Two-Dimensional Mixed-Ligand Metal–Organic Framework Constructed from Bridging Bidentate V-Shaped Ligands
Abstract
1. Introduction
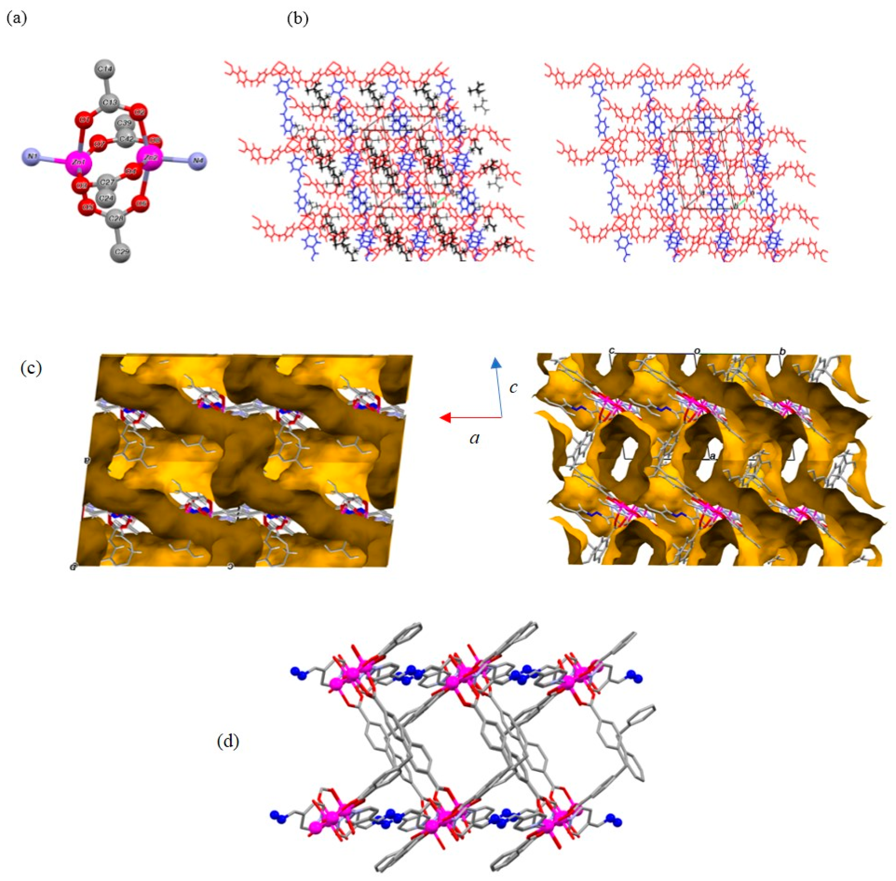
2. Results and Discussion
3. Experimental Section
3.1. Materials and Physical Measurements
3.2. Synthesis of the Ligand and MOF
3.3. Determination of the Crystal Structure of 2DTMU-1
4. Conclusions
Author Contributions
Funding
Institutional Review Board Statement
Informed Consent Statement
Data Availability Statement
Conflicts of Interest
References
- Sanati, S.; Abazari, R.; Albero, J.; Morsali, A.; García, H.; Liang, Z.; Zou, R. Metal–organic framework derived bimetallic materials for electrochemical energy storage. Angew. Chem. Int. Ed. 2021, 60, 11048–11067. [Google Scholar] [CrossRef] [PubMed]
- Masoomi, M.Y.; Morsali, A.; Dhakshinamoorthy, A.; Garcia, H. Mixed-MOFs: Unique opportunities in metal–organic framework (MOF) functionality and design. Angew. Chem. 2019, 131, 15330–15347. [Google Scholar] [CrossRef]
- Liu, K.-G.; Sharifzadeh, Z.; Rouhani, F.; Ghorbanloo, M.; Morsali, A. Metal-organic framework composites as green/sustainable catalysts. Coord. Chem. Rev. 2021, 436, 213827. [Google Scholar] [CrossRef]
- Razavi, S.A.A.; Masoomi, M.Y.; Morsali, A. Morphology-dependent sensing performance of dihydro-tetrazine functionalized MOF toward Al (III). Ultrason. Sonochem. 2018, 41, 17–26. [Google Scholar] [CrossRef]
- Morsali, A.; Mahjoub, A. Coordination polymers of lead(II) with 4,4′-bipyridine: Syntheses and structures. Polyhedron 2004, 23, 2427–2436. [Google Scholar] [CrossRef]
- Fard-Jahromi, M.J.S.; Morsali, A. Sonochemical synthesis of nanoscale mixed-ligands lead (II) coordination polymers as precursors for preparation of Pb2(SO4)O and PbO nanoparticles; thermal, structural and X-ray powder diffraction studies. Ultrason. Sonochem. 2010, 17, 435–440. [Google Scholar] [CrossRef]
- Beobide, G.; Castillo, O.; Cepeda, J.; Luque, A.; Pérez-Yáñez, S.; Román, P.; Thomas-Gipson, J. Metal–carboxylato–nucleobase systems: From supramolecular assemblies to 3D porous materials. Coord. Chem. Rev. 2013, 257, 2716–2736. [Google Scholar] [CrossRef]
- Farrusseng, D. Metal-Organic Frameworks: Applications from Catalysis to Gas Storage; John Wiley & Sons: Hoboken, NJ, USA, 2011. [Google Scholar]
- OYaghi, M.; O’Keeffe, M.; Ockwig, N.W.; Chae, H.K.; Eddaoudi, M.; Kim, J. Reticular synthesis and the design of new materials. Nature 2003, 423, 705–714. [Google Scholar] [CrossRef]
- Thakuria, H.; Das, G. CuO micro plates from a 3D metallo-organic framework (MOF) of a binary copper (II) complex of N,N-bis(2-hydroxyethyl) glycine. Polyhedron 2007, 26, 149–153. [Google Scholar] [CrossRef]
- Bigdeli, F.; Morsali, A.; Retailleau, P. Syntheses and characterization of different zinc (II) oxide nano-structures from direct thermal decomposition of 1D coordination polymers. Polyhedron 2010, 29, 801–806. [Google Scholar] [CrossRef]
- Safarifard, V.; Rodríguez-Hermida, S.; Guillerm, V.; Imaz, I.; Bigdeli, M.; Tehrani, A.A.; Juanhuix, J.; Morsali, A.; Casco, M.E.; Silvestre-Albero, J. Influence of the amide groups in the CO2/N2 selectivity of a series of isoreticular, interpenetrated metal–organic frameworks. Cryst. Growth Des. 2016, 16, 6016–6023. [Google Scholar] [CrossRef]
- Sadeghzadeh, H.; Morsali, A. Hedge balls nano-structure of a mixed-ligand lead (II) coordination polymer; thermal, structural and X-ray powder diffraction studies. Cryst. Eng. Comm. 2010, 12, 370–372. [Google Scholar] [CrossRef]
- Lin, H.-Y.; Mu, B.; Wang, X.-L.; Tian, A.-X. Three copper (II) complexes connected through tetradentate carboxylate linkers and bidentate N-heterocyclic ligands: From 3-D MOF to 1-D chain. J. Organomet. Chem. 2012, 702, 36–44. [Google Scholar] [CrossRef]
- Hashemi, L.; Morsali, A. Microwave assisted synthesis of a new lead (II) porous three-dimensional coordination polymer: Study of nanostructured size effect on high iodide adsorption affinity. Cryst. Eng. Comm. 2012, 14, 779–781. [Google Scholar] [CrossRef]
- Masoomi, M.Y.; Morsali, A.; Junk, P.C. Ultrasound assisted synthesis of a Zn (II) metal–organic framework with nano-plate morphology using non-linear dicarboxylate and linear N-donor ligands. RSC Adv. 2014, 4, 47894–47898. [Google Scholar] [CrossRef]
- Ranjbar, Z.R.; Morsali, A. Sonochemical syntheses of a new nano-sized porous lead (II) coordination polymer as precursor for preparation of lead (II) oxide nanoparticles. J. Mol. Struct. 2009, 936, 206–212. [Google Scholar] [CrossRef]
- Teo, P.; Hor, T.A. Spacer directed metallo-supramolecular assemblies of pyridine carboxylates. Coord. Chem. Rev. 2011, 255, 273–289. [Google Scholar] [CrossRef]
- Razavi, S.A.A.; Morsali, A.; Piroozzadeh, M. A Dihydrotetrazine-Functionalized Metal–Organic Framework as a Highly Selective Luminescent Host–Guest Sensor for Detection of 2,4,6-Trinitrophenol. Inorg. Chem. 2022, 61, 7820–7834. [Google Scholar] [CrossRef]
- Kreno, L.E.; Leong, K.; Farha, O.K.; Allendorf, M.; Van Duyne, R.P.; Hupp, J.T. Metal–organic framework materials as chemical sensors. Chem. Rev. 2012, 112, 1105–1125. [Google Scholar] [CrossRef]
- Furukawa, H.; Ko, N.; Go, Y.B.; Aratani, N.; Choi, S.B.; Choi, E.; Yazaydin, A.Ö.; Snurr, R.Q.; O’Keeffe, M.; Kim, J. Ultrahigh porosity in metal-organic frameworks. Science 2010, 329, 424–428. [Google Scholar] [CrossRef]
- Rouhani, F.; Morsali, A. Fast and Selective Heavy Metal Removal by a Novel Metal-Organic Framework Designed with In-Situ Ligand Building Block Fabrication Bearing Free Nitrogen. Chem. Eur. J. 2018, 24, 5529–5537. [Google Scholar] [CrossRef]
- Hu, M.-L.; Razavi, S.A.A.; Piroozzadeh, M.; Morsali, A. Sensing organic analytes by metal–organic frameworks: A new way of considering the topic. Inorg. Chem. Front. 2020, 7, 1598–1632. [Google Scholar] [CrossRef]
- Bigdeli, F.; Abedi, S.; Hosseini-Monfared, H.; Morsali, A. An investigation of the catalytic activity in a series of isoreticular Zn (II)-based metal-organic frameworks. Inorg. Chem. Commun. 2016, 72, 122–127. [Google Scholar] [CrossRef]
- Motakef-Kazemi, N.; Shojaosadati, S.A.; Morsali, A. In situ synthesis of a drug-loaded MOF at room temperature. Microporous Mesoporous Mater. 2014, 186, 73–79. [Google Scholar] [CrossRef]
- Akhbari, K.; Morsali, A. Modulating methane storage in anionic nano-porous MOF materials via post-synthetic cation exchange process. Dalton Trans. 2013, 42, 4786–4789. [Google Scholar] [CrossRef] [PubMed]
- Afshariazar, F.; Morsali, A. A dual-response regenerable luminescent 2D-MOF for nitroaromatic sensing via target-modulation of active interaction sites. J. Mater. Chem. C 2021, 9, 12849–12858. [Google Scholar] [CrossRef]
- Parsa, F.; Ghorbanloo, M.; Morsali, A.; Wang, J.; Junk, P.C.; Retailleau, P. Azobenzene based 2D-MOF for high selective quinone fluorescence sensing performance. Inorg. Chim. Acta 2020, 510, 119699. [Google Scholar] [CrossRef]
- Chakraborty, G.; Park, I.-H.; Medishetty, R.; Vittal, J.J. Two-dimensional metal-organic framework materials: Synthesis, structures, properties and applications. Chem. Rev. 2021, 121, 3751–3891. [Google Scholar] [CrossRef]
- Abdollahi, N.; Masoomi, M.Y.; Morsali, A.; Junk, P.C.; Wang, J. Sonochemical synthesis and structural characterization of a new Zn (II) nanoplate metal–organic framework with removal efficiency of Sudan red and Congo red. Ultrason. Sonochem. 2018, 45, 50–56. [Google Scholar] [CrossRef]
- Masoomi, M.Y.; Bagheri, M.; Morsali, A. Porosity and dye adsorption enhancement by ultrasonic synthesized Cd (II) based metal-organic framework. Ultrason. Sonochem. 2017, 37, 244–250. [Google Scholar] [CrossRef]
- Zhang, X.; Xamena, F.L.I.; Corma, A. Gold (III)–metal organic framework bridges the gap between homogeneous and heterogeneous gold catalysts. J. Catal. 2009, 265, 155–160. [Google Scholar] [CrossRef]
- Wang, M.; Dong, R.; Feng, X. Two-dimensional conjugated metal–organic frameworks (2D c-MOFs): Chemistry and function for MOFtronics. Chem. Soc. Rev. 2021, 50, 2764–2793. [Google Scholar] [CrossRef] [PubMed]
- Sun, L.; Campbell, M.G.; Dincă, M. Electrically conductive porous metal–organic frameworks. Angew. Chem. Int. Ed. 2016, 55, 3566–3579. [Google Scholar] [CrossRef]
- Afshariazar, F.; Morsali, A. Target-Architecture Engineering of a Novel Two-Dimensional Metal–Organic Framework for High Catalytic Performance. Cryst. Growth Des. 2019, 19, 4239–4245. [Google Scholar] [CrossRef]
- Su, J.; He, W.; Li, X.-M.; Sun, L.; Wang, H.-Y.; Lan, Y.-Q.; Ding, M.; Zuo, J.-L. High electrical conductivity in a 2D MOF with intrinsic superprotonic conduction and interfacial pseudo-capacitance. Matter 2020, 2, 711–722. [Google Scholar] [CrossRef]
- Li, J.; Song, S.; Meng, J.; Tan, L.; Liu, X.; Zheng, Y.; Li, Z.; Yeung, K.W.K.; Cui, Z.; Liang, Y. 2D MOF periodontitis photodynamic ion therapy. J. Am. Chem. Soc. 2021, 143, 15427–15439. [Google Scholar] [CrossRef]
- Ahmad, N.; Younus, H.A.; Chughtai, A.H.; Van Hecke, K.; Khattak, Z.A.; Gaoke, Z.; Danish, M.; Verpoort, F. Synthesis of 2D MOF having potential for efficient dye adsorption and catalytic applications. Catal. Sci. Technol. 2018, 8, 4010–4017. [Google Scholar] [CrossRef]
- Ghasempour, H.; Wang, K.-Y.; Powell, J.A.; ZareKarizi, F.; Lv, X.-L.; Morsali, A.; Zhou, H.-C. Metal–organic frameworks based on multicarboxylate linkers. Coord. Chem. Rev. 2021, 426, 213542. [Google Scholar] [CrossRef]
- Furukawa, H.; Cordova, K.E.; O’Keeffe, M.; Yaghi, O.M. The chemistry and applications of metal-organic frameworks. Science 2013, 341, 1230444. [Google Scholar] [CrossRef]
- Masoomi, M.Y.; Stylianou, K.C.; Morsali, A.; Retailleau, P.; Maspoch, D. Selective CO2 capture in metal–organic frameworks with azine-functionalized pores generated by mechanosynthesis. Cryst. Growth Des. 2014, 14, 2092–2096. [Google Scholar] [CrossRef]
- OD, R. CrysAlis PRO; Rigaku Oxford Diffraction: Oxfordshire, UK, 2015. [Google Scholar]
- Sheldrick, G.M. Crystal structure refinement with SHELXL. Acta Crystallogr. Sect. C Struct. Chem. 2015, 71, 3–8. [Google Scholar] [CrossRef]
- Ciurtin, D.M.; Dong, Y.-B.; Smith, M.D.; Barclay, T.; Loye, H.-C.Z. Two versatile N,N′-bipyridine-type ligands for preparing organic− inorganic coordination polymers: New cobalt-and nickel-containing framework materials. Inorg. Chem. 2001, 40, 2825–2834. [Google Scholar] [CrossRef]
- Spek, A.L. checkCIF validation ALERTS: What they mean and how to respond. Acta Crystallogr. Sect. E Crystallogr. Commun. 2020, 76, 1–11. [Google Scholar] [CrossRef]







| Zn(1)-O(5) | 2.040(2) | O(5)-Zn(1)-N(1) | 99.68(9) |
| Zn(1)-N(1) | 2.041(2) | O(5)-Zn(1)-O(3) #1 | 87.60(9) |
| Zn(1)-O(3) #1 | 2.047(2) | N(1)-Zn(1)-O(3) #1 | 110.72(10) |
| Zn(1)-O(1) #2 | 2.052(2) | O(5)-Zn(1)-O(1) #2 | 163.74(8) |
| Zn(1)-O(7) #3 | 2.056(2) | N(1)-Zn(1)-O(1) #2 | 96.35(9) |
| Zn(1)-Zn(2) #2 | 2.9338(5) | O(3) #1-Zn(1)-O(1) #2 | 89.28(9) |
| Zn(2)-O(2) | 2.033(2) | O(5)-Zn(1)-O(7) #3 | 88.22(9) |
| Zn(2)-N(4) | 2.042(2) | N(1)-Zn(1)-O(7) #3 | 94.92(10) |
| Zn(2)-O(6) #4 | 2.048(2) | O(3) #1-Zn(1)-O(7) #3 | 154.36(8) |
| Zn(2)-O(8) #5 | 2.050(2) | O(1) #2-Zn(1)-O(7) #3 | 87.71(9) |
| Zn(2)-O(4) #6 | 2.098(2) | O(5)-Zn(1)-Zn(2) #2 | 86.65(6) |
| N(1)-Zn(1)-Zn(2) #2 | 162.94(8) | ||
| O(3) #1-Zn(1)-Zn(2) #2 | 85.21(6) | ||
| O(1) #2-Zn(1)-Zn(2) #2 | 77.19(6) | ||
| O(7) #3-Zn(1)-Zn(2) #2 | 69.30(6) | ||
| O(2)-Zn(2)-N(4) | 102.58(9) | ||
| O(2)-Zn(2)-O(6) #4 | 155.79(8) | ||
| N(4)-Zn(2)-O(6) #4 | 100.92(9) | ||
| O(2)-Zn(2)-O(8) #5 | 88.07(9) | ||
| N(4)-Zn(2)-O(8) #5 | 103.56(9) | ||
| O(6) #4-Zn(2)-O(8) #5 | 92.06(9) | ||
| O(2)-Zn(2)-O(4) #6 | 87.52(9) | ||
| N(4)-Zn(2)-O(4) #6 | 91.10(9) | ||
| O(6) #4-Zn(2)-O(4) #6 | 86.28(9) | ||
| O(8) #5-Zn(2)-O(4) #6 | 165.29(8) | ||
| O(2)-Zn(2)-Zn(1) #4 | 82.66(6) | ||
| N(4)-Zn(2)-Zn(1) #4 | 164.91(8) | ||
| O(6) #4-Zn(2)-Zn(1) #4 | 73.13(6) | ||
| O(8) #5-Zn(2)-Zn(1) #4 | 90.66(6) | ||
| O(4) #6-Zn(2)-Zn(1) #4 | 74.87(6) |
| Identification Code | 2DTMU-1 [Zn2(cba)2(bpdb)]·(DMF)y |
|---|---|
| Empirical formula | C42 H30 N4 O8 Zn2, 4 (C3 H7 N O) |
| Formula weight | 1141.82 |
| Temperature | 100(2) K |
| Wavelength | 0.71073 Å |
| Crystal system | Triclinic |
| Space group | P-1 |
| Unit cell dimensions | a = 12.6848(9) Å, α = 78.658(5)° |
| b = 12.9028(8) Å, β = 80.243(5)° | |
| c = 18.1796(9) Å, γ = 72.620(6)° | |
| Volume | 2764.6(3) Å3 |
| Z | 2 |
| Density (calculated) | 1.382 Mg/m3 |
| Absorption coefficient | 0.942 mm−1 |
| F(000) | 1188 |
| Crystal size | 0.12 mm × 0.11 mm × 0.07 mm |
| θ range for data collection | 2.550 to 25.349° |
| Index ranges | −15 ≤ h ≤ 15, −15 ≤ k ≤ 14, −21 ≤ l ≤ 21 |
| Reflections collected | 40891 |
| Independent reflections | 10063 [R(int) = 0.1061] |
| Completeness to θ = 25.242 Å | 99.2% |
| Absorption correction | Sphere r 0.1 Å T 0.872 |
| Refinement method | Full-matrix least-squares on F2 |
| Data/restraints/parameters | 10,060/401/764 |
| Goodness-of-fit for F2 | 0.966 |
| Final R indices [I > 2σ(I)] | R1 = 0.0452, wR2 = 0.0896 |
| R indices (all data) | R1 = 0.0801, wR2 = 0.1003 |
| Largest diff. peak and hole | 0.444 and −0.472 e. Å−3 |
Disclaimer/Publisher’s Note: The statements, opinions and data contained in all publications are solely those of the individual author(s) and contributor(s) and not of MDPI and/or the editor(s). MDPI and/or the editor(s) disclaim responsibility for any injury to people or property resulting from any ideas, methods, instructions or products referred to in the content. |
© 2023 by the authors. Licensee MDPI, Basel, Switzerland. This article is an open access article distributed under the terms and conditions of the Creative Commons Attribution (CC BY) license (https://creativecommons.org/licenses/by/4.0/).
Share and Cite
Zhong, W.-W.; Dehghani Firuzabadi, F.; Hanifehpour, Y.; Zeng, X.; Feng, Y.-J.; Liu, K.-G.; Joo, S.W.; Morsali, A.; Retailleau, P. Two-Dimensional Mixed-Ligand Metal–Organic Framework Constructed from Bridging Bidentate V-Shaped Ligands. Inorganics 2023, 11, 184. https://doi.org/10.3390/inorganics11050184
Zhong W-W, Dehghani Firuzabadi F, Hanifehpour Y, Zeng X, Feng Y-J, Liu K-G, Joo SW, Morsali A, Retailleau P. Two-Dimensional Mixed-Ligand Metal–Organic Framework Constructed from Bridging Bidentate V-Shaped Ligands. Inorganics. 2023; 11(5):184. https://doi.org/10.3390/inorganics11050184
Chicago/Turabian StyleZhong, Wen-Wu, Fahimeh Dehghani Firuzabadi, Younes Hanifehpour, Xue Zeng, Yuan-Jiao Feng, Kuan-Guan Liu, Sang Woo Joo, Ali Morsali, and Pascal Retailleau. 2023. "Two-Dimensional Mixed-Ligand Metal–Organic Framework Constructed from Bridging Bidentate V-Shaped Ligands" Inorganics 11, no. 5: 184. https://doi.org/10.3390/inorganics11050184
APA StyleZhong, W.-W., Dehghani Firuzabadi, F., Hanifehpour, Y., Zeng, X., Feng, Y.-J., Liu, K.-G., Joo, S. W., Morsali, A., & Retailleau, P. (2023). Two-Dimensional Mixed-Ligand Metal–Organic Framework Constructed from Bridging Bidentate V-Shaped Ligands. Inorganics, 11(5), 184. https://doi.org/10.3390/inorganics11050184

