GaAs Quantum Dot Confined with a Woods–Saxon Potential: Role of Structural Parameters on Binding Energy and Optical Absorption
Abstract
1. Introduction
2. Theoretical Modeling
2.1. Woods–Saxon Potential Form
2.2. Calculation of Electronic and Optical Properties
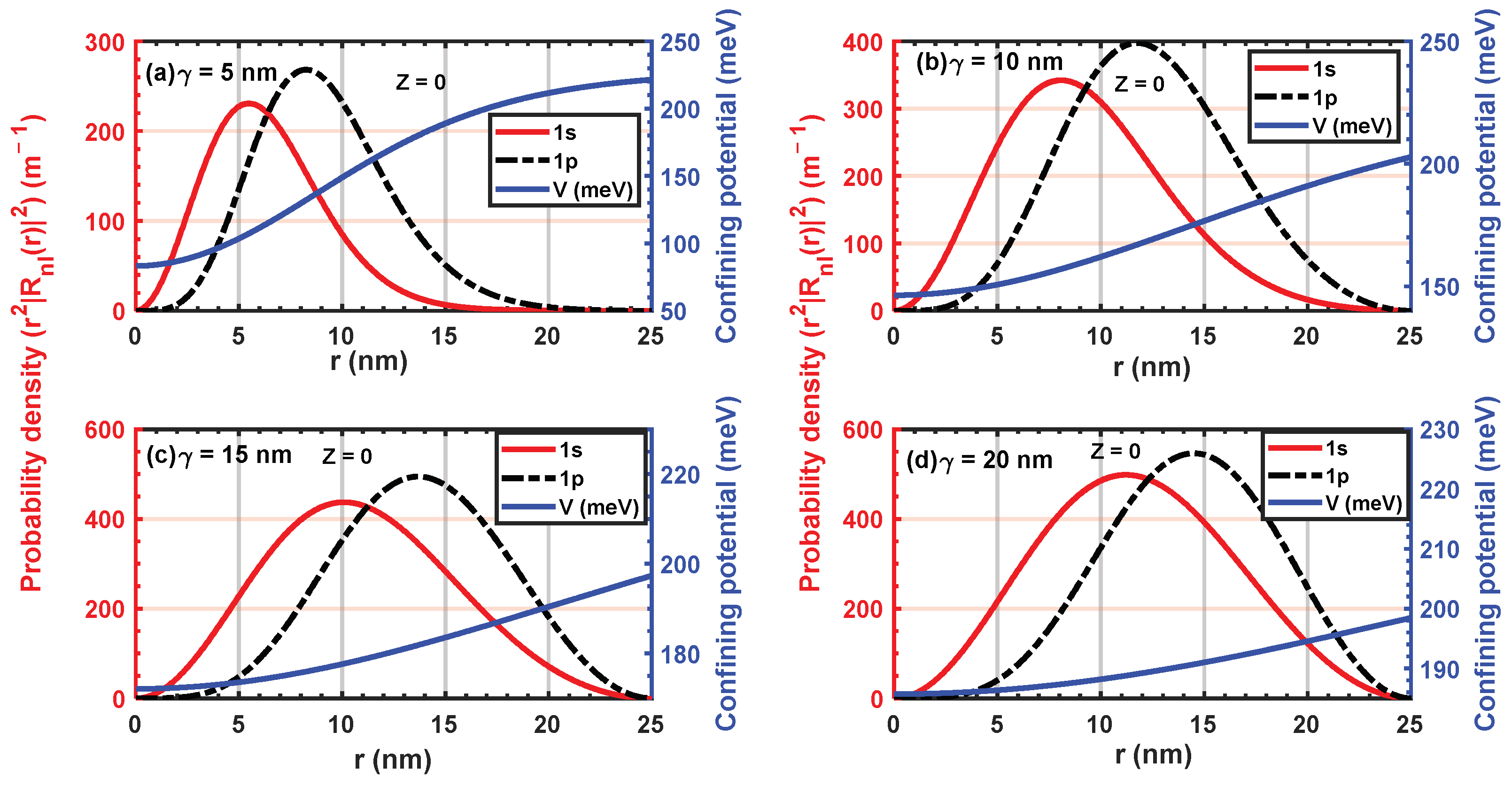
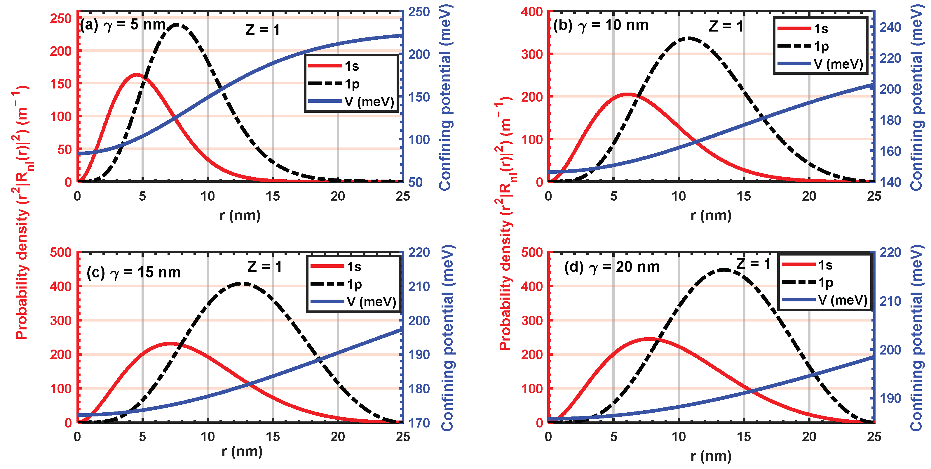
3. Results and Discussion
4. Conclusions
Author Contributions
Funding
Data Availability Statement
Conflicts of Interest
References
- Dakhlaoui, H.; Belhadj, W.; Musa, M.O.; Ungan, F. Binding energy, electronic states, and optical absorption in a staircase-like spherical quantum dot with hydrogenic impurity. Eur. Phys. J. Plus 2023, 138, 519. [Google Scholar] [CrossRef]
- Durante, F.; Alves, P.; Karunasiri, G.; Hanson, N.; Byloos, M.; Liu, H.C.; Bezinger, A.; Buchanan, M. NIR, MWIR and LWIR quantum well infrared photodetector using interband and intersubband transitions. Infrared Phys. Technol. 2007, 50, 182. [Google Scholar]
- Imamura, K.; Sugiyama, Y.; Nakata, Y.; Muto, S.; Yokoyama, N. New optical memory structure using self-assembled InAs quantum dots. Jpn. J. Appl. Phys. 1995, 34, L1445. [Google Scholar] [CrossRef]
- Fickenscher, M.; Shi, T.; Jackson, H.E.; Smith, L.M.; Yarrison-Rice, J.M.; Zheng, C.; Miller, P.; Etheridge, J.; Wong, B.M.; Gao, Q.; et al. Optical, structural, and numerical investigations of GaAs/AlGaAs core–multishell nanowire quantum well tubes. Nano Lett. 2013, 13, 1016–1022. [Google Scholar] [CrossRef]
- Marent, A.; Nowozin, T.; Geller, M.; Bimberg, D. The QD-Flash: A quantum dot-based memory device. Semicond. Sci. Technol. 2011, 26, 014026. [Google Scholar] [CrossRef]
- Bonato, L.; Arikan, I.F.; Desplanque, L.; Coinon, C.; Wallart, X.; Wang, Y.; Ruterana, P.; Bimberg, D. Hole localization energy of 1.18 eV in GaSb quantum dots embedded in GaP. Phys. Status Solidi B 2016, 253, 1869. [Google Scholar] [CrossRef][Green Version]
- Abramkin, D.S.; Atuchin, V.V. Novel InGaSb/AlP Quantum dots for non-volatile memories. Nanomaterials 2022, 12, 3794. [Google Scholar] [CrossRef]
- Abramkin, D.S.; Petrushkov, M.O.; Bogomolov, D.B.; Emelyanov, E.A.; Yesin, M.Y.; Vasev, A.V.; Bloshkin, A.A.; Koptev, E.S.; Putyato, M.A.; Atuchin, V.V.; et al. Structural properties and energy spectrum of novel GaSb/AlP self-assembled quantum dots. Nanomaterials 2023, 13, 910. [Google Scholar] [CrossRef]
- AL-Naghmaisha, A.; Dakhlaoui, H.; Ghrib, T.; Wong, B.M. Effects of magnetic, electric, and intense laser fields on the optical properties of AlGaAs/GaAs quantum wells for terahertz photodetectors. Phys. B Condens. Matter. 2022, 635, 413838. [Google Scholar] [CrossRef]
- Almansour, S.; Dakhlaoui, H.; Algrafy, E. The effect of hydrostatic pressure, temperature and magnetic field on the nonlinear optical properties of asymmetrical Gaussian potential quantum wells. Chin. Phys. Lett. 2016, 33, 027301. [Google Scholar]
- Turkoglu, A.; Dakhlaoui, H.; Mora-Ramos, M.E.; Ungan, F. Optical properties of a quantum well with Razavy confinement potential: Role of applied external field. Phys. E 2021, 134, 114919. [Google Scholar] [CrossRef]
- Dakhlaoui, H.; Altuntas, I.; Mora-Ramos, M.E.; Ungan, F. Numerical simulation of linear and nonlinear optical properties in heterostructure based on triple Gaussian quantum wells: Effects of applied external fields and structural parameters. Eur. Phys. J. Plus 2021, 136, 894. [Google Scholar] [CrossRef]
- Dakhlaoui, H.; Ungan, F.; Martínez-Orozco, J.C.; Mora-Ramos, M.E. Theoretical investigation of linear and nonlinear optical properties in an heterostructure based on triple parabolic barriers: Effects of external fields. Phys. B 2021, 607, 412782. [Google Scholar] [CrossRef]
- Dakhlaoui, H.; Belhadj, W.; Durmuslar, A.S.; Ungan, F.; Abdelkader, A. Numerical study of optical absorption coefficients in Manning-like AlGaAs/GaAs double quantum wells: Effects of doped impurities. Phys. E Low Dimens. Syst. Nanostruct. 2023, 147, 115623. [Google Scholar] [CrossRef]
- Dakhlaoui, H.; Belhadj, W.; Musa, M.O.; Ungan, F. Electronic states and optical characteristics of GaAs Spherical quantum dot based on Konwent-like confining potential: Role of the hydrogenic impurity and structure parameters. Optik 2023, 277, 170684. [Google Scholar] [CrossRef]
- Yoffe, A.D. Semiconductor quantum dots and related systems: Electronic, optical, luminescence and related properties of low dimensional systems. Adv. Phys. 2001, 50, 1. [Google Scholar] [CrossRef]
- Nirmal, M.; Brus, L. Luminescence Photophysics in semiconductor nanocrystals. Acc. Chem. Res. 1999, 32, 407. [Google Scholar] [CrossRef]
- Sargent, E.H. Colloidal quantum dot solar cells. Nat. Photon. 2012, 6, 133. [Google Scholar] [CrossRef]
- Bouzaiene, L.; Alamri, H.; Sfaxi, L.; Maaref, H. Simultaneous effects of hydrostatic pressure, temperature and electric field on optical absorption in InAs/GaAs lens shape quantum dot. J. Alloys Compd. 2016, 655, 172. [Google Scholar] [CrossRef]
- Ben Mahrsia, R.; Choubani, M.; Bouzaiene, L.; Maaref, H. Second-harmonic generation in vertically coupled InAs/GaAs quantum dots with a Gaussian potential distribution: Combined effects of electromagnetic fields, pressure, and temperature. Electron. Mater. 2015, 44, 2792. [Google Scholar] [CrossRef]
- Al-Marhaby, F.A.; Al-Ghamdi, M.S. Experimental investigation of stripe cavity length effect on threshold current density for InP/AlGaInP QD laser diode. Opt. Mater. 2022, 127, 112191. [Google Scholar] [CrossRef]
- Chuang, C.H.M.; Brown, P.R.; Bulović, V.; Bawendi, M.G. Improved performance and stability in quantum dot solar cells through band alignment engineering. Nat. Mater. 2014, 13, 796. [Google Scholar] [CrossRef]
- De Franceschi, S.; Kouwenhoven, L.; Schönenberger, C.; Wernsdorfer, W. Hybrid superconductor–quantum dot devices. Nat. Nanotechnol. 2010, 5, 703. [Google Scholar] [CrossRef] [PubMed]
- Gao, X.; Yang, L.; Petros, J.A.; Marshall, F.F.; Simons, J.W.; Nie, S. In vivo molecular and cellular imaging with quantum dots. Cur. Opin. Biotechnol. 2005, 16, 63. [Google Scholar] [CrossRef]
- Medintz, I.L.; Clapp, A.R.; Mattoussi, H.; Goldman, E.R.; Fisher, B.; Mauro, J.M. Self-assembled nanoscale biosensors based on quantum dot FRET donors. Nat. Mater. 2003, 2, 630. [Google Scholar] [CrossRef] [PubMed]
- Loss, D.; DiVincenzo, D.P. Quantum computation with quantum dots. Phys. Rev. A 1998, 57, 120. [Google Scholar] [CrossRef]
- Al-Sheikhi, A.; Al-Abedi, N.A.A. The luminescent emission and quantum optical efficiency of Cd1−xSrxSe QDs developed via ions exchange approach for multicolor-lasing materials and LED applications. Optik 2021, 227, 166035. [Google Scholar] [CrossRef]
- Al-Ahmadi, N.A. The anti-crossing and dipping spectral behavior of coupled nanocrystal system under the influence of the magnetic field. Results Phys. 2021, 22, 103835. [Google Scholar]
- Galiautdinov, A. Ground state of an exciton in a three-dimensional parabolic quantum dot: Convergent perturbative calculation. Phys. Lett. A 2018, 382, 72. [Google Scholar] [CrossRef]
- Vahdani, M.R.K.; Rezaei, G. Intersubband optical absorption coefficients and refractive index changes in a parabolic cylinder quantum dot. Phys. Lett. A 2010, 374, 637. [Google Scholar] [CrossRef]
- Khordad, R. Use of modified Gaussian potential to study an exciton in a spherical quantum dot. Superlattices Microstruct. 2013, 54, 7. [Google Scholar] [CrossRef]
- Sakiroglu, S.; Kasapoglu, S.; Restrepo, R.L.; Duque, C.A.; Sökmen, I. Intense laser field-induced nonlinear optical properties of Morse quantum well. Phys. Stat. Solidi B 2017, 254, 1600457. [Google Scholar] [CrossRef]
- Prasad, V.; Silotia, P. Effect of laser radiation on optical properties of disk-shaped quantum dot in magnetic fields. Phys. Lett. A 2011, 375, 3910. [Google Scholar] [CrossRef]
- Lee, S.W.; Hirakava, K.; Shimada, Y. Bound-to-continuum intersubband photoconductivity of self-assembled InAs quantum dots in modulation-doped heterostructures. Appl. Phys. Lett. 1999, 75, 1428. [Google Scholar] [CrossRef]
- Klimov, V.I.; McBranch, D.W.; Leatherdale, C.A.; Bawendi, M.G. Electron and hole relaxation pathways in semiconductor quantum dots. Phys. Rev. B 1999, 60, 13740. [Google Scholar] [CrossRef]
- Mackowski, S.; Kyrychenko, F.; Karczewski, G.; Kossut, J.; Heiss, W.; Prechtl, G. Thermal carrier escape and capture in CdTe quantum dots. Phys. Stat. Solidi B 2001, 224, 465. [Google Scholar] [CrossRef]
- Sauvage, S.; Boucaud, P.; Brunhes, T.; Immer, V.; Finkman, E.; Gerard, J.M. Midinfrared absorption and photocurrent spectroscopy of InAs/GaAs self-assembled quantum dot. Appl. Phys. Lett. 2001, 78, 2327. [Google Scholar] [CrossRef][Green Version]
- Schrey, F.F.; Rebohle, L.; Muller, T.; Strasser, G.; Unterrainer, K.; Nguyen, D.P.; Regnault, N.; Ferreira, R.; Bastard, G. Intraband transitions in quantum dot–superlattice heterostructures. Phys. Rev. B 2005, 72, 155310. [Google Scholar] [CrossRef]
- Bahar, M.K.; Baser, P. Nonlinear optical characteristics of thermodynamic effects-and electric field-triggered Mathieu quantum dot. Micro Nanostruct. 2022, 170, 207371. [Google Scholar] [CrossRef]
- Batra, K.; Prasad, V. Spherical quantum dot in Kratzer confining potential: Study of linear and nonlinear optical absorption coefficients and refractive index changes. Eur. Phys. J. B 2018, 91, 298. [Google Scholar] [CrossRef]
- Buczko, R.; Bassani, F. Bound and resonant electron states in quantum dots: The optical spectrum. Phys. Rev. B 1996, 54, 2667. [Google Scholar] [CrossRef]
- Narvaez, G.A.; Zunger, A. Calculation of conduction-to-conduction and valence-to-valence transitions between bound states in (In, Ga)As/GaAs quantum dots. Phys. Rev. B 2007, 75, 085306. [Google Scholar] [CrossRef]
- Stoleru, V.G.; Towe, E. Oscillator strength for intraband transitions in (In, Ga)As/GaAs. Appl. Phys. Lett. 2003, 83, 5026. [Google Scholar] [CrossRef]
- Yilmaz, S.; Safak, H. Oscillator strengths for the intersubband transitions in a CdS–SiO2 quantum dot with hydrogenic impurity. Phys. E 2007, 36, 40. [Google Scholar] [CrossRef]
- Costa, L.S.D.; Prudente, F.V.; Acioli, P.H.; Neto, J.S.; Vianna, J.D.M. A study of confined quantum systems using the Woods-Saxon potential. J. Phys. B At. Mol. Opt. Phys. 1999, 32, 2461. [Google Scholar] [CrossRef]
- Fakkahi, A.; Sali, A.; Jaouane, M.; Arraoui, R.; Ed-Dahmouny, A. Study of photoionization cross section and binding energy of shallow donor impurity in multilayered spherical quantum dot. Phys. E 2022, 143, 115351. [Google Scholar] [CrossRef]
- Sali, A.; Satori, H.; Fliyou, M.; Loumrhari, H. The photoionization cross-section of impurities in quantum dots. Phys. Status Solidi 2002, 232, 209. [Google Scholar] [CrossRef]
- Holovatsky, V.; Chubrei, M.; Yurchenko, O. Impurity photoionization cross-section and intersubband optical absorption coefficient in multilayer spherical quantum dots. Phys. Chem. Solid. State 2021, 22, 630. [Google Scholar] [CrossRef]
- Arraoui, R.; Sali, A.; Ed-Dahmouny, A.; Jaouane, M.; Fakkahi, A. Polaronic mass and non-parabolicity effects on the photoionization cross section of an impurity in a double quantum dot. Superlattice Microst. 2021, 159, 107049. [Google Scholar] [CrossRef]
- Sahin, M.; Koksal, K. The linear optical properties of a multi-shell spherical quantum dot of a parabolic confinement for cases with and without a hydrogenic impurity. Semicond. Sci. Technol. 2012, 27, 125011. [Google Scholar] [CrossRef]
- Ed-Dahmouny, A.; Arraoui, R.; Jaouane, M.; Fakkahi, A.; Sali, A.; Es-Sbai, N.; El-Bakkari, K.; Zeiri, N.; Duque, C.A. The influence of the electric and magnetic fields on donor impurity electronic states and optical absorption coefficients in a core/shell GaAs/Al0.33Ga0.67As ellipsoidal quantum dot. Eur. Phys. J. Plus 2023, 138, 774. [Google Scholar] [CrossRef]
- Ed-Dahmouny, A.; Zeiri, N.; Arraoui, R.; Es-Sbai, N.; Jaouane, M.; Fakkahi, A.; Sali, A.; El-Bakkari, K.; Duque, C.A. The third-order nonlinear optical susceptibility in an ellipsoidal core-shell quantum dot embedded in various dielectric surrounding matrices. Phys. E 2023, 153, 115784. [Google Scholar] [CrossRef]














Disclaimer/Publisher’s Note: The statements, opinions and data contained in all publications are solely those of the individual author(s) and contributor(s) and not of MDPI and/or the editor(s). MDPI and/or the editor(s) disclaim responsibility for any injury to people or property resulting from any ideas, methods, instructions or products referred to in the content. |
© 2023 by the authors. Licensee MDPI, Basel, Switzerland. This article is an open access article distributed under the terms and conditions of the Creative Commons Attribution (CC BY) license (https://creativecommons.org/licenses/by/4.0/).
Share and Cite
Dakhlaoui, H.; Belhadj, W.; Elabidi, H.; Ungan, F.; Wong, B.M. GaAs Quantum Dot Confined with a Woods–Saxon Potential: Role of Structural Parameters on Binding Energy and Optical Absorption. Inorganics 2023, 11, 401. https://doi.org/10.3390/inorganics11100401
Dakhlaoui H, Belhadj W, Elabidi H, Ungan F, Wong BM. GaAs Quantum Dot Confined with a Woods–Saxon Potential: Role of Structural Parameters on Binding Energy and Optical Absorption. Inorganics. 2023; 11(10):401. https://doi.org/10.3390/inorganics11100401
Chicago/Turabian StyleDakhlaoui, Hassen, Walid Belhadj, Haykel Elabidi, Fatih Ungan, and Bryan M. Wong. 2023. "GaAs Quantum Dot Confined with a Woods–Saxon Potential: Role of Structural Parameters on Binding Energy and Optical Absorption" Inorganics 11, no. 10: 401. https://doi.org/10.3390/inorganics11100401
APA StyleDakhlaoui, H., Belhadj, W., Elabidi, H., Ungan, F., & Wong, B. M. (2023). GaAs Quantum Dot Confined with a Woods–Saxon Potential: Role of Structural Parameters on Binding Energy and Optical Absorption. Inorganics, 11(10), 401. https://doi.org/10.3390/inorganics11100401

