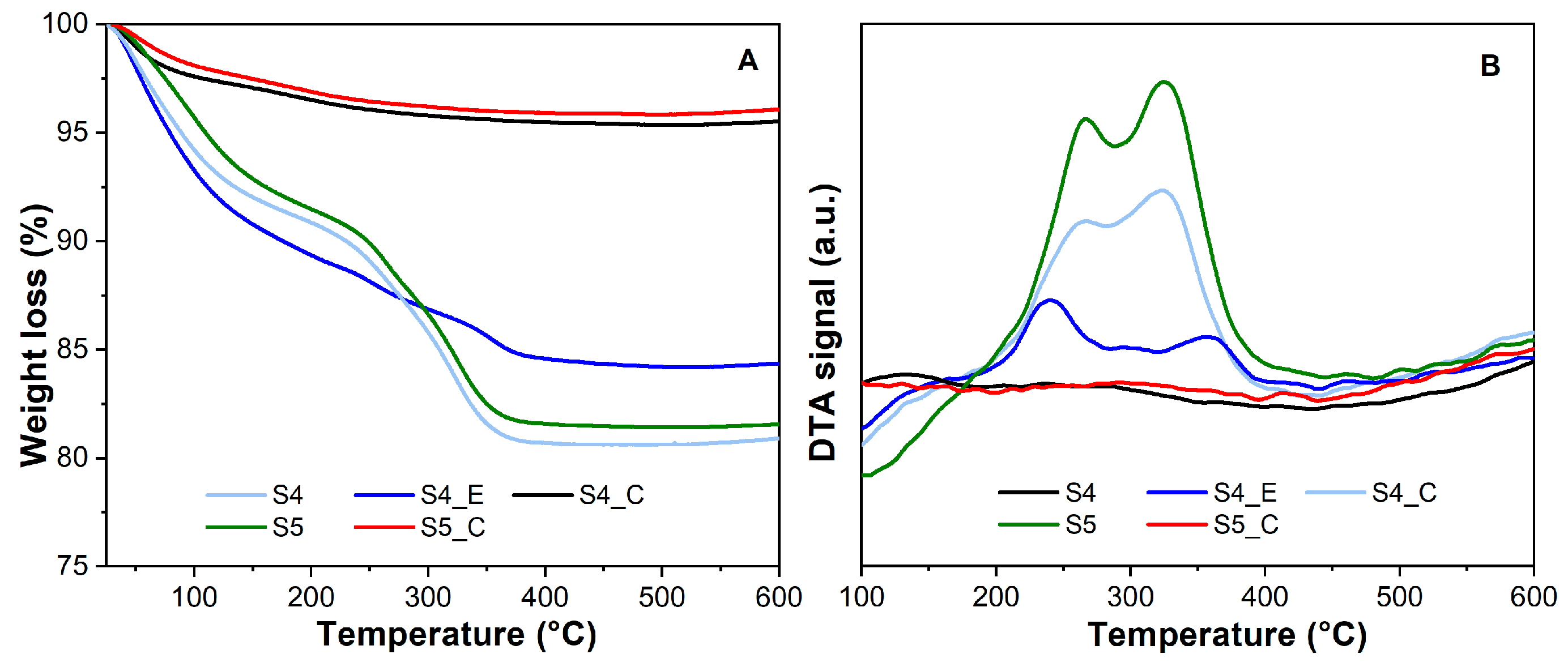
2.1.4. Thermal Analysis
2.1.5. Evaluation of the Porosity for Mesoporous Inorganic Matrices
2.2. Obtaining and Characterization of Red GM Extracts
2.3. Characterization of Materials Containing FN Extract
2.4. Assessment of Cytocompatibility of the Polyphenolic Extract, Materials Containing Extract, and Corresponding Mesoporous Supports
3. Discussion
4. Materials and Methods
4.1. Obtaining of Mesoporous Inorganic Matrices
4.2. Materials Characterization
4.3. Extracts Preparation
4.4. Characterization of Polyphenolic Extracts
4.5. Cytocompatibility Evaluation
5. Conclusions
Supplementary Materials
Author Contributions
Funding
Institutional Review Board Statement
Data Availability Statement
Conflicts of Interest
References
- Manzano, M.; Vallet-Regí, M. Mesoporous Silica Nanoparticles for Drug Delivery. Adv. Funct. Mater. 2019, 30, 1902634. [Google Scholar] [CrossRef]
- Castillo, R.R.; Lozano, D.; González, B.; Manzano, M.; Izquierdo-Barba, I.; Vallet-Regí, M. Advances in mesoporous silica nanoparticles for targeted stimuli-responsive drug delivery: An update. Expert Opin. Drug Deliv. 2019, 16, 415. [Google Scholar] [CrossRef] [PubMed]
- Janjua, T.I.; Cao, Y.; Yu, C.; Popat, A. Clinical translation of silica nanoparticles. Nat. Rev. Mater. 2021, 6, 1072–1074. [Google Scholar] [CrossRef] [PubMed]
- Farjadian, F.; Roointan, A.; Mohammadi-Samani, S.; Hosseini, M. Mesoporous Silica Nanoparticles: Synthesis, Pharmaceutical Applications, Biodistribution, and Biosafety Assessment. Chem. Eng. J. 2019, 359, 684–705. [Google Scholar] [CrossRef]
- Mao, T.; Zha, J.; Hu, Y.; Chen, Q.; Zhang, J.; Luo, X. Research Progress of TiO2 Modification and Photodegradation of Organic Pollutants. Inorganics 2024, 12, 178. [Google Scholar] [CrossRef]
- Aw, M.S.; Addai-Mensah, J.; Losic, D. A multi-drug delivery system with sequential release using titania. Chem. Commun. 2012, 48, 3348–3350. [Google Scholar] [CrossRef]
- Ghenadi, E.; Nichele, V.; Signoretto, M.; Cerrato, G. Structure-Directing Agents for the Synthesis of TiO2-Based Drug-Delivery Systems. Chem. Eur. J. 2012, 18, 10653–10660. [Google Scholar]
- Inada, M.; Enomoto, N.; Hojo, J. Fabrication and structural analysis of mesoporous silica–titania for environmental purification. Microporous Mesoporous Mater. 2013, 182, 173–177. [Google Scholar] [CrossRef]
- Georgescu, D.; Brezoiu, A.M.; Mitran, R.A.; Berger, D.; Matei, C.; Negreanu-Pîrjol, B.S. Mesostructured silica–titania composites for improved oxytetracycline delivery systems. Comptes Rendus Chim. 2017, 20, 1017–1025. [Google Scholar] [CrossRef]
- Behnam, M.A.; Emami, F.; Sobhani, Z.; Dehghanian, A.R. The application of titanium dioxide (TiO2) nanoparticles in the photo-thermal therapy of melanoma cancer model. Iran. J. Basic Med. Sci. 2018, 21, 1133–1139. [Google Scholar]
- Mansoor, A.; Khurshid, Z.; Khan, M.T.; Mansoor, E.; Butt, F.A.; Jamal, A.; Palma, P.J. Medical and Dental Applications of Titania Nanoparticles: An Overview. Nanomaterials 2022, 12, 3670. [Google Scholar] [CrossRef] [PubMed]
- Kubacka, A.; Diez, M.; Rojo, D. Understanding the antimicrobial mechanism of TiO2-based nanocomposite films in a pathogenic bacterium. Sci. Rep. 2014, 4, 4134. [Google Scholar] [CrossRef]
- Zhang, R.; Elzatahry, A.A.; Al-Deyab, S.S.; Zhao, D. Mesoporous titania: From synthesis to application. Nano Today 2012, 7, 344–366. [Google Scholar] [CrossRef]
- Drosou, C.; Kyriakopoulou, K.; Bimpilas, A.; Tsimogiannis, D.; Krokida, M. A comparative study on different extraction techniques to recover red grape pomace polyphenols from vinification byproducts. Ind. Crops Prod. 2015, 75, 141–149. [Google Scholar] [CrossRef]
- Iacono, E.; Di Marzo, C.; Di Stasi, M.; Cioni, E.; Gambineri, F.; Luminare, A.G.; De Leo, M.; Braca, A.; Quaranta, P.; Lai, M.; et al. Broad-spectrum virucidal activity of a hydroalcoholic extract of grape pomace. Bioresour. Technol. Rep. 2024, 25, 101745. [Google Scholar] [CrossRef]
- Balea, S.S.; Pârvu, A.E.; Pârvu, M.; Vlase, L.; Dehelean, C.A.; Pop, T.I. Antioxidant, Anti-Inflammatory and Antiproliferative Effects of the Vitis vinifera L. var. Feteasca Neagra and Pinot Noir Pomace Extracts. Front. Pharmacol. 2020, 11, 990. [Google Scholar] [CrossRef]
- Robards, K.; Prenzler, P.D.; Tucker, G.; Swatsitang, P.; Glover, W. Phenolic compounds and their role in oxidative processes in fruits. Food Chem. 1999, 66, 401–436. [Google Scholar] [CrossRef]
- Goldberg, D.M.; Tsang, E.; Karumanchiri, A.; Soleas, G.J. Quercetin and p-coumaric acid concentrations in commercial wines. Am. J. Enol. Vitic. 1998, 49, 142–151. [Google Scholar] [CrossRef]
- Hoss, I.; Rajha, H.N.; El Khoury, R.; Youssef, S.; Manca, M.L.; Manconi, M.; Louka, N.; Maroun, R.G. Valorization of Wine-Making By-Products’ Extracts in Cosmetics. Cosmetics 2021, 8, 109. [Google Scholar] [CrossRef]
- Wasilewski, T.; Hordyjewicz-Baran, Z.; Zarebska, M.; Stanek, N.; Zajszły-Turko, E.; Tomaka, M.; Bujak, T.; Nizioł-Łukaszewska, Z. Sustainable Green Processing of Grape Pomace Using Micellar Extraction for the Production of Value-Added Hygiene Cosmetics. Molecules 2022, 27, 2444. [Google Scholar] [CrossRef]
- Moro, K.I.B.; Bender, A.B.B.; da Silva, L.P.; Penna, N.G. Green Extraction Methods and Microencap-sulation Technologies of Phenolic Compounds from Grape Pomace: A Review. Food Bioprocess Technol. 2021, 14, 1407–1431. [Google Scholar] [CrossRef]
- Okur, P.S.; Okur, I. Recent Advances in the Extraction of Phenolic Compounds from Food Wastes by Emerging Technologies. Food Bioprocess Technol. 2024. [Google Scholar] [CrossRef]
- Brezoiu, A.-M.; Matei, C.; Deaconu, M.; Stanciuc, A.-M.; Trifan, A.; Gaspar-Pintiliescu, A.; Berger, D. Polyphenols extract from grape pomace. Characterization and valorisation through encapsulation into mesoporous silica-type matrices. Food Chem. Toxicol. 2019, 133, 110787. [Google Scholar] [CrossRef] [PubMed]
- Nithya, N.; Bhoopathi, G.; Magesh, G.; Balasundaram, O.N. Synthesis and characterization of yttrium doped titania nanoparticles for gas sensing activity. Mater. Sci. Semicond. Process. 2019, 99, 14–22. [Google Scholar] [CrossRef]
- Lee, J.; Durst, R.W.; Wrolstad, R.E. Determination of Total Monomeric Anthocyanin Pigment Content of Fruit Juices, Beverages, Natural colorants and Wines by the pH- differential method: Collaborative Study. J. AOAC Int. 2005, 88, 1269–1278. [Google Scholar] [CrossRef]
- Deaconu, M.; Abduraman, A.; Brezoiu, A.-M.; Sedky, N.K.; Ionită, S.; Matei, C.; Ziko, L.; Berger, D. Anti-Inflammatory, Antidiabetic, and Antioxidant Properties of Extracts Prepared from Pinot Noir Grape Marc, Free and Incorporated in Porous Silica-Based Supports. Molecules 2024, 29, 3122. [Google Scholar] [CrossRef] [PubMed]
- Socrates, G. Infrared and Raman Characteristic Group Frequencies, 3rd ed.; John Wiley & Sons Ltd.: Chichester, UK, 2001. [Google Scholar]
- Wu, Y.; Gao, H.; Wang, Y.; Peng, Z.; Guo, Z.; Ma, Y.; Zhang, R.; Zhang, M.; Wu, Q.; Xiao, J.; et al. Effects of Different Extraction Methods on Contents, Profiles, and Antioxidant Abilities of Free and Bound Phenolics of Sargassum Polycystum from the South China Sea. J. Food Sci. 2022, 87, 968–981. [Google Scholar] [CrossRef]
- Pandey, K.B.; Rizvi, S.I. Role of red grape polyphenols as antidiabetic agents. Integr. Med. Res. 2014, 3, 119–125. [Google Scholar] [CrossRef]
- Denny, C.; Lazarini, J.G.; Franchin, M.; Melo, P.S.; Pereira, G.E.; Massarioli, A.P.; Moreno, I.A.M.; Paschoal, J.A.R.; Alencar, S.M.; Rosalen, P.L. Bioprospection of Petit Verdot grape pomace as a source of anti-inflammatory compounds. J. Funct. Foods 2014, 8, 292–300. [Google Scholar] [CrossRef]
- Szewczyk, A.; Brzezinska-Rojek, J.; Osko, J.; Majda, D.; Prokopowicz, M.; Grembecka, M. Antioxidant-Loaded Mesoporous Silica—An Evaluation of the Physicochemical Properties. Antioxidants 2022, 11, 1417. [Google Scholar] [CrossRef]
- Tsali, A.; Goula, A.M. Valorization of grape pomace: Encapsulation and storage stability of its phenolic extract. Powder Technol. 2018, 340, 194–207. [Google Scholar] [CrossRef]
- Machado, T.O.X.; Portugal, I.; de A. C. Kodel, H.; Droppa-Almeida, D.; Dos Santos Lima, M.; Fathi, F.; Oliveira, B.P.P.; de Albuquerque-Júnior, R.L.C.; Claudio Dariva, C.; Souto, E.B. Therapeutic potential of grape pomace extracts: A review of scientific evidence. Food Biosci. 2024, 60, 104210. [Google Scholar]
- Almanza-Oliveros, A.; Bautista-Hernández, I.; Castro-López, C.; Aguilar-Zárate, P.; Meza-Carranco, Z.; Rojas, R.; Michel, M.R.; Martínez-Ávila, G.C.G. GrapePomace—Advances in Its Bioactivity, Health Benefits, and Food Applications. Foods 2024, 13, 580. [Google Scholar] [CrossRef]
- Sateriale, D.; Forgione, G.; Di Rosario, M.; Pagliuca, C.; Colicchio, R.; Salvatore, P.; Paolucci, M.; Pagliarulo, C. Vine-Winery Byproducts as Precious Resource of Natural Antimicrobials: In Vitro Antibacterial and Antibiofilm Activity of Grape Pomace Extracts against Foodborne Pathogens. Microorganisms 2024, 12, 437. [Google Scholar] [CrossRef]
- Constantin, O.E.; Skrt, M.; Poklar Ulrih, N.; Râpeanu, G. Anthocyanins profile, total phenolics and antioxidant activity of two Romanian red grape varieties: Feteascǎ neagrǎ and Bǎbeascǎ neagrǎ (Vitis vinifera). Chem. Pap. 2015, 69, 1573–1581. [Google Scholar] [CrossRef]
- Castro, M.L.; Azevedo-Silva, J.; Valente, D.; Machado, A.; Ribeiro, T.; Ferreira, J.P.; Pintado, M.; Ramos, O.L.; Borges, S.; Baptista-Silva, S. Elevating Skincare Science: Grape Seed Extract Encapsulation for Dermatological Care. Molecules 2024, 29, 3717. [Google Scholar] [CrossRef]
- Raschip, I.E.; Fifere, N.; Dinu, M.V. A Comparative Analysis on the Effect of Variety of Grape Pomace Extracts on the Ice-Templated 3D Cryogel Features. Gels 2021, 7, 76. [Google Scholar] [CrossRef] [PubMed]
- Martinović, J.; Ambrus, R.; Planinić, M.; Šelo, G.; Klarić, A.-M.; Perković, G.; Bucić-Kojić, A. Microencapsulation of Grape Pomace Extracts with Alginate-Based Coatings by Freeze-Drying: Release Kinetics and In Vitro Bioaccessibility Assessment of Phenolic Compounds. Gels 2024, 10, 353. [Google Scholar] [CrossRef] [PubMed]
- Ariraman, S.; Seetharaman, A.; Babunagappan, K.V.; Sudhakar, S. Quercetin-loaded nanoarchaeosomes for breast cancer therapy: A ROS mediated cell death mechanism. Mater. Adv. 2024, 5, 6944–6956. [Google Scholar] [CrossRef]
- Zu, Y.; Zhang, Y.; Wang, W.; Zhao, X.; Han, X.; Wang, K.; Ge, Y. Preparation and in vitro/in vivo evaluation of resvera-trol-loaded carboxymethyl chitosan nanoparticles. Drug Deliv. 2016, 23, 981–991. [Google Scholar] [CrossRef]
- Vieira, I.R.S.; Tessaro, L.; Lima, A.K.O.; Velloso, I.P.S.; Conte-Junior, C.A. Recent Progress in Nanotechnology Improving the Therapeutic Potential of Polyphenols for Cancer. Nutrients 2023, 15, 3136. [Google Scholar] [CrossRef]
- Shi, J.; Zhang, R.; Wang, Y.; Sun, Y.; Gu, X.; An, Y.; Chai, X.; Wang, X.; Wang, Z.; Lyu, Y.; et al. Herb-Nanoparticle Hybrid System for Improved Oral Delivery Efficiency to Alleviate Breast Cancer Lung Metastasis. Int. J. Nanomed. 2024, 19, 7927–7944. [Google Scholar] [CrossRef] [PubMed]
- Budiman, A.; Rusdin, A.; Wardhana, Y.W.; Puluhulawa, L.E.; Cindana Mo’o, F.R.; Thomas, N.; Gazzali, A.M.; Aulifa, D.L. Exploring the Transformative Potential of Functionalized Mesoporous Silica in Enhancing Antioxidant Activity: A Comprehensive Review. Antioxidants 2024, 13, 936. [Google Scholar] [CrossRef]
- Deaconu, M.; Prelipcean, A.M.; Brezoiu, A.M.; Mitran, R.A.; Seciu-Grama, A.M.; Matei, C.; Berger, D. Design of scaffolds based on zinc-modified marine collagen and bilberry leaves extract-loaded silica nanoparticles as wound dressings. Int. J. Nanomed. 2024, 19, 7673–7689. [Google Scholar] [CrossRef] [PubMed]
- Trendafilova, I.; Popova, M. Porous Silica Nanomaterials as Carriers of Biologically Active Natural Polyphenols: Effect of Structure and SurfaceModification. Pharmaceutics 2024, 16, 1004. [Google Scholar] [CrossRef]
- Brezoiu, A.-M.; Bajenaru, L.; Berger, D.; Mitran, R.-A.; Deaconu, M.; Lincu, D.; Guzun, A.S.; Matei, C.; Moisescu, M.G.; Negreanu-Pirjol, T. Effect of Nanoconfinement of Polyphenolic Extract from Grape Pomace into Functionalized Mesoporous Silica on its Biocompatibility and Radical Scavenging Activity. Antioxidants 2020, 9, 696. [Google Scholar] [CrossRef]
- Brezoiu, A.-M.; Deaconu, M.; Mitran, R.-A.; Sedky, N.K.; Schiets, F.; Marote, P.; Voicu, I.-S.; Matei, C.; Ziko, L.; Berger, D. The Antioxidant and Anti-Inflammatory Properties of Wild Bilberry Fruit Extracts Embedded in Meso-porous Silica-Type Supports: A Stability Study. Antioxidants 2024, 13, 250. [Google Scholar] [CrossRef]
- Popovici, V.; Boldianu, A.-B.; Pintea, A.; Caraus, V.; Ghendov-Mosanu, A.; Subotin, I.; Druta, R.; Sturza, R. In Vitro Antioxidant Activity of Liposomal Formulations of Sea Buckthorn and Grape Pomace. Foods 2024, 13, 2478. [Google Scholar] [CrossRef] [PubMed]
- Bousiakou, L.G.; Dobson, P.J.; Jurkin, T.; Marić, I.; Aldossary, O.; Ivanda, M. Optical, structural and semiconducting properties of Mn doped TiO2 nanoparticles for cosmetic applications. J. King Saud Univ.-Sci. 2022, 34, 101818. [Google Scholar] [CrossRef]
- Brezoiu, A.M.; Prundeanu, M.; Berger, D.; Deaconu, M.; Matei, M.; Oprea, O.; Vasile, E.; Negreanu-Pîrjol, T.; Mun-tean, D.; Danciu, C. Properties of Salvia officinalis L. and Thymus serpyllum L. Extracts Free and Embedded into Mesopores of Silica and Titania Nanomaterials. Nanomaterials 2020, 10, 820. [Google Scholar] [CrossRef]
- Shi, Y.; Chen, S.; Sun, H.; Shu, Y.; Quan, X. Low-temperature selective catalytic reduction of NOx with NH3 over hierarchically macro-mesoporous Mn/TiO2. Catal. Commun. 2013, 42, 10–13. [Google Scholar] [CrossRef]
- Samsudin, E.M.; Abd Hamid, S.B.; Juan, J.C.; Basirun, W.J. Influence of triblock copolymer (pluronic F127) on enhancing the physico-chemical properties and photocatalytic response of mesoporous TiO2. Appl. Surf. Sci. 2015, 355, 959–968. [Google Scholar] [CrossRef]
- Wang, Y.; Zhang, F.; Chen, S.; Osaka, A.; Chen, W. Facile synthesis, characterization, and in vitro biocompatibility of free-standing titania hollow microtubes. Int. J. Appl. Ceram. Technol. 2024, 21, 3897–3905. [Google Scholar] [CrossRef]
- Torres-Romero, A.; Cajero-Juárez, M.; Nuñez-Anita, R.E.; Contreras-García, M.E. Ceria-Doped Titania Nanoparticles as Drug Delivery System. J. Nanosci. Nanotechnol. 2020, 20, 3971–3980. [Google Scholar] [CrossRef] [PubMed]
- Sahare, P.; Alvarez, P.G.; Yanez, J.M.; Luna-Bárcenas, G.; Chakraborty, S.; Paul, S.; Estevez, M. Engineered titania nanomaterials in advanced clinical applications. Beilstein J. Nanotechnol. 2022, 13, 201–218. [Google Scholar] [CrossRef] [PubMed]
- Zhao, D.; Feng, J.; Huo, Q.; Melosh, N.; Fredrickson, G.H.; Chmelka, B.F.; Stucky, G.D. Triblock Copolymer Syntheses of Mesoporous Silica with Periodic 50 to 300 Angstrom Pores. Science 1998, 279, 548. [Google Scholar] [CrossRef]
- Gavrila, A.I.; Zalaru, C.M.; Tatia, R.; Seciu-Grama, A.-M.; Negrea, C.L.; Calinescu, I.; Chipurici, P.; Trifan, A.; Popa, I. Green Ex-traction Techniques of Phytochemicals from Hedera helix L. and In Vitro Characterization of the Extracts. Plants 2023, 12, 3908. [Google Scholar]










| Sample | Solvent | Titania Precursor | Template Agent | Ti Precursor/Template Agent Molar Ratio |
|---|---|---|---|---|
| S1 | n-butanol | Ti(OnBu)4 | P123 | 1/0.017 |
| S2 | n-butanol | Ti(OnBu)4 | P123 | 1/0.034 |
| S3 | 2-propanol | Ti(OiPr)4 | P123 | 1/0.017 |
| S4 | 2-propanol | Ti(OiPr)4 | P123 | 1/0.034 |
| S5 | 2-propanol | Ti(OiPr)4 | F127 | 1/0.017 |
| S6 | n-butanol | Ti(OnBu)4 | F127 | 1/0.017 |
| Sample | SBET (m2/g) | V (cm3/g) | dBJH (nm) |
|---|---|---|---|
| S1_E | 258 | 0.34 | 6.8 |
| S2_E | 312 | 0.43 | 3.7 |
| S2_C | 142 | 0.42 | 6.8 |
| S3_C | 126 | 0.42 | 7.4 |
| S4_E | 274 | 0.30 | 3.7 |
| S4_C | 154 | 0.36 | 5.8 |
| S5_C | 153 | 0.33 | 5.4 |
| S6_C | 153 | 0.31 | 6.3 |
| SBA-15 | 984 | 1.31 | 6.3 |
| Extract | Year, Solvent | Yield (%) | TP (mgGA/g) | TF (mgQ/g) | TA (mg CG/g) |
|---|---|---|---|---|---|
| FN | 2019, 50% ethanol | 13.2 | 295.46 ± 1.33 | 14.82 ± 0.51 | 7.35 ± 1.89 |
| FN(E) | 2018, ethanol | 0.4 | 71.02 ± 0.22 | 12.31 ± 0.64 | 20.42 ± 4.26 |
| FN(E-W) | 2018, 50% ethanol | 6.5 | 147.71 ± 8.6 | 5.06 ± 0.12 | 3.56 ± 0.24 |
| PN | 2019, 50% ethanol | 11.8 | 138.49 ± 3.49 | 11.94 ± 0.03 | 4.29 ± 0.00 |
| PN(E) | 2018, ethanol | 1.3 | 47.09 ± 0.99 | 13.34 ± 4.11 | 2.86 ± 0.00 |
| Phenolic Substance | Concentration (mg/g Dried Extract) | ||||
|---|---|---|---|---|---|
| FN | FN(E) | FN(E-W) | PN | PN(E) | |
| Gallic Acid | 1.150 ± 0.004 | 0.594 ± 0.001 | 0.437 ± 0.000 | 0.238 ± 0.008 | 0.723 ± 0.000 |
| Protocatechuic acid | 0.541 ± 0.001 | 0.714 ± 0.000 | 0.078 ± 0.002 | 0.367 ± 0.001 | 1.748 ± 0.001 |
| Catechin | 0.087 ± 0.001 | nd | 5.978 ± 0.000 | 1.164 ± 0.002 | 0.504 ± 0.001 |
| Caftaric acid | nd | nd | 0.050 ± 0.000 | nd | nd |
| Vanillic acid | 1.091 ± 0.003 | 0.826 ± 0.000 | 0. 334 ± 0.007 | 1.424 ± 0.004 | 0.309 ± 0.000 |
| Syringic acid | 2.492 ± 0.004 | 1.490 ± 0.000 | 0.674 ± 0.000 | 2.043 ± 0.006 | 1.869 ± 0.003 |
| p-Coumaric acid | nd | 0.083 ± 0.000 | nd | nd | 0.035 ± 0.001 |
| (-) Epicatechin | 2.755 ± 0.006 | nd | 4.757 ± 0.001 | 0.644 ± 0.002 | nd |
| Delphinidin | nd | nd | 0.593 ± 0.010 | nd | nd |
| Rutin | 0.582 ± 0.001 | 0.191 ± 0.001 | 0.702 ± 0.001 | 0.427 ± 0.000 | 0.139 ± 0.000 |
| trans-Resveratrol | 0.023 ± 0.001 | 0.082 ± 0.000 | nd | nd | 0.080 ± 0.000 |
| Quercetin | 0.160 ± 0.001 | 0.370 ± 0.000 | 0.133 ± 0.000 | 0.073 ± 0.001 | 0.280 ± 0.000 |
Disclaimer/Publisher’s Note: The statements, opinions and data contained in all publications are solely those of the individual author(s) and contributor(s) and not of MDPI and/or the editor(s). MDPI and/or the editor(s) disclaim responsibility for any injury to people or property resulting from any ideas, methods, instructions or products referred to in the content. |
© 2024 by the authors. Licensee MDPI, Basel, Switzerland. This article is an open access article distributed under the terms and conditions of the Creative Commons Attribution (CC BY) license (https://creativecommons.org/licenses/by/4.0/).
Share and Cite
Abduraman, A.; Brezoiu, A.-M.; Tatia, R.; Iorgu, A.-I.; Deaconu, M.; Mitran, R.-A.; Matei, C.; Berger, D. Mesoporous Titania Nanoparticles for a High-End Valorization of Vitis vinifera Grape Marc Extracts. Inorganics 2024, 12, 263. https://doi.org/10.3390/inorganics12100263
Abduraman A, Brezoiu A-M, Tatia R, Iorgu A-I, Deaconu M, Mitran R-A, Matei C, Berger D. Mesoporous Titania Nanoparticles for a High-End Valorization of Vitis vinifera Grape Marc Extracts. Inorganics. 2024; 12(10):263. https://doi.org/10.3390/inorganics12100263
Chicago/Turabian StyleAbduraman, Anil, Ana-Maria Brezoiu, Rodica Tatia, Andreea-Iulia Iorgu, Mihaela Deaconu, Raul-Augustin Mitran, Cristian Matei, and Daniela Berger. 2024. "Mesoporous Titania Nanoparticles for a High-End Valorization of Vitis vinifera Grape Marc Extracts" Inorganics 12, no. 10: 263. https://doi.org/10.3390/inorganics12100263
APA StyleAbduraman, A., Brezoiu, A.-M., Tatia, R., Iorgu, A.-I., Deaconu, M., Mitran, R.-A., Matei, C., & Berger, D. (2024). Mesoporous Titania Nanoparticles for a High-End Valorization of Vitis vinifera Grape Marc Extracts. Inorganics, 12(10), 263. https://doi.org/10.3390/inorganics12100263

