Abstract
Complexes of Schiff bases (SBs) with metals are promising compounds exhibiting a broad range of applications, such as catalysts, polymers, dyes, and several biological activities, including antimicrobial, anticancer, antioxidant, antimalarial, analgesic, antiviral, antipyretic, and antidiabetic actions. Considering the crisis that the whole world is now facing against antimicrobial-resistant bacteria, in the present review, we chose to focus on the activity of SBs as antimicrobials, particularly underlying the most recent studies in this field. Finally, some interesting catalytic applications recently described for metal complexes with SBs have also been discussed.
1. Introduction
The widespread usage of SBs in chemistry, industry, medicine, and pharmacy has notably enhanced the interest in these intriguing compounds [1,2]. The functional feature of SBs is represented by the azomethine group -C=N-, where the substituents may be alkyl, aryl, or heterocyclic groups. The carbon atom of the imine bond is predisposed to nucleophilic addition, whereas the nitrogen atom holds an extremely reactive free electron pair, able to form stable complexes with metals. The catalytic activity of SBs [3], their corrosion inhibition behavior [4], as well as the action as photosensitizers [5], and fluorescent chemo-sensors tools for the detection of Cu2+ and Fe3+ metal ions [6] have been reported. Moreover, numerous biological activities were described in the literature for these compounds [7,8,9], such as antitumoral [10,11,12]; antimicrobial [13]; antimalarial [14]; antioxidant; neuroprotective; antidiabetic; antidepressant [15]; anti-inflammatory [16]; and acetylcholinesterase (AChE)-, butyrylcholinesterase (BChE)- [17,18,19], and carbonic anhydrase-inhibiting [20] ones. Moreover, coatings made of SBs have been shown to improve the bioactivity of materials, suggesting the use of these compounds in medicine [21]. In a biological context, the azomethine nitrogen of SBs represents a site for the binding of metal ions with numerous biomolecules, including proteins and amino acids, responsible for its biological activities. The highly stable complexes formed by SBs with transition metals often lead to compounds with strongly enhanced activities in inorganic [22,23] and bioinorganic chemistry [24], materials science [25], and pharmacology for biomedical applications [26,27,28,29,30]. The most described biological activities regarding the SBs complexes are antitumoral [31,32,33,34,35], antioxidant [36,37], antidiabetic [38,39,40,41], antimalarial [42], anti-arthritic [43], antimicrobial [44,45,46,47,48], neuroprotective, catalase-like and catecholase-like enzymatic [49,50], and DNA-binding [51,52]. Recently, Aggarwal et al. (2022) [53] underlined the potential applicability of some SBs and their metal complexes for the treatment of COVID-19 [54], which may represent valid alternatives to the classic treatments for this disease [55,56]. Moreover, the liposomal formulation of an SBs complex with arsenic has been described as an agent for drug delivery for the treatment of acute promyelocytic leukemia [57]. The importance of hybrid materials of SB complexes with metals and laccase, an oxygen-reducing enzyme, has also been studied [58]. Recently, stilbene-derivatized SB ligands and their Cu(II) complexes have been suggested as radio-imaging agents for the diagnosis of Alzheimer’s by positron emission tomography when prepared with the positron-emitting radioisotope Cu-64 [59]. Among metals, the coordination chemistry of SBs with inner transition metals, such as lanthanide(III) ions, has promptly progressed in the last decade because of its vast range of applications, specifically in physical applications such as magnetic, luminescence, lasers, optical glasses, telecommunications, biosciences, and numerous biological activities [60,61]. Given the numerous properties of complexes of SBs with metals, we decided to focus on a single activity exerted by this class of compounds. Antimicrobial resistance (AMR) has been declared by the World Health Organization (WHO) to be one of the major global health problems, specifically one of the top ten public health threats worldwide [62,63]. Several studies address the most clinically important pathogens, called ESKAPE pathogens, represented by both Gram-positive and Gram-negative bacteria, namely, Enterococcus faecium and Staphylococcus aureus (Gram-positive bacteria) and Klebsiella pneumoniae, Acinetobacter baumannii, Pseudomonas aeruginosa, and Enterobacter spp. (Gram-negative bacteria) [64]. In this context, the purpose of this review was to highlight the antimicrobial activity exerted by SBs complexed with metals dwelling specifically on the most recent studies in this field. Moreover, some interesting studies regarding the catalytic activity of these compounds have been described.
2. SBs Complexes with Metals as Antimicrobials
The antimicrobial activity of some SBs complexes with transition metals is described in this paragraph. Generally, the data refer to the lowest concentration of the tested antimicrobial agent (minimal inhibitory concentration, MIC) that is able to inhibit the visible growth of the bacterium being investigated. Microbes were generally referred to as the American Type Culture Collection (ATCC), the National Collection of Industrial Microorganisms (NCIM), and the Microbial Type Culture Collection (MTCC). Some authors determined the antimicrobial activity by measuring the diameter (as mm) of the zone showing the complete inhibition (inhibition zone diameter, IZD) determined by using the agar well diffusion method. In one article by Kargar et al. (2022) [65], Percentage Mean Mycelial Inhibition (PMMI) is reported against Aspergillus brasiliensis.
2.1. SBs Complexes with Transition Metals
The antimicrobial activities of some SBs complexes with transition metals recently described are reported in Table 1.
Aroua et al. (2023) [66] described the synthesis and characterization of diverse complexes derived from SBs and the evaluation of their antitumoral, antimicrobial, and insecticide activities. The antibacterial activity was studied against Gram-negative Escherichia coli and Gram-positive Bacillus subtilis (standard drug: tetracycline, IZD = 35 mm and 38 mm, respectively), whereas the antifungal activity was studied against Aspergillus niger (standard drug: nystatin, IZD = 32 mm). Complexes Cl2Cr (1) and ClMn (2) with Cr(III) and Mn(II), respectively, were the most active of the study as antimicrobials.
Alorini et al. (2023) [67] described the synthesis and antitumoral and antimicrobial activities of 2-((E)-(4-((E)-4-chlorobenzylidene)amino)phenyl)imino)methyl)naphthalen-1-ol as SB ligand complexed with Mn(II), Co(III), Ni(II), Cu(II), and Zn(II). The antibacterial and antifungal activities were studied against Salmonella enterica serovar Typhi and Candida albicans, respectively, using gentamycin (IZD = 17 mm against S. enterica ser. Typhi at 10 mg/mL) and clotrimazole (IZD = 21 mm against C. albicans at 10 mg/mL) as standards. Complex Co(L)(Cl)2(H2O)2 (3) with Co(III) was the most active against the microbial strains used.
Al-Janabi et al. (2023) [68] recently reported an interesting study on metal complexes (Ni(II), Pd(II), Pt(II), Zn(II), and Hg(II)) SBs derived from 4-chloro-3-methyl phenyl hydrazine as dual inhibitors of SARS-CoV-2 and antibacterials. The antibacterial activity was evaluated against S. aureus and P. aeruginosa, and compound 4 showed an interesting activity in comparison to the reference amoxicillin (IZD = 29 ± 1.0 mm and 31 ± 0.61 mm against S. aureus and P. aeruginosa, respectively). Interestingly, the compound was also an inhibitor of the main protease (Mpro) of the virus SARS-CoV-2 [69].
Devi et al. (2022) [70] reported the synthesis of sixteen complexes of four SB ligands with transition metals, namely Co(II), Ni(II), Cu(II), and Zn(II), deriving from 4-(benzyloxy)-2-hydroxybenzaldehyde and their in vitro antioxidant, antimicrobial activity, and molecular docking studies. In vitro antimicrobial activities were studied against four bacterial strains (S. aureus, B. subtilis, P. aeruginosa, and E. coli) and two fungal strains (A. niger and C. albicans). Ciproxacin (MIC = 0.0047 µmol/mL) and fluconazole (MIC = 0.0051 µmol/mL against C. albicans and MIC = 0.0102 µmol/mL against A. niger) were used as references. Complexes with Ni and Cu (5–8) were the most active against bacteria and fungi. They showed comparable activity to standard drugs against C. albicans. The potential mechanism of action was suggested through molecular modeling studies. Docking of complex 6 with enzyme C. albicans sterol 14-alpha demethylase suggested a hydrophobic binding.
Al-Shboul et al. (2022) [71] described the synthesis, characterization, computational, and biological activity of four SBs derived from 2,2′-diamino-6,6′-dibromo-4,4′-dimethyl-1,1′-biphenyl or 2,2′-diamino-4,4′-dimethyl-1,1′-biphenyl, and 3,5-dichloro- or 5-nitro-salicylaldehyde, and their complexes with Fe(II), Cu(II), and Zn(II), obtained by reaction with copper-, iron-, and zinc-acetate. The compounds were tested for their antibacterial activity against Gram-positive (Micrococcus luteus, S. aureus) and Gram-negative (E. coli) bacteria, using amoxicillin as a reference drug (IZD: 25, 35, and 10 mm, respectively). The complexes with Zn (Z2Zn, 9) and Fe (Z4Fe, 11) showed slight activity against S. aureus, even though lower than the reference. The complex with Zn (Z3Zn, 10) showed the same antibacterial activity of the reference against M. luteus. Only complexes with copper (Z1Cu, 12 and Z3Cu, 13) were active against Gram-negative E. coli, with Z3Cu (13) exerting higher activity than the reference.
Abdel-Rahman et al. (2022) [72] described five complexes with Co(II), Ni(II), VO(II), Cr(III), and La(III) synthesized from a tridentate NNO monobasic chelating SB ligand (Z)-2-((pyridin-2-ylimino)methyl)phenol. The complexes were tested for their antimicrobial, antioxidant, and antitumoral activities. Antimicrobial activities were studied against S. aureus, K. pneumoniae, E. coli, and Streptococcus mutans, a pathogen of dental caries [73]. All the complexes showed slight to high antimicrobial activity, with the exception of the complex with V and La against K. pneumoniae. The most interesting activity was observed for the NiL complex (14), which showed antibacterial activity similar to or higher than the references gentamicin and ampicillin. Gentamicin was used as a standard for Gram-negative bacteria (E. coli, IZD = 27 ± 0.5 mm; and K. pneumoniae, IZD = 25 ± 0.5 mm) and ampicillin for Gram-positive bacteria (S. aureus IZD = 22 ± 0.1 mm and S. mutans, IZD = 30 ± 0.5 mm). The IZD value of NiL complex (14) against E. coli was even higher than the reference gentamicin. Both complexes NiL (14) and LaL (15) showed slight activity with respect to ampicillin against S. aureus.
Daravath et al. (2022) [74] reported a study on three SBs complexes with copper (16–18) and their antimicrobial activities against bacteria and fungi not generally investigated, namely Gram-positive Bacillus amyloliquefaciens and Sclerotium rolfsii and Macrophomina phaseolina fungal strains. The study was also carried on against Gram-negative E. coli. Streptomycin was used as the reference against bacteria (IZD = 25 ± 0.17 mm and 25 ± 0.15 mm against B. amyloliquefaciens and E. coli, respectively), whereas mancozeb was used as the reference against fungi (IZD = 24 ± 0.14 mm and 25 ± 0.15 mm, respectively).
Kargar et al. (2022) [65] described the synthesis of two complexes formed between mono and dinuclear SBs and Zn(II) (Z1, 19 and Z2, 20, respectively) and their biological activities as antimicrobial agents against two Gram-positive (S. aureus and B. cereus) and two Gram-negative (E. coli and P. aeruginosa) bacterial strains. The two compounds showed slight activity against Gram-positive bacteria compared with standard chloramphenicol (IZD = 30 mm) and Gram-negative E. coli (chloramphenicol, IZD = 33 mm), whereas they demonstrated interesting activity against the Gram-negative bacterium P. aeruginosa, being more active than the reference (chloramphenicol, IZD = 11 mm). The complexes showed significant antifungal activity against C. albicans (clotrimazole, IZD = 25 mm), while they were inactive against A. brasiliensis.
Hajari et al. (2022) [75] described the synthesis and biological activity of several 15-membered ring symmetrical pentaaza macrocyclic SBs complexed with Zn(II), Mn(II), and Cd(II), namely [ZnLBr]ClO4, [MnLBr]ClO4 and [CdLBr]ClO4 (21–23) and their cytotoxicity, antibacterial, and antioxidant activities. The antibacterial activity was studied against Gram-positive (S. aureus, B. subtilis, and Listeria monocytogenes) and Gram-negative (E. coli, Klebsiella oxytoca, and Salmonella typhimurium), and the complexes showed moderate effectiveness against all the tested bacteria. The references used were penicillin, ampicillin, vancomycin, and tetracycline. The most active were vancomycin (IZD = 14, 18, 24 mm against S. aureus, B. subtilis, and L. monocytogenes, respectively, and IZD = 22, 20, and 18 mm against E. coli, K. oxytoca, and S. typhimurium, respectively) and tetracycline (IZD = 27, 23, 27 mm against S. aureus, B. subtilis, and L. monocytogenes, respectively, and IZD = 29, 29, and 24 mm against E. coli, K. oxytoca, and S. typhimurium, respectively). S. aureus was the most resistant bacterium, whereas, interestingly, high activity was found for all three complexes against Gram-negative E. coli.
Jyothi et al. (2022) [76] described the study of Co(II) complexes with N-methyl thio semicarbazide SBs for their cytotoxicity, DNA binding, and antimicrobial studies. The most interesting results were found for complex II (24) against Gram-positive B. subtilis and fungus Fusarium Oxysporium Lycopersicum, even though with lower activity than references in both cases (penicillin, IZD between 15 and 16 mm against B. subtilis and ketoconazole, IZD between 15 and 16 mm against F.O. Lycopersicum).
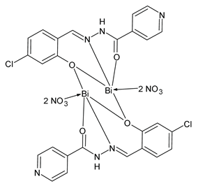
Li et al. (2022) [77] described the design, synthesis, and biological evaluation of dinuclear Bi(III) complexes with isoniazid-derived SBs. The antibacterial activity was tested against Gram-positive S. aureus and B. subtilis (references vancomycin: MIC = 2 and 0.5 µg/mL; kanamycin, MIC = 2.5 and 1.125 µg/mL; tetracycline, MIC = 0.125 and 0.125 µg/mL against S. aureus and B. subtilis, respectively) and Gram-negative E. coli and P. aeruginosa (references kanamycin, MIC = 8 and >128 µg/mL; tetracycline, MIC = 4 and 32 µg/mL against E. coli and P. aeruginosa, respectively). Complexes 4a and 5a (25 and 26) were the most interesting of the series.
Saroya et al. (2022) [78] described a study on organotin(IV) complexes derived from tridentate SBs and their antimicrobial and antioxidant activities. The antibacterial activity was studied against Gram-positive B. subtilis (MTCC 441) and S. aureus (MTCC 2901) and two Gram-negative E. coli (MTCC 732) and P. aeruginosa (MTCC 424) (ciprofloxacin, MIC = 0.00471 μmol/mL against all bacteria). The antifungal potency was examined against two fungal strains: C. albicans (MTCC 227) and A. niger (MTCC 9933) (fluconazole, MIC = 0.01020 μmol/mL against both fungi strains). Compound 27 was the most active, casually showing the same MIC value of 0.01080 μmol/mL against bacteria and fungi.
Table 1.
SBs metal complexes with transition metals with antibacterial activities.
Table 1.
SBs metal complexes with transition metals with antibacterial activities.
| Structure | Compd | MIC or IZD | Ref. |
|---|---|---|---|
![]() | C19H16O2N3 Cl2Cr (1) | IZD = 23 mm (E. coli) IZD = 24 mm (S. subtilis) IZD = 22 mm (A. niger) | Aroua et al. (2023) [66] |
![]() | C19H18O3N3 ClMn (2) | IZD = 26 mm (E. coli) IZD = 24 mm (S. subtilis) IZD = 25 mm (A. niger) | Aroua et al. (2023) [66] |
![]() | (Co(L)(Cl)2(H2O)2 (3) | IZD = 15 mm (S. enterica ser. thypi at 30 mg/mL) IZD = 19 mm (C. albicans at 30 mg/mL) | Alorini et al. (2023) [67] |
![]() | 4 | MIC = 25 ± 1.10 mm (S. aureus) MIC = 28 ± 1.10 mm (P. aeruginosa) | Al-Janabi et al. (2023) [68] |
![]() | 5 | MIC = 0.0225 µmol/mL (S. aureus MTCC 2901) MIC = 0.0112 µmol/mL (B. subtilis NCIM 2063) MIC = 0.0225 µmol/mL (E. coli MTCC 732) MIC = 0.0112 µmol/mL (P. aeruginosa MTCC 424) MIC = 0.0056 µmol/mL (C. albicans MTCC 227) MIC = 0.0112 µmol/mL (A. niger MTCC 9933) | Devi et al. (2022) [70] |
![]() | 6 | MIC = 0.0223 µmol/mL (S. aureus MTCC 2901) MIC = 0.0223 µmol/mL (B. subtilis NCIM 2063) MIC = 0.0223 µmol/mL (E. coli MTCC 732) MIC = 0.0111 µmol/mL (P. aeruginosa MTCC 424) MIC = 0.0055 µmol/mL (C. albicans MTCC 227) MIC = 0.0111 µmol/mL (A. niger MTCC 9933) | Devi et al. (2022) [70] |
![]() | 7 | MIC = 0.0114 µmol/mL (S. aureus MTCC 2901) MIC = 0.0114 µmol/mL (B. subtilis NCIM 2063) MIC = 0.0228 µmol/mL (E. coli MTCC 732) MIC = 0.0228 µmol/mL (P. aeruginosa MTCC 424) MIC = 0.0056 µmol/mL (C. albicans MTCC 227) MIC = 0.0114 µmol/mL (A. niger MTCC 9933) | Devi et al. (2022) [70] |
![]() | 8 | MIC = 0.0113 µmol/mL (S. aureus MTCC 2901) MIC = 0.0226 µmol/mL (B. subtilis NCIM 2063) MIC = 0.0226 µmol/mL (E. coli MTCC 732) MIC = 0.0226 µmol/mL (P. aeruginosa MTCC 424) MIC = 0.0055 µmol/mL (C. albicans MTCC 227) MIC = 0.0113 µmol/mL (A. niger MTCC 9933) | Devi et al. (2022) [70] |
![]() | Z2Zn (9) | IZD = 15 mm (M. luteus ATCC 934) IZD = 21 mm (S. aureus ATCC 29213) | Al-Shboul et al. (2022) [71] |
![]() | Z3Zn (10) | IZD = 25 mm (M. luteus ATCC 934) IZD = 18 mm (S. aureus ATCC 29213) | Al-Shboul et al. (2022) [71] |
![]() | Z4Fe (11) | IZD = 20 mm (S. aureus ATCC 29213) | Al-Shboul et al. (2022) [71] |
![]() | Z1Cu (12) | IZD = 10 mm (E. coli ATCC 25922) | Al-Shboul et al. (2022) [71] |
![]() | Z3Cu (13) | IZD = 20 mm (E. coli ATCC 25922) | Al-Shboul et al. (2022) [71] |
![]() | NiL (14) | IZD = 31.6 ± 0.6 mm (E. coli ATCC 10536) IZD = 20.6 ± 0.6 mm (K. pneumoniae ATCC 10031) IZD = 20.3 ± 0.6 mm (S. aureus ATCC 13565) IZD = 19.6 ± 0.6 mm (S. mutans ATCC 25175) | Abdel-Rahman et al. (2022) [72] |
![]() | LaL (15) | IZD = 21.3 ± 0.6 mm (E. coli ATCC 10536) IZD = not active (K. pneumoniae ATCC 10031) IZD = 20.3 ± 0.6 mm (S. aureus ATCC 13565) IZD = 17.9 ± 0.5 mm (S. mutans ATCC 25175) | Abdel-Rahman et al. (2022) [72] |
![]() | 16 | IZD = 20 ± 0.21 mm (B. amyloliquefaciens) IZD = 19 ± 0.16 mm (E. coli) IZD = 18 ± 0.18 mm (S. rolfsii) IZD = 18 ± 0.15 mm (M. phaseolina) | Daravath et al. (2022) [74] |
![]() | 17 | IZD = 17 ± 0.14 mm (B. amyloliquefaciens) IZD = 16 ± 0.21 mm (E. coli) IZD = 15 ± 0.24 mm (S. rolfsii) IZD = 16 ± 0.16 mm (M. phaseolina) | Daravath et al. (2022) [74] |
![]() | 18 | IZD = 16 ± 0.18 mm (B. amyloliquefaciens) IZD = 16 ± 0.15 mm (E. coli) IZD = 14 ± 0.15 mm (S. rolfsii) IZD = 15 ± 0.19 mm (M. phaseolina) | Daravath et al. (2022) [74] |
![]() | Z1 (19) | IZD = 16 mm (S. aureus ATCC 25923) IZD = 15 mm (B. cereus ATCC 11778) IZD = 11 mm (E coli ATCC 25922) IZD = 12 mm (P. aeruginosa ATCC 15442) PMMI = 22.8 mm (A. brasiliensis ATCC 16404) IZD = 22 mm (C. albicans ATCC 10231) | Kargar et al. (2022) [65] |
![]() | Z2 (20) | IZD = 18 mm (S. aureus ATCC 25923) IZD = 14 mm (B. cereus ATCC 11778) IZD = 13 mm (E coli ATCC 25922) IZD = 12 mm (P. aeruginosa ATCC 15442) PMMI = 22.8 mm (A. brasiliensis ATCC 16404) IZD = 23 mm (C. albicans ATCC 10231) | Kargar et al. (2022) [65] |
![]() | [ZnLBr]ClO4 (21) | IZD = 14 mm (S. aureus) IZD = 15 mm (B. subtilis) IZD = 19 mm (L. monocytogenes) IZD = 34 mm (E. coli) IZD = 28 mm (K. oxytoca) IZD = 21 (S. thypimurium) | Hajari et al. (2022) [75] |
![]() | [MnLBr]ClO4 (22) | IZD = 12 mm (S. aureus) IZD = 22 mm (B. subtilis) IZD = 17 mm (L. monocytogenes) IZD = 29 mm (E. coli) IZD = 22 mm (K. oxytoca) IZD = 19 (S. thypimurium) | Hajari et al. (2022) [75] |
![]() | [CdLBr]ClO4 (23) | IZD = 17 mm (S. aureus) IZD = 17 mm (B. subtilis) IZD = 16 mm (L. monocytogenes) IZD = 24 mm (E. coli) IZD = 18 mm (K. oxytoca) IZD = 21 (S. thypimurium) | Hajari et al. (2022) [75] |
![]() | II (24) | IZD between 11 and 12 mm (B. subtilis) IZD between11 and 12 mm (F.O. Lycopersicum) | Jyothi et al. (2022) [76] |
![]() | 4a (25) | MIC = 4 µg/mL (S. aureus) MIC = 8 µg/mL (B. subtilis) MIC = 8 µg/mL (E. coli) MIC = 8 µg/mL (P. aeruginosa) | Li et al. (2022) [77] |
![]() | 5a (26) | MIC = 4 µg/mL (S. aureus) MIC = 4 µg/mL (B. subtilis) MIC = 4 µg/mL (E. coli) MIC = 8 µg/mL (P. aeruginosa) | Li et al. (2022) [77] |
![]() | 27 | MIC = 0.01080 μmol/mL (B. subtilis MTCC 441) MIC = 0.01080 μmol/mL (E. coli MTCC 732) MIC = 0.01080 μmol/mL (P. aeruginosa MTCC 424) MIC = 0.01080 μmol/mL (C. albicans MTCC 227) MIC = 0.01080 μmol/mL (A. niger MTCC 9933) | Saroya et al. (2022) [78] |
2.2. SBs Complexes with Inner Transition Metals (Lanthanides and Actinides) as Antimicrobials
Complexes with inner transition metals, such as lanthanides and actinides, have often shown interesting results. Complex LaL (15) by Abdel-Rahman et al. (2022) [72] has been described in the previous paragraph. Other antimicrobial activities of lanthanide complexes with SBs are summarized below (Table 2).
Table 2.
SBs complexes with inner transition metals (lanthanides and actinides) with antimicrobial activity.
Andiappan et al. (2023) [79] reported the study of several metal complexes of SBs with rare earth (Er, Pr, and Yb) inorganic metals, Schiff-Er (28), Schiff-Yb (29), and Schiff-Pr (30), as antibacterial and antitumoral agents. Complex Schiff-Pr (29) with praseodymium showed antibacterial activity against P. aeruginosa and S. aureus. The complex showed IZD = 24 mm against both bacteria, which was comparable to that of streptomycin used as the standard drug (IZD = 25 mm) against P. aeruginosa and higher than that of the standard (IZD = 20 mm) against S. aureus. Complexes. Complex Schiff-Er (28) and Schiff-Yb (29) showed antibacterial activity, even though it was lower than Schiff-Pr (30).
Alqasaimeh et al. (2023) [80] described three neutral lanthanides SB coordination complexes with lanthanides (Nd, Tb, and Dy) with (2-((p-tolylimino)methyl)phenol) SB. The antimicrobial activity was evaluated in vitro against Gram-positive bacteria S. aureus, Gram-negative (E. coli) using gentamicin and amikacin as standards against S. aureus and against the fungus C. albicans using nystatin as the standard. La, Lb, and Lc (31, 32, and 33) showed activity against bacteria and fungi. It is interesting to note that the free ligand was inactive against bacteria. Particularly, Lc (33) was the most active against C. albicans.
Hussein et al. (2023) [81] described the synthesis and biological studies of complexes of lanthanides (lanthanum, neodymium, erbium, gadolinium, and dysprosium) with SBs deriving from antipyrine. Antibacterial studies were carried out at concentrations 10−3 M against S. aureus, B. subtilis, E. coli, and K. pneumoniae. The highest activity against S. aureus was found for [La2(C26H28O2N6)2(NO3)6]·6H2O (34) and [Gd2(C26H28O2N6)2(NO3)6]·6H2O (35), whereas [Er2(C26H28O2N6)2(NO3)6]·6H2O (36) showed activity, lower than the other two, against both S. aureus and B. subtilis.
Awolope et al. (2023) [82] reported the synthesis and antibacterial and antioxidant activity of some SBs with transition metals and actinides. The antibacterial activity was evaluated against Gram-positive S. aureus and E. faecalis and Gram-negative K. pneumoniae and P. aeruginosa. The most interesting compounds of the study as antibacterials were UrO2SV and ZrOSV (37 and 38). Specifically, UrO2SV (37) showed higher activity against S. aureus and K. pneumoniae (nystatin was used as standard, IZD = 27 and 23 mm, respectively), whereas compound ZrOSV (38) showed slight activity against E. faecalis and P. aeruginosa (nystatin, IZD = 25 and 22 mm, respectively).
3. Chitosan SBs Complexes as Antimicrobials
Chitosan SBs have shown interesting biological activities [83] as being anticancer [84,85], antioxidant [86,87,88], antibacterial [89,90,91,92], and antidiabetic [93]. Some chitosan-based SBs are used for the removal of toxic metal ions from the aqueous medium, including Fe(III) [94], Pb(II) [95], Cu(II), Cd(II) [96], Cr(III) [97], and Cr(VI) [98,99]. Some authors also describe chitosan SBs complexes with metals and their biological activities as antitumoral and antimicrobial. Specifically, an interesting study describes the synthesis of biopolymeric chitosan-supported SB complexes with Cu(II), Ni(II), and Zn(II) and their biological evaluation as antitumoral agents against MG-63 osteosarcoma cancer cell lines. The complexes were more active than pure chitosan against the cancer MG63 cell line [100]. Recently, some chitosan SBs-based polyelectrolyte complexes with graphene quantum dots have been described, along with their prospective biomedical applications as antibacterials. One compound, namely PE-G-3 (structure not shown), showed interesting activity against Helicobacter pylori measured by the in vitro inosine 5′-monophosphate dehydrogenase (IMPDH) inhibitory assay, as long as its activity to enhance wound healing [101]. A recent study by Ignatova et al. (2022) [102] described the synthesis of an SB derivative (Ch-8Q) of chitosan and 8-hydroxyquinoline-2-carboxaldehyde and novel fibrous materials successfully obtained from Ch-8Q and polylactide (PLA) by one-pot electrospinning of their blend solution and the complexes of the mats with Cu(II) and Fe(III). The incorporation of Ch-8Q in the fibrous mats and complexation with Cu(II) and Fe(III) led to the ability to kill all S. aureus bacteria within 3 h of contact. Moreover, in contrast to the chitosan-containing mats, which only reduce the adhesion of pathogenic bacteria S. aureus, Ch-8Q-containing materials and their complexes inhibit bacterial adhesion.
Tao et al. (2023) [103] have recently reported an interesting study on SB deriving CS-CT-CCa complex (39) with natural citral (CT), chitosan (CS), and calcium citrate (CCa) and its activity against Vibrio parahaemolyticus, which is defined the “number one killer” of seafood products (Table 3). The complex, which had good dispersion properties and an excellent sustained released ability, was active against V. parahaemolyticus and increased the membrane permeability of V. parahaemolyticus, also determining the inhibition of biofilm-forming ability in a dose-dependent manner. CT mainly comes from the essential oil of lemon grass and has vigorous antibacterial activity: it was used for comparison against V. parahaemolyticus (MIC = 1024 μg/mL) along with CS-CT (MIC = 256 μg/mL) and ciprofloxacin (MIC = 4 μg/mL).
Table 3.
Chitosan SBs complexes with metals with antimicrobial activity.
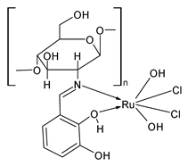
Amirthaganesan et al. (2022) [104] reported a study on ruthenium(III) complexes derived from chitosan SBs (Ru(CVSB)(H2O)2]Cl2 (40), Ru(CSSB)(H2O)2]Cl2 (41) and Ru(COSB)(H2O)2]Cl2 (42), and their antifungal activity evaluation against Aspergillus flavus, A. niger, Penicillim chryogenum, Fusarium oxysporum, and Trichoderma viride, by disc diffusion method. Amphotericin-B was used as the standard drug (IZD = 22, 26, 20, 22, and 26 mm, respectively). Ruthenium(III) complexes showed higher antifungal activity than their parent ligands.
4. Metal Complexes with SBs with Catalytic Activity
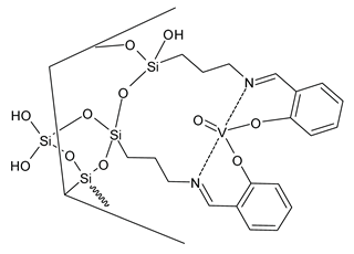
Metal complexes with SBs are often studied and used for their catalytic activities. Table 4 summarizes the compounds endowed with this activity most recently reported. Bikas et al. (2023) [105] described the synthesized and characterization of two dinuclear Zn(II) complexes with SBs, namely Zn2(L1)2(N3)2 (43) and Zn2(L2)2(N3)2 (44), derived from 4-aminoantipyrine. The complexes were demonstrated to be active catalysts in the reaction of benzonitrile and sodium azide for the synthesis of tetrazoles. The model compound for tetrazoles used was 5-phenyl-1H-tetrazole. Neshat et al. (2023) [106] reported the synthesis and characterization of a Cu(II) complex CuL2 (45) with a bidentate SB derived from Ortho-vanillin. The catalytic activity was studied in the oxidation of selected primary and secondary alcohols. The complex showed higher performance in the oxidations of secondary alcohols under mild reaction conditions. The catalytic activity in the oxidation of secondary aromatic alcohols was shown to be higher with substrates containing electron-withdrawing substituents, whereas it was low in the oxidation of aliphatic primary alcohols. The authors suggested a radical mechanism for the catalytic activity. Rabiei et al. [107] recently described a functionalized metal–organic-framework nanocatalyst, which is an SB complex with Cu and Pd [Cu(BDC-NH2)@Schiff base Pd(II) (46)], for C–N coupling. It was obtained via a two-step post-synthetic modification reaction of Cu(BDC-NH2) with N,N′-bis(5-formylpyrrol-2-ylmethyl) homopiperazine followed by Pd ion immobilization. Optimization of the C–N coupling reaction of p-tolylboronic acid with 1-(2-oxo-2-phenylethyl)-1H-pyrrole-2-carbonitrile in the presence of this catalyst was studied. The catalyst showed several advantages, being robust and stable under the reaction conditions, easily separated from the mixture, capable of being reused up to seven times, and producing products with high yields. Jabbari et al. [108] described the preparation of a V(O)-SB complex on MCM-41 (Mobil Composition of Matter No. 41) as a stable, efficient, reusable, and chemoselective nanocatalyst for the oxidative coupling of thiols and oxidation of sulfides. The complex, named V(O)-5NSA-MCM-41 (47), can be used for the synthesis of disulfide and sulfoxide derivatives using hydrogen peroxide (H2O2) as a biocompatibility, inexpensive, and available oxidant. Products were obtained with good yields. Recently, the development of magnetic Fe3O4-chitosan immobilized Cu(II) SB catalyst [Fe3O4@CS@Schiffbase@Cu (48)] has been reported [109]. This heterogeneous catalyst has been demonstrated to be an efficient and reusable catalyst for microwave-assisted one-pot synthesis of propargylamines via the A3 coupling reaction of aldehydes, alkynes, and amines. The catalyst was efficiently recyclable and reusable even after six cycles and proved its superiority over homogenous catalysts by producing 95% of the desired product.
Table 4.
SBs complexes with transition metals with catalytic activity.
5. Summary
SBs are a well-documented class of ligands able to bind almost all metals of the periodic table. They represent an ideal ligand scaffold since they have shown a large spectrum of biological activities, including antitumor, antiviral, antimicrobial, and anti-inflammatory activities. Complexes of SBs with transition metals have shown numerous applications as catalysts in various biological systems, corrosion inhibitors, polymers, and dyes. Schiff base complexes of transition metal ions catalyze several homogeneous and heterogeneous reactions in which numerous substrates, such as sulfides, aldehydes, phenols, thioanisoles, styrenes, and so on, are converted into the important precursors of drugs and materials. These reactions are usually conducted under mild and stable conditions, giving the desired products in high yields. Furthermore, another advantage that must be considered is that they can be simply separated from the reaction mixture and reused several times.
Interestingly, SBs metal complexes are used in therapeutic or biological applications either as potential drug candidates or diagnostic probes and analytical tools. Their numerous activities, including antitumoral, antimicrobial, antioxidant, and neuroprotective ones, are widely documented. Since AMR is a mounting threat to health and well-being globally, the main aim of this review was to focus, explore, and summarize the most recent available research studies regarding the antimicrobial activity exerted by these compounds. Some of the described compounds showed in vitro antimicrobial activities comparable to, and sometimes higher than, the reference drugs. The antimicrobial activity of metal complexes with SBs and their known anticorrosive potential may have great potential for their future application in several types of surgeries. Finally, the identification of new compounds belonging to this class may represent a new strategy to limit or overcome the occurrence of resistant strains, counteracting antibiotic resistance. The reviewed data clearly suggest that SBs metal complexes deserve particular consideration for their application in different fields, including medicinal chemistry and catalysis.
Author Contributions
Conceptualization, A.C. and M.S.S.; writing—original draft preparation, D.I. and J.C.; methodology, D.I.; A.M. and F.G.; validation, J.C. and C.S.; writing—review and editing, A.C. and C.S.; supervision, P.L. and M.S.S. All authors have read and agreed to the published version of the manuscript.
Funding
This research received no external funding.
Institutional Review Board Statement
Not applicable.
Informed Consent Statement
Not applicable.
Data Availability Statement
Not applicable.
Conflicts of Interest
The authors declare no conflict of interest.
References
- Boulechfar, C.; Ferkous, H.; Delimi, A.; Djedouani, A.; Kahlouche, A.; Boublia, A.; Darwish, A.S.; Lemaoui, T.; Verma, R.; Benguerba, Y. Schiff bases and their metal complexes: A review on the history, synthesis, and applications. Inorg. Chem. Commun. 2023, 150, 110451. [Google Scholar] [CrossRef]
- Catalano, A. Schiff bases: A short survey on a promising scaffold in drug discovery. Curr. Med. Chem. 2023, 30, 4170–4180. [Google Scholar] [CrossRef] [PubMed]
- Gupta, K.C.; Sutar, A.K. Catalytic activities of Schiff base transition metal complexes. Coord. Chem. Rev. 2008, 252, 1420–1450. [Google Scholar] [CrossRef]
- Afshari, F.; Ghomi, E.R.; Dinari, M.; Ramakrishna, S. Recent advances on the corrosion inhibition behavior of Schiff base compounds on mild steel in acidic media. ChemistrySelect 2023, 8, e202203231. [Google Scholar] [CrossRef]
- Upendranath, K.; Venkatesh, T.; Nayaka, Y.A.; Shashank, M.; Nagaraju, G. Optoelectronic, DFT and current-voltage performance of new Schiff base 6-nitro-benzimidazole derivatives. Inorg. Chem. Commun. 2022, 139, 109354. [Google Scholar] [CrossRef]
- Alam, M.Z.; Khan, S.A. A review on Schiff base as a versatile fluorescent chemo-sensors tool for detection of Cu2+ and Fe3+ metal ion. J. Fluoresc. 2023; in press. [Google Scholar] [CrossRef]
- Aytac, S.; Gundogdu, O.; Bingol, Z.; Gulcin, I. Synthesis of Schiff bases containing phenol ring and investigation of their antioxidant capacity, anticholinesterase, butyrylcholinesterase and carbonic anhydrase inhibition properties. Pharmaceutics 2023, 15, 779. [Google Scholar] [CrossRef]
- Raju, S.K.; Settu, A.; Thiyagarajan, A.; Rama, D.; Sekar, P.; Kumar, S. Biological applications of Schiff bases: An overview. GSC Biol. Pharm. Sci. 2022, 21, 203–215. [Google Scholar] [CrossRef]
- Çelik, F.; Bektaş, K.İ.; Güler, H.İ.; Direkel, Ş.; Ünver, Y. New Schiff bases with thiophene ring: Synthesis, biological activities, and molecular docking study. Russian J. Gen. Chem. 2023, 93, 409–417. [Google Scholar] [CrossRef]
- Iacopetta, D.; Ceramella, J.; Catalano, A.; Saturnino, C.; Bonomo, M.G.; Franchini, C.; Sinicropi, M.S. Schiff bases: Interesting scaffolds with promising antitumoral properties. Appl. Sci. 2021, 11, 1877. [Google Scholar] [CrossRef]
- Alyamani, N.M. New Schiff Base–TMB Hybrids: Design, synthesis and antiproliferative investigation as potential anticancer agents. Symmetry 2023, 15, 609. [Google Scholar] [CrossRef]
- Al-Shemary, R.K.; Mohapatra, R.K.; Kumar, M.; Sarangi, A.K.; Azam, M.; Tuli, H.S.; Ansari, A.; Mohapatra, P.K.; Dhama, K. Synthesis, structural investigations, XRD, DFT, anticancer and molecular docking study of a series of thiazole based Schiff base metal complexes. J. Mol. Struct. 2023, 1275, 134676. [Google Scholar] [CrossRef]
- Ceramella, J.; Iacopetta, D.; Catalano, A.; Cirillo, F.; Lappano, R.; Sinicropi, M.S. A review on the antimicrobial activity of Schiff bases: Data collection and recent studies. Antibiotics 2022, 11, 191. [Google Scholar] [CrossRef]
- Tople, M.S.; Patel, N.B.; Patel, P.P.; Purohit, A.C.; Ahmad, I.; Patel, H. An in silico-in vitro antimalarial and antimicrobial investigation of newer 7-chloroquinoline based Schiff-bases. J. Mol. Struct. 2023, 1271, 134016. [Google Scholar] [CrossRef]
- Yuldasheva, N.; Acikyildiz, N.; Akyuz, M.; Yabo-Dambagi, L.; Aydin, T.; Cakir, A.; Kazaz, C. The synthesis of Schiff bases and new secondary amine derivatives of p-vanillin and evaluation of their neuroprotective, antidiabetic, antidepressant and antioxidant potentials. J. Mol. Struct. 2022, 1270, 133883. [Google Scholar] [CrossRef]
- Hamid, S.J.; Salih, T. Design, synthesis, and anti-inflammatory activity of some coumarin Schiff base derivatives: In silico and in vitro study. Drug Des. Develop. Ther. 2022, 16, 2275–2288. [Google Scholar] [CrossRef]
- Çakmak, R.; Başaran, E.; Şentürk, M. Synthesis, characterization, and biological evaluation of some novel Schiff bases as potential metabolic enzyme inhibitors. Archiv. Pharm. 2022, 355, 2100430. [Google Scholar] [CrossRef] [PubMed]
- El-Azab, A.S.; Abdel-Aziz, A.A.-M.; Ghabbour, H.A.; Bua, S.; Nocentini, A.; Alkahtani, H.M.; Alsaif, N.A.; Al-Agamy, M.H.M.; Supuran, C.T. Carbonic anhydrase inhibition activities of Schiff’s bases based on quinazoline-linked benzenesulfonamide. Molecules 2022, 27, 7703. [Google Scholar] [CrossRef] [PubMed]
- Taha, M.; Rahim, F.; Zaman, K.; Anouar, E.H.; Uddin, N.; Nawaz, F.; Sajid, M.; Khan, K.M.; Shah, A.A.; Wadood, A.; et al. Synthesis, in vitro biological screening and docking study of benzo[d]oxazole bis Schiff base derivatives as a potent anti-Alzheimer agent. J. Biomol. Struct. Dynam. 2023, 41, 1649–1664. [Google Scholar] [CrossRef]
- Camadan, Y.; Çiçek, B.; Adem, Ş.; Çalişir, Ü.; Akkemik, E. Investigation of in vitro and in silico effects of some novel carbazole Schiff bases on human carbonic anhydrase isoforms I and II. J. Biomol. Struct. Dyn. 2022, 40, 6965–6973. [Google Scholar] [CrossRef]
- Zhang, Z.; Song, Q.; Jin, Y.; Feng, Y.; Li, J.; Zhang, K. Advances in Schiff base and its coating on metal biomaterials—A review. Metals 2023, 13, 386. [Google Scholar] [CrossRef]
- Mondal, K.; Mistri, S. Schiff base based metal complexes: A review of their catalytic activity on aldol and henry reaction. Comments Inorg. Chem. 2023, 43, 77–105. [Google Scholar] [CrossRef]
- Rakhtshah, J. A comprehensive review on the synthesis, characterization, and catalytic application of transition-metal Schiff-base complexes immobilized on magnetic Fe3O4 nanoparticles. Coord. Chem. Rev. 2022, 467, 214614. [Google Scholar] [CrossRef]
- Meena, R.; Meena, P.; Kumari, A.; Sharma, N.; Fahmi, N. Schiff Bases and Their Metal Complexes: Synthesis, Structural Characteristics and Applications. In Schiff Base in Organic, Inorganic and Physical Chemistry; IntechOpen: London, UK, 2023; ISBN 978-1-80355-679-6. [Google Scholar] [CrossRef]
- Deghadi, R.G.; Elsharkawy, A.E.; Ashmawy, A.M.; Mohamed, G.G. Can one novel series of transition metal complexes of oxy-dianiline Schiff base afford advances in both biological inorganic chemistry and materials science? Comments Inorg. Chem. 2022, 42, 1–46. [Google Scholar] [CrossRef]
- Ashraf, T.; Ali, B.; Qayyum, H.; Haroone, M.S.; Shabbir, G. Pharmacological aspects of Schiff base metal complexes: A critical review. Inorg. Chem. Commun. 2023, 150, 110449. [Google Scholar] [CrossRef]
- Hossain, A.M.S.; Méndez-Arriaga, J.M.; Xia, C.; Xie, J.; Gómez-Ruiz, S. Metal complexes with ONS donor Schiff bases: A review. Polyhedron 2022, 217, 115692. [Google Scholar] [CrossRef]
- Abu-Yamin, A.A.; Abduh, M.S.; Saghir, S.A.M.; Al-Gabri, N. Synthesis, characterization and biological activities of new Schiff base compound and its lanthanide complexes. Pharmaceuticals 2022, 15, 454. [Google Scholar] [CrossRef] [PubMed]
- Alezzy, A.A.; Alnahari, H.; Al-horibi, S.A. Short review on metal complexes of Schiff bases containing antibiotic, and bioactivity applications. J. Chem. Nutrit. Biochem. 2022, 3, 44–57. [Google Scholar] [CrossRef]
- Soroceanu, A.; Bargan, A. Advanced and biomedical applications of Schiff-base ligands and their metal complexes: A review. Crystals 2022, 12, 1436. [Google Scholar] [CrossRef]
- Kar, K.; Ghosh, D.; Kabi, B.; Chandra, A. A concise review on cobalt Schiff base complexes as anticancer agents. Polyhedron 2022, 222, 115890. [Google Scholar] [CrossRef]
- Catalano, A.; Sinicropi, M.S.; Iacopetta, D.; Ceramella, J.; Mariconda, A.; Rosano, C.; Scali, E.; Saturnino, C.; Longo, P. A review on the advancements in the field of metal complexes with Schiff bases as antiproliferative agents. Appl. Sci. 2021, 11, 6027. [Google Scholar] [CrossRef]
- Mokhtari, P.; Mohammadnezhad, G. Anti-cancer properties and catalytic oxidation of sulfides based on vanadium(V) complexes of unprotected sugar-based Schiff-base ligands. Polyhedron 2022, 215, 115655. [Google Scholar] [CrossRef]
- Khalil, E.A.; Mohamed, G.G. Synthesis and characterization of some transition and inner transition mixed ligand complexes derived from Schiff base ligand and o-aminophenol. Inorg. Chem. Commun. 2023, 153, 110825. [Google Scholar] [CrossRef]
- Shekhar, S.; Khan, A.; Sharma, S.; Sharma, B.; Sarkar, A. Schiff base metallodrugs in antimicrobial and anticancer chemotherapy applications: A comprehensive review. Emergent Mater. 2022, 5, 279. [Google Scholar] [CrossRef]
- Savcı, A.; Turan, N.; Buldurun, K.; Alkış, M.E.; Alan, Y. Schiff base containing fluorouracil and its M(II) complexes: Synthesis, characterization, cytotoxic and antioxidant activities. Inorg. Chem. Commun. 2022, 143, 109780. [Google Scholar] [CrossRef]
- Turan, N.; Buldurun, K.; Bursal, E.; Mahmoudi, G. Pd(II)-Schiff base complexes: Synthesis, characterization, Suzuki-Miyaura and Mizoroki-Heck cross-coupling reactions, enzyme inhibition and antioxidant activities. J. Organomet. Chem. 2022, 970, 122370. [Google Scholar] [CrossRef]
- Deswal, Y.; Asija, S.; Tufail, A.; Dubey, A.; Deswal, L.; Kumar, N.; Saroya, S.; Kirar, J.S.; Gupta, N.M. Instigating the in vitro antidiabetic activity of new tridentate Schiff base ligand appended M(II) complexes: From synthesis, structural characterization, quantum computational calculations to molecular docking, and molecular dynamics simulation studies. Appl. Organometal. Chem. 2023, 37, e7050. [Google Scholar]
- Sudha, A. Investigation of new schiff base transition metal(II) complexes theoretical, antidiabetic and molecular docking studies. J. Mol. Struct. 2022, 1259, 132700. [Google Scholar] [CrossRef]
- Jasińska, A.; Szklarzewicz, J.; Jurowska, A.; Hodorowicz, M.; Kazek, G.; Mordyl, B.; Głuch-Lutwin, M. V(III) and V(IV) Schiff base complexes as potential insulin-mimetic compounds–Comparison, characterization and biological activity. Polyhedron 2022, 215, 115682. [Google Scholar] [CrossRef]
- Radha, V.P.; Prabakaran, M. Novel thiadiazole-derived Schiff base ligand and its transition metal complexes: Thermal behaviour, theoretical study, chemo-sensor, antimicrobial, antidiabetic and anticancer activity. Appl. Organometal. Chem. 2022, 36, e6872. [Google Scholar] [CrossRef]
- Shaikh, I.; Travadi, M.; Jadeja, R.N.; Butcher, R.J.; Pandya, J.H. Crystal feature and spectral characterization of Zn(II) complexes containing Schiff base of Acylpyrazolone ligand with antimalarial action. J. Ind. Chem. Soc. 2022, 99, 100428. [Google Scholar] [CrossRef]
- Hassan, A.S.; Morsy, N.M.; Aboulthana, W.M.; Ragab, A. Exploring novel derivatives of isatin-based Schiff bases as multi-target agents: Design, synthesis, in vitro biological evaluation, and in silico ADMET analysis with molecular modeling simulations. RSC Adv. 2023, 13, 9281–9303. [Google Scholar] [PubMed]
- Aragón-Muriel, A.; Reyes-Márquez, V.; Cañavera-Buelvas, F.; Parra-Unda, J.R.; Cuenú-Cabezas, F.; Polo-Cerón, D.; Colorado-Peralta, R.; Suárez-Moreno, G.V.; Aguilar-Castillo, B.A.; Morales-Morales, D. Pincer complexes derived from tridentate Schiff bases for their use as antimicrobial metallopharmaceuticals. Inorganics 2022, 10, 134. [Google Scholar] [CrossRef]
- Odularu, A.T. Ease to challenges in achieving successful synthesized Schiff base, chirality, and application as antibacterial agent. BioMed Res. Int. 2023, 2023, 1626488. [Google Scholar] [CrossRef]
- Pervaiz, M.; Munir, A.; Riaz, A.; Saeed, Z.; Younas, U.; Imran, M.; Ullah, S.; Bashir, R.; Rashid, A.; Adnan, A. Review article-Amalgamation, scrutinizing, and biological evaluation of the antimicrobial aptitude of thiosemicarbazide Schiff bases derivatives metal complexes. Inorg. Chem. Commun. 2022, 141, 109459. [Google Scholar] [CrossRef]
- Jain, S.; Rana, M.; Sultana, R.; Mehandi, R.; Rahisuddin. Schiff base metal complexes as antimicrobial and anticancer agents. Polycycl. Arom. Comp. 2022; in press. [Google Scholar] [CrossRef]
- Abdel-Rahman, L.H.; Abdelghani, A.A.; AlObaid, A.A.; El-ezz, D.A.; Warad, I.; Shehata, M.R.; Abdalla, E.M. Novel bromo and methoxy substituted Schiff base complexes of Mn(II), Fe(III), and Cr(III) for anticancer, antimicrobial, docking, and ADMET studies. Sci. Rep. 2023, 13, 3199. [Google Scholar] [CrossRef]
- Çetín, Z.; Bülent, D.E.D.E. A novel Schiff base ligand and its metal complexes: Synthesis, characterization, theoretical calculations, catalase-like and catecholase-like enzymatic activities. J. Mol. Liq. 2023, 380, 121636. [Google Scholar] [CrossRef]
- Jayendran, M.; Kurup, M.P. Structural, spectral, cytotoxic and biocatalytic studies of a dinuclear phenoxo bridged Zn(II) complex from NNO donor tridentate Schiff base. Chem. Data Collect. 2022, 39, 100853. [Google Scholar] [CrossRef]
- Ressler, A.J.; Brandt, O.N.; Weaver, A.; Poor, J.E.; Ream, A.; Summers, N.A.; McMillen, C.D.; Seeram, N.P.; Dougherty, W.G.; Henry, G.E. Chromene-based Schiff base ligand: DNA interaction studies and characterization of tetranuclear zinc, nickel and iron complexes. Inorg. Chim. Acta 2023, 547, 121363. [Google Scholar]
- Shahabadi, N.; Abdoli, Z.; Mardani, Z.; Hadidi, S.; Shiri, F.; Soltani, L. DNA interaction studies of a cobalt(III) complex containing β–amino alcohol ligand by spectroscopic and molecular docking methods. J. Biomol. Struct. Dynam. 2023; in press. [Google Scholar] [CrossRef]
- Aggarwal, N.; Maji, S. Potential applicability of Schiff bases and their metal complexes during COVID-19 pandemic—A review. Rev. Inorg. Chem. 2022; in press. [Google Scholar] [CrossRef]
- Iacopetta, D.; Ceramella, J.; Catalano, A.; Saturnino, C.; Pellegrino, M.; Mariconda, A.; Longo, P.; Sinicropi, M.S.; Aquaro, S. COVID-19 at a glance: An up-to-date overview on variants, drug design and therapies. Viruses 2022, 14, 573. [Google Scholar] [CrossRef]
- Catalano, A.; Iacopetta, D.; Ceramella, J.; Maio, A.C.; Basile, G.; Giuzio, F.; Bonomo, M.G.; Aquaro, S.; Walsh, T.J.; Sinicropi, M.S.; et al. Are nutraceuticals effective in COVID-19 and post-COVID prevention and treatment? Foods 2022, 11, 2884. [Google Scholar] [CrossRef]
- Catalano, A. COVID-19: Could irisin become the handyman myokine of the 21st century? Coronaviruses 2020, 1, 32–41. [Google Scholar]
- Iraji, M.; Salehi, M.; Malekshah, R.E.; Khaleghian, A.; Shamsi, F. Liposomal formulation of new arsenic Schiff base complex as drug delivery agent in the treatment of acute promyelocytic leukemia and quantum chemical and docking calculations. J. Drug Deliv. Sci. Technol. 2022, 75, 103600. [Google Scholar] [CrossRef]
- Akitsu, T. Hybrid or component?—Schiff base complexes and laccase. Compounds 2022, 2, 307–310. [Google Scholar] [CrossRef]
- Uehara, D.; Salas, P. Facile synthesis of stilbene-derivatized Schiff base ligands and their Cu(II) complexes. Tetrahedron Lett. 2023, 118, 154406. [Google Scholar] [CrossRef]
- Mehmood, M.; Zafar, A.; Iqbal, A.; Mukhtar, M.; Tahir, M.N. Molecular architecture, characterization, and applications of homoleptic heteronuclear 3d/4f metals’ complexes derived from bi-compartmental Schiff-base. J. Mol. Struct. 2023, 1274, 134547. [Google Scholar] [CrossRef]
- Sinicropi, M.S.; Ceramella, J.; Iacopetta, D.; Catalano, A.; Mariconda, A.; Rosano, C.; Saturnino, C.; El-Kashef, H.; Longo, P. Metal complexes with Schiff bases: Data collection and recent studies on biological activities. Int. J. Mol. Sci. 2022, 23, 14840. [Google Scholar] [CrossRef]
- World Health Organization. Global Antimicrobial Resistance and Use Surveillance System (GLASS) Report; World Health Organization: Geneva, Switzerland, 2021.
- Catalano, A.; Iacopetta, D.; Ceramella, J.; Scumaci, D.; Giuzio, F.; Saturnino, C.; Aquaro, S.; Rosano, C.; Sinicropi, M.S. Multidrug resistance (MDR): A widespread phenomenon in pharmacological therapies. Molecules 2022, 27, 616. [Google Scholar] [CrossRef] [PubMed]
- Mancuso, G.; Midiri, A.; Gerace, E.; Biondo, C. Bacterial antibiotic resistance: The most critical pathogens. Pathogens 2021, 10, 1310. [Google Scholar] [CrossRef] [PubMed]
- Kargar, H.; Fallah-Mehrjardi, M.; Behjatmanesh-Ardakani, R.; Rudbari, H.A.; Ardakani, A.A.; Sedighi-Khavidak, S.; Munawarf, K.S.; Ashfaq, M.; Tahir, M.N. Synthesis, spectral characterization, crystal structures, biological activities, theoretical calculations and substitution effect of salicylidene ligand on the nature of mono and dinuclear Zn(II) Schiff base complexes. Polyhedron 2022, 213, 115636. [Google Scholar] [CrossRef]
- Aroua, L.M.; Alhag, S.K.; Al-Shuraym, L.A.; Messaoudi, S.; Mahyoub, J.A.; Alfaifi, M.Y.; Al-Otaibi, W.M. Synthesis and characterization of different complexes derived from Schiff base and evaluation as a potential anticancer, antimicrobial, and insecticide agent. Saudi J. Biol. Sci. 2023, 30, 103598. [Google Scholar] [CrossRef] [PubMed]
- Alorini, T.; Daoud, I.; Al-Hakimi, A.N.; Alminderej, F.; Albadri, A.E. An experimental and theoretical investigation of antimicrobial and anticancer properties of some new Schiff base complexes. Res. Chem. Intermed. 2023, 49, 1701–1730. [Google Scholar] [CrossRef]
- Al-Janabi, A.S.; Elzupir, A.O.; Abou-Krisha, M.M.; Yousef, T.A. New dual inhibitors of SARS-CoV-2 based on metal complexes with Schiff-base 4-chloro-3-methyl phenyl hydrazine: Synthesis, DFT, antibacterial properties and molecular docking studies. Inorganics 2023, 11, 63. [Google Scholar]
- Ceramella, J.; Iacopetta, D.; Sinicropi, M.S.; Andreu, I.; Mariconda, A.; Saturnino, C.; Giuzio, F.; Longo, P.; Aquaro, S.; Catalano, A. Drugs for COVID-19: An update. Molecules 2022, 27, 8562. [Google Scholar] [CrossRef]
- Devi, J.; Kumar, S.; Kumar, B.; Asija, S.; Kumar, A. Synthesis, structural analysis, in vitro antioxidant, antimicrobial activity and molecular docking studies of transition metal complexes derived from Schiff base ligands of 4-(benzyloxy)-2-hydroxybenzaldehyde. Res. Chem. Intermed. 2022, 48, 1541–1576. [Google Scholar] [CrossRef]
- Al-Shboul, T.M.; El-khateeb, M.; Obeidat, Z.H.; Ababneh, T.S.; Al-Tarawneh, S.S.; Al Zoubi, M.S.; Alshaer, W.; Abu Seni, A.; Qasem, T.; Moriyama, H.; et al. Synthesis, characterization, computational and biological activity of some Schiff bases and their Fe, Cu and Zn complexes. Inorganics 2022, 10, 112. [Google Scholar] [CrossRef]
- Abdel-Rahman, L.H.; Basha, M.T.; Al-Farhan, B.S.; Shehata, M.R.; Abdalla, E.M. Synthesis, characterization, potential antimicrobial, antioxidant, anticancer, DNA binding, and molecular docking activities and DFT on novel Co(II), Ni(II), VO(II), Cr(III), and La(III) Schiff base complexes. Appl. Organomet. Chem. 2022, 36, e6484. [Google Scholar] [CrossRef]
- Iacopetta, D.; Ceramella, J.; Catalano, A.; D’Amato, A.; Lauria, G.; Saturnino, C.; Andreu, I.; Longo, P.; Sinicropi, M.S. Diarylureas: New promising small molecules against Streptococcus mutans for the treatment of dental caries. Antibiotics 2023, 12, 112. [Google Scholar] [CrossRef]
- Daravath, S.; Rambabu, A.; Ganji, N.; Ramesh, G.; Lakshmi, P.A. Spectroscopic, quantum chemical calculations, antioxidant, anticancer, antimicrobial, DNA binding and photo physical properties of bioactive Cu(II) complexes obtained from trifluoromethoxy aniline Schiff bases. J. Mol. Struct. 2022, 1249, 131601. [Google Scholar] [CrossRef]
- Hajari, S.; Keypour, H.; Rezaei, M.T.; Farida, S.H.M.; Gable, R.W. New 15-membered macrocyclic Schiff base ligand; synthesis some Cd(II), Mn(II) and Zn(II) complexes, crystal structure, cytotoxicity, antibacterial and antioxidant activity. J. Mol. Struct. 2022, 1251, 132049. [Google Scholar] [CrossRef]
- Jyothi, P.; Sumalatha, V.; Rajitha, D. Cobalt(II) complexes with N-methyl thio semicarbazide Schiff bases: Synthesis, spectroscopic investigation, cytotoxicity, DNA binding and incision, anti-bacterial and anti-fungal studies. Inorg. Chem. Commun. 2022, 145, 110029. [Google Scholar]
- Li, C.H.; Jiang, J.H.; Lei, Y.H.; Li, X.; Yao, F.H.; Ji, M.H.; Zhang, K.W.; Tao, L.M.; Ye, L.J.; Li, Q.G. Design, synthesis, and biological evaluation of dinuclear bismuth(III) complexes with Isoniazid-derived Schiff bases. J. Inorg. Biochem. 2022, 235, 111931. [Google Scholar] [CrossRef] [PubMed]
- Saroya, S.; Asija, S.; Kumar, N.; Deswal, Y. Organotin (IV) complexes derived from tridentate Schiff base ligands: Synthesis, spectroscopic analysis, antimicrobial and antioxidant activity. J. Indian Chem. Soc. 2022, 99, 100379. [Google Scholar]
- Andiappan, K.; Sanmugam, A.; Deivanayagam, E.; Karuppasamy, K.; Kim, H.S.; Vikraman, D. Detailed investigations of rare earth (Yb, Er and Pr) based inorganic metal-ion complexes for antibacterial and anticancer applications. Inorg. Chem. Commun. 2023, 150, 110510. [Google Scholar] [CrossRef]
- Alqasaimeh, M.; Abu-Yamin, A.A.; Matar, S.; Al Khalyfeh, K.; Rüffer, T.; Lang, H.; Saraerah, I.A.M.; Salman, M.; Figiel, P.; Leniec, G.; et al. Preparation, spectroscopic investigation, biological activity and magnetic properties of three inner transition metal complexes based on (2-((p-tolylimino) methyl) phenol) Schiff base. J. Mol. Struct. 2023, 1274, 134458. [Google Scholar] [CrossRef]
- Hussein, K.A.; Mahdi, S.; Shaalan, N. Synthesis, Spectroscopy of new lanthanide complexes with Schiff base derived from (4-antipyrinecarboxaldehyde with ethylene di-amine) and study the bioactivity. Baghdad Sci. J. 2023, 20, 469–482. [Google Scholar] [CrossRef]
- Awolope, R.O.; Ejidike, I.P.; Clayton, H.S. Schiff base metal complexes as a dual antioxidant and antimicrobial agents. J. Appl. Pharm. Sci. 2023, 13, 132–140. [Google Scholar] [CrossRef]
- Antony, R.; Arun, T.; Manickam, S.T.D. A review on applications of chitosan-based Schiff bases. Int. J. Biol. Macromol. 2019, 129, 615–633. [Google Scholar] [CrossRef] [PubMed]
- Ali, M.A.; Aswathy, K.A.; Munuswamy-Ramanujam, G.; Jaisankar, V. Pyridine and isoxazole substituted 3-formylindole-based chitosan Schiff base polymer: Antimicrobial, antioxidant and in vitro cytotoxicity studies on THP-1 cells. Int. J. Biol. Macromol. 2023, 225, 1575–1587. [Google Scholar] [PubMed]
- Adhikari, H.S.; Garai, A.; Yadav, P.N. Synthesis, characterization, and anticancer activity of chitosan functionalized isatin based thiosemicarbazones, and their copper(II) complexes. Carbohydrate Res. 2023, 526, 108796. [Google Scholar] [CrossRef]
- Mostafa, M.A.; Ismail, M.M.; Morsy, J.M.; Hassanin, H.M.; Abdelrazek, M.M. Synthesis, characterization, anticancer, and antioxidant activities of chitosan Schiff bases bearing quinolinone or pyranoquinolinone and their silver nanoparticles derivatives. Polymer Bull. 2023, 80, 4035–4059. [Google Scholar] [CrossRef]
- Dalei, G.; Das, S.; Jena, S.R.; Jena, D.; Nayak, J.; Samanta, L. In situ crosslinked dialdehyde guar gum-chitosan Schiff-base hydrogels for dual drug release in colorectal cancer therapy. Chem. Eng. Sci. 2023, 269, 118482. [Google Scholar] [CrossRef]
- Zhu, J.; Chen, X.; Huang, T.; Tian, D.; Gao, R. Characterization and antioxidant properties of chitosan/ethyl-vanillin edible films produced via Schiff-base reaction. Food Sci. Biotechnol. 2023, 32, 157–167. [Google Scholar] [CrossRef]
- Zhang, J.; Zhang, S.; Wang, L.; Tan, W.; Li, Q.; Guo, Z. The antioxidant and antibacterial activities of the pyridine-4-aldehyde Schiff bases grafted chloracetyl chitosan oligosaccharide derivatives. Starch-Stärke 2023, 75, 2100268. [Google Scholar] [CrossRef]
- Hassan, M.A.; Tamer, T.M.; Omer, A.M.; Baset, W.M.; Abbas, E.; Mohy-Eldin, M.S. Therapeutic potential of two formulated novel chitosan derivatives with prominent antimicrobial activities against virulent microorganisms and safe profiles toward fibroblast cells. Int. J. Pharm. 2023, 634, 122649. [Google Scholar] [CrossRef]
- Ali, E.A.; Abo-Salem, H.M.; Arafa, A.A.; Nada, A.A. Chitosan Schiff base electrospun fabrication and molecular docking assessment for nonleaching antibacterial nanocomposite production. Cellulose 2023, 30, 3505–3522. [Google Scholar] [CrossRef]
- Foroughnia, A.; Khalaji, A.D.; Kolvari, E.; Koukabi, N. Synthesis of new chitosan Schiff base and its Fe2O3 nanocomposite: Evaluation of methyl orange removal and antibacterial activity. Int. J. Biol. Macromol. 2021, 177, 83–91. [Google Scholar] [CrossRef]
- Omer, A.M.; Eltaweil, A.S.; El-Fakharany, E.M.; Abd El-Monaem, E.M.; Ismail, M.M.; Mohy-Eldin, M.S.; Ayoup, M.S. Novel cytocompatible chitosan Schiff base derivative as a potent antibacterial, antidiabetic, and anticancer agent. Arab. J. Sci. Engineer. 2023, 48, 7587–7601. [Google Scholar] [CrossRef]
- Gupta, H.; Kaur, K.; Singh, R.; Kaur, V. Chitosan Schiff base for the spectrofluorimetric analysis of E-waste toxins: Pentabromophenol, Fe3+, and Cu2+ ions. Cellulose 2023, 30, 1381–1397. [Google Scholar]
- Wei, W.; Wu, H.; Chen, Y.; Zhong, K.; Feng, L. Application of new chitosan 2,4-dihydroxyacetophenone Schiff base @SrFe12O19 nanocomposite for remove of Pb(II) ion from aqueous solution. Int. J. Biol. Macromol. 2023, 226, 336–344. [Google Scholar] [CrossRef]
- Hachem, K.; Jasim, S.A.; Al-Gazally, M.E.; Riadi, Y.; Yasin, G.; Turki Jalil, A.; Abdulkadhm, M.M.; Fenjan, M.N.; Mustafa, Y.F.; Khalaji, A.D.; et al. Retracted: Adsorption of Pb(II) and Cd(II) by magnetic chitosan-salicylaldehyde Schiff base: Synthesis, characterization, thermal study and antibacterial activity. J. Chinese Chem. Soc. 2022, 69, 512–521. [Google Scholar]
- Mahmoud, R.K.; Mohamed, F.; Gaber, E.; Abdel-Gawad, O.F. Insights into the synergistic removal of copper(II), cadmium(II), and chromium(III) ions using modified chitosan based on Schiff bases-g-poly(acrylonitrile). ACS Omega 2022, 7, 42012–42026. [Google Scholar] [CrossRef] [PubMed]
- Yan, L.; Guo, W.; Huang, B.; Chen, Y.; Ren, X.; Shen, Y.; Zhou, Y.; Cheng, R.; Zhang, J.; Qiu, M.; et al. Efficient removal of Cr(VI) by the modified biochar with chitosan Schiff base and MnFe2O4 nanoparticles: Adsorption and mechanism analysis. J. Environm. Chem. Engineer. 2023, 11, 109432. [Google Scholar]
- Eltaweil, A.; Hashem, O.; Abdel-Hamid, H.; El-Monaem, E.; Ayoup, M. Synthesis of a new magnetic sulfacetamide-ethylacetoacetate hydrazone-chitosan Schiff-base for Cr(VI) removal. Int. J. Biol. Macromol. 2022, 222, 1465–1475. [Google Scholar] [CrossRef] [PubMed]
- Malekshah, R.E.; Shakeri, F.; Khaleghian, A.; Salehi, M. Developing a biopolymeric chitosan supported Schiff-base and Cu(II), Ni(II) and Zn(II) complexes and biological evaluation as pro-drug. Int. J. Biol. Macromol. 2020, 152, 846–861. [Google Scholar] [CrossRef]
- Hamed, A.A.; Saad, G.R.; Abdelhamid, I.A.; Elwahy, A.H.; Abdel-Aziz, M.M.; Elsabee, M.Z. Chitosan Schiff bases-based polyelectrolyte complexes with graphene quantum dots and their prospective biomedical applications. Int. J. Biol. Macromol. 2022, 208, 1029–1045. [Google Scholar] [CrossRef]
- Ignatova, M.; Anastasova, I.; Manolova, N.; Rashkov, I.; Markova, N.; Kukeva, R.; Stoyanova, R.; Georgieva, A.; Toshkova, R. Bio-based electrospun fibers from chitosan Schiff base and polylactide and their Cu2+ and Fe3+ complexes: Preparation and antibacterial and anticancer activities. Polymers 2022, 14, 5002. [Google Scholar]
- Tao, R.; Zhang, N.; Zhang, L.; Habumugisha, T.; Chen, Y.; Lu, Y.; Wang, Y.; Wang, K.; Wang, Y.; Jiang, J. Characterization and antivibrio activity of chitosan-citral Schiff base calcium complex for a calcium citrate sustained release antibacterial agent. Int. J. Biol. Macromol. 2023, 239, 124355. [Google Scholar] [CrossRef] [PubMed]
- Amirthaganesan, K.; Vadivel, T.; Dhamodaran, M.; Chandraboss, V.L. In vitro antifungal studies of ruthenium(III) complex derived from chitosan Schiff bases. Mater. Today Proc. 2022, 60, 1716–1720. [Google Scholar] [CrossRef]
- Bikas, R.; Rashvand, M.H.; Heydari, N.; Kozakiewicz-Piekarz, A. Dinuclear Zn(II) complexes with Schiff base ligands derived from 4-aminoantipyrine; crystal structure and catalytic activity in the synthesis of tetrazoles. J. Mol. Struct. 2023, 1283, 135278. [Google Scholar] [CrossRef]
- Neshat, A.; Cheraghi, M.; Kucerakova, M.; Dusek, M.; Mobarakeh, A.M. A Cu(II) complex based on a Schiff base ligand derived from Ortho-vanillin: Synthesis, DFT analysis and catalytic activities. J. Mol. Struct. 2023, 1274, 134545. [Google Scholar]
- Rabiei, K.; Mohammadkhani, Z.; Keypour, H.; Kouhdareh, J. Palladium Schiff base complex-modified Cu (BDC-NH 2) metal–organic frameworks for C–N coupling. RSC Adv. 2023, 13, 8114–8129. [Google Scholar] [CrossRef] [PubMed]
- Jabbari, A.; Nikoorazm, M.; Moradi, P. AV (O)-Schiff-base complex on MCM-41 as an efficient, reusable, and chemoselective nanocatalyst for the oxidative coupling of thiols and oxidation of sulfides. Res. Chem. Intermed. 2023, 49, 1485–1505. [Google Scholar] [CrossRef]
- Hasan, K.; Joseph, R.G.; Patole, S.P.; Al-Qawasmeh, R.A. Development of magnetic Fe3O4-chitosan immobilized Cu(II) Schiff base catalyst: An efficient and reusable catalyst for microwave assisted one-pot synthesis of propargylamines via A3 coupling. Catal. Comm. 2023, 174, 106588. [Google Scholar]
Disclaimer/Publisher’s Note: The statements, opinions and data contained in all publications are solely those of the individual author(s) and contributor(s) and not of MDPI and/or the editor(s). MDPI and/or the editor(s) disclaim responsibility for any injury to people or property resulting from any ideas, methods, instructions or products referred to in the content. |
© 2023 by the authors. Licensee MDPI, Basel, Switzerland. This article is an open access article distributed under the terms and conditions of the Creative Commons Attribution (CC BY) license (https://creativecommons.org/licenses/by/4.0/).















































