Abstract
Organometallic sandwich compounds, especially ferrocenes, possess a wide variety of pharmacological activities and therefore are attracting more and more attention from chemists, biologists, biochemists, etc. Excellent reviews concerning biological aspects and design of ferrocene-modified compounds appear regularly in scientific journals. This brief overview highlights recent achievements in the field of bio-organometallic ferrocene chemistry from 2017 to 2022. During this period, new ferrocene-modified analogues of various bio-structures were synthesized, namely, betulin, artemisinin, steroids, and alkaloids. In addition, studies of the biological potential of ferrocenes have been expanded. Since ferrocene is 70 years old this year, a brief historical background is also given. It seemed to me useful to sketch the ‘ferrocene picture’ in broad strokes.
1. Introduction
The era of modern organometallic chemistry began in 1951 with the discovery of ferrocene. Was it possible to predict such a great future for a simple C10H10Fe molecule, accidentally discovered 70 years ago? The Nobel Prize in Chemistry in 1973 was awarded to the contribution to the development of the chemistry of the so-called sandwich organometallic compounds; at the same time, the appearance on the pharmaceutical market of the domestic drug Ferroceron for the treatment of iron deficiency anemia and ferrocene-based catalysts for the oxidation of solid rocket fuels had been developed.
The exponential growth of scientific research in the 21st century in the area of bio-organometallic chemistry has primarily been driven by pharmaceutical demands. The treatment of cancer, new viral diseases, the return of tuberculosis, and the overcoming of chemoresistance to the drugs used has required the development of new promising drugs.
It was found that introducing ferrocene into any molecule gives it specific properties. Namely, it increases lipophilicity, facilitating penetration through cellular and nuclear membranes; significantly reduces toxicity; imparts ideal electrochemical properties, allowing for its use as a marker; improves capacity to overcome the blood–brain barrier; and increases the stability of compounds in biological media. Moreover, a variety of chemical transformations and commercial availability make organometallic compounds based on a ferrocene structure potentially useful and very popular and promising objects of research [1,2].
Based on the unique nature of metallocenes and especially ferrocene compounds, a wide range of pharmacological activities have been discovered and evaluated, namely, anti-anemic, antibacterial, antiproliferative, antimalarial or tuberculostatic, and antiviral [1,2,3,4,5,6,7,8,9,10,11,12,13].
Various approaches were used to obtain organometallic compounds, and their biological effects were studied. First, known pharmacologically active agents or drugs have been modified with ferrocene or other metallocenes to improve lipophilicity, to incorporate redox active Fc-moiety, and/or reduce their toxicity [1,2,3,4,5,6,7,8,9,10]. This process could be envisaged as molecular hybridization, a well-known concept in medicinal chemistry.
On the other hand, new organometallics which have no analogues among drugs were synthesized and evaluated [11,12,13,14,15]. The latter includes the creation of ferrocene-based compounds, adapted to pharmacological aspects. This is a structural pharmacological activity prediction.
Finally, pharmacological screening represents an entire field of development of biologically active compounds. This approach includes not only laboratory synthesis but also empirical calculations based on promising pharmacophores and then synthesis [16].
In this short review, each of the above approaches will be analyzed with a view to carefully consider some new biological aspects. I intend to analyze synthetic aspects as well, although many authors have already done this [17,18,19,20,21]. The review period includes less than one decade of the 21st century, more precisely 2017–2022. Some previously published data were added to preserve a logical view.
It was at this time that a series of excellent review articles on the bioactive ferrocene family was published [1,2,18,19,20,21,22,23,24,25,26,27,28,29,30]. Reviews on the antitumor activities of ferrocenes are especially widely presented [19,20,22,23,24,25,27,28,30]. Notably, a series of comprehensive reviews appeared during the COVID-19 isolation period [2,21,23,24,25,26,27,28,29,30]. Herein, I would like to highlight the latest trends and the exciting advancements made in this area. However, this mini-review does not claim to be exhaustive.
2. A Bit of History
The unique sandwich ferrocene molecule with 30% iron content [31] turned out to be a biologist’s dream. At least, I would like to think so. So, soon after the discovery of ferrocene (1951), several research groups began to look for molecules that would replenish iron stores in the body and treat iron deficiency anemia. Academician Nesmeyanov and his team turned out to be the most successful. The drug ferroceron (Figure 1, compound 1), the sodium salt tetrahydrate of ortho-carboxy benzoylferrocene, was applied in clinical practice for the treatment of iron deficiency pathologies [32]. Not only anemia, but also ozena, a most serious and intractable disease, have been found to be treatable with this iron-containing medicine [33]. This drug was on the Russian pharmaceutical market from the 1970s to the mid-1990s. In the 2000s, there were unsuccessful attempts to resume the production of ferroceron. At present, there is no production of ferroceron in Russia and its use in clinical practice.
Figure 1.
Ferroceron (1), ferroquine (2), ferrocifen (3).
There are also ferrocene-based compounds that are currently in clinical trials. The clinical development of new ferrocene compounds was often either stopped or slowed down for various reasons: toxicity, pharmacology, or there were economic reasons. Thus, ferroquine (Figure 1, compound 2), the ferrocene-modified antimalarial drug chloroquine (FQ, SSR97193), is currently the most advanced organometallic candidate and is nearing completion of phase II clinical trials as a treatment for uncomplicated malaria [34,35]. This compound was patented back in 1996. However, until now, this drug has not yet met clinical approval and has not appeared on the pharmaceutical market.
Another notable example is research on the ferrocenyl analogs of tamoxifen, a drug for hormone-dependent breast cancer [36,37,38]. Ferrocene analogs (Figure 1, compound 3) proved to be active not only against hormone-dependent cancer cells, but also against hormone-independent ones, unlike tamoxifen itself, which is a great achievement. This drug is also in preclinical trials [38].
At the same time, taking into account the extensive development of biological research, new effective ferrocene-based drugs should be expected in the near future.
Let us consider sequentially the trends in the development of ferrocene modifications of active drugs and bioactive compounds and try to make some predictions for the future.
3. Antimalarial Analogs
A longstanding series of works has focused on ferrocenyl derivatives of the antimalarial drug chloroquine [34,35,39]. In a recent systematic review, ferrocene hybrids and structure–activity relationships (SAR) are discussed for rational design and development of more effective antimalarial agent candidates [40].
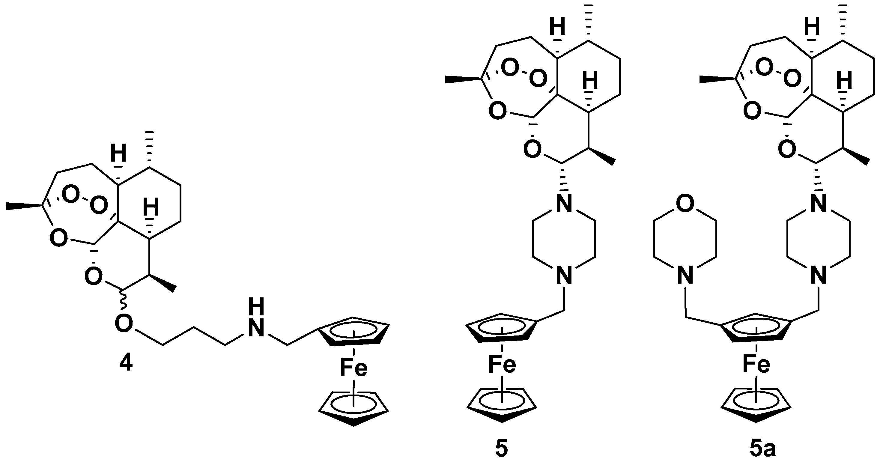
The important parasite Plasmodium falciparum (Pf) has become resistant to most drugs, including the recently clinically used artemisinins. (Plasmodium falciparum is a type of unicellular protozoan parasite of the genus Plasmodium that causes malaria in humans. Malaria caused by Pf is called tropical malaria and is the most dangerous form of the disease, with the highest death rate.) Artemisinin (2015 Nobel Prize in Medicine and Physiology, Y. Tu) is an enantiomerically pure sesquiterpene lactone (Figure 2, top of compound 4 connected via propyl amine; the carbonyl group at C10 of artemisinin is reduced) containing an unusual peroxide bridge that could form highly reactive free radicals in the presence of ferrous ions Fe(II). Artemisinin and its semisynthetic derivatives are a group of drugs that have the fastest action among all currently existing drugs against tropical malaria caused by the parasite Plasmodium falciparum. But their low bio-availability, poor pharmacokinetic characteristics are the main barriers to their use as monotherapy agents.
Figure 2.
Artemisinin ferrocene derivatives with alkyl amine (4) and piperazine (5), (5a) linkers.
Continuing the strategy of developing antimalarial drugs based on organometallic compounds, Biot and colleagues incorporated ferrocenyl moieties into artemisinin. Thus, artemisinin was modified by ferrocene moieties (Figure 2, compound 4) [41]. The authors chose the ferrocene group to modify artemisinin to enhance the antimalarial effect because the ferrocene/artemisinin–heme complex was expected to cleave the crucial peroxide linkage in artemisinin.
The evaluation of in vitro antimalarial activity was carried out against two chloroquine-sensitive (HB3 and SGE2) and one chloroquine-resistant (Dd2) strains of P. falciparum (Table 1) [41]. The results did not live up to expectations. Ferrocene linked to artemisinin via an alkyl amine bridge did not enhance its effect against P. falciparum (Figure 2). Nevertheless, antimalarial effects of Fc-linked compounds have been noted. Notably, compound 4 showed the highest in vitro activity against P. falciparum.
Table 1.
In vitro antimalarial activity of hybrid 4 and parent compounds against P. falciparum strains; data from [41].
Despite these inconclusive results, it was further shown that hybrids of artemisinin and ferrocene components exhibit excellent activity in the low nM range [42]. Antimalarial activities were evaluated against asexual blood stages of the chloroquine (CQ)-sensitive NF54 and CQ-resistant K1 and W2 strains of P. falciparum. Compound 5, where the ferrocene moiety is linked to piperazine by a methylene bridge, exhibited inhibitory activity with IC50 values of 2.7 nM against Pf K1 (for DQHS 1.5 nm) and 3.2 nM against Pf W2 (for DQHS 1.7 nm) (Figure 2, compound 5). [42]. Indeed, ferrocene, being a lipophilic compound, helps to overcome the protective shells. Artemisinin–ferrocene conjugates have been synthesized from dihydroartemisinin, where ferrocenes are attached via a piperazine linker to C10 of the artemisinin [42].
Artemisinin–ferrocene conjugates containing 1,2-disubstituted ferrocenes with a piperazine linker between the C10 atom of artemisinin and ferrocene were synthesized by the same group of researchers [43]. Secondary cyclic, amines thiomorpholine, piperidine, and morpholine, were attached as the second substituent in compound 5 to obtain artemisinin-1,2-disubstituted derivatives of ferrocene (Figure 2, 5a). The evaluation of antimalarial activity on the same strains, chloroquine-sensitive NF54 and chloroquine-resistant K1 and W2 strains of P. falciparum, reveals no significant increase in the effects but strongly encourages the study of such structures. The most active was the morpholine-containing 5a, with IC50 = 0.86 nM against Pf K1 and 1.4 nM against Pf W2 [43].
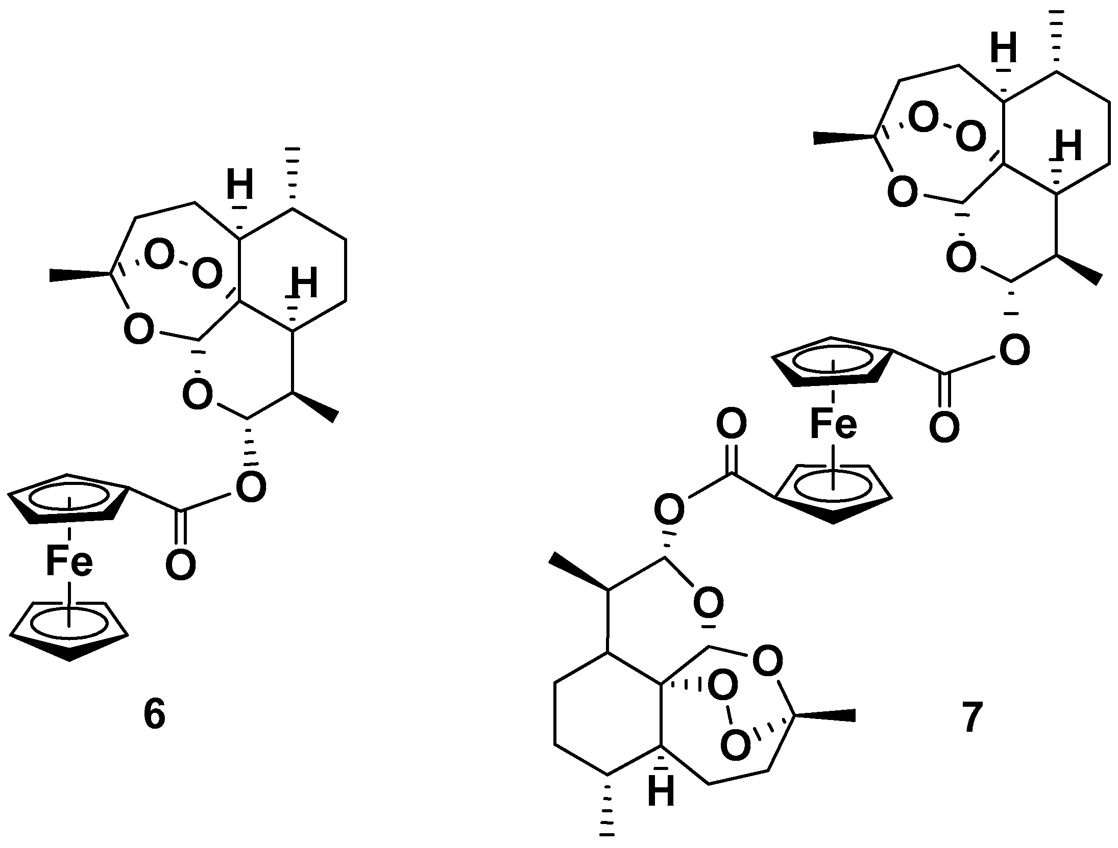
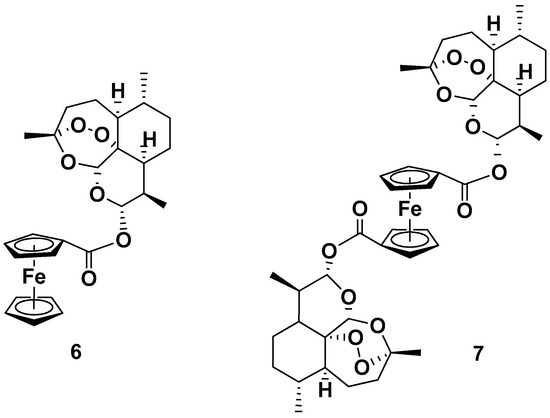
Previously, in order to obtain improved antimalarial activity, artemisinin or two of its fragments were attached to ferrocenecarboxylic acid by the Mitsunobu reaction from dihydroartemisinin alcohol in the presence of PPh3 and DIAD (diisopropyl azodicarboxylate) giving (6), in a yield of 23%, or via ferrocene 1,1’-dicarboxylic acid dichloride (7), in a yield of 67% (Figure 3, compounds 6, 7) [44]. The IC50 values of the tested molecules against P. falciparum 3D7 ranged from 7.2 nM (compound 7) to 13.4 nM (compound 6) and were clearly above that of artemisinin part (2.4 nM). These data, in the authors’ opinion, mean that the iron atom in the ferrocene does not activate the endoperoxide bridge that was assumed [41] to play a decisive role in the antimalarial activity of 1,2,4-trioxane. At the same time, compounds (for example, 7) where the ferrocene moiety is closer to the peroxide bridge demonstrated a higher inhibitory effect against P. falciparum compared to compounds with a remote ferrocene moiety.
Figure 3.
Mono- and di-artemisinin ferrocene derivatives.
Hence, ferrocene hybridization with artemisinin/peroxide may afford novel antimalarial candidates with multiple mechanisms of action to overcome drug resistance, giving a better molecular basis for the rational design of new synthetic endoperoxide-containing ferrocene antimalarial drugs.
The ferrocene fragment was also included in the structure of betulin as a subunit or functional modifier linker (Figure 4). The activity of the hybrids 8 and 9 against Plasmodium falciparum 3D7 strain has been evaluated [5] (Table 2). Betulin was chosen due to its efficient therapeutic properties. Betulin is a natural triterpene found in birch bark (up to 30–40%), giving it a characteristic white color. The antiseptic properties of birch bark have been known since ancient times. Betulin was first isolated in 1788 from birch tar. It is obtained in significant quantities as a by-product of the forest industry.
Figure 4.
Betulin-modified ferrocenes.
Table 2.
EC50 values of betulin, betulinic acid, hybrids 8, 9 and ferrocenecarboxylic acid against Plasmodium falciparum; data from [5].
The antimalarial activities of the hybrids 8 and 9, betulin, and betulinic acid, were tested in vitro by inhibiting the growth of erythrocytes infected with P. falciparum strain 3D7 [5]. Table 2 summarizes the EC50 values. Hybrid 8, bearing one betulin fragment, is moderately active, showing an inhibition concentration of 27.854 µM. When comparing betulin–ferrocene hybrid 9, containing two betulin fragments, with hybrid 8, where betulin represents one link in the hybrid, it can be noted that the addition of the second betulin fragment significantly increases the activity of 9: EC50 11.752 μM. Attention should also be paid to the design of these hybrids. In hybrid 8, the C-28 carbon atom is involved in the formation of an ester bond with ferrocenecarboxylic acid, whereas in hybrid 9 both C-3 atoms of betulin fragments form bonds with ferrocene dicarboxylic acid.
Unlike artemisinin, the ferrocene-modification of betulin has not been sufficiently studied and apparently needs further research.
5. Antitumor Research
This is the most developed area of ferrocene bio-research. Several groups, including our own, have demonstrated achievements in this area [6,7,11,13,14,15,36,37,38]. Early promising ways in the design of low-toxicity, anticancer, ferrocene-based drugs of a new generation were outlined [18,22]. Recently, as noted above, excellent and varied reviews have been published that analyze the antitumor effects of a wide range of ferrocene compounds and discuss possible mechanisms for their bioactivities [19,20,22,23,24,25,27,28,30]. Here, we only outline the main new directions and recent achievements in this area and give several examples of new compounds modified with a ferrocene moiety.
New impulses were received from the studies successfully developed by Prof. Jaouen [45,46,47,48,49]. A series of novel ferrocene derivatives (Figure 6), so-called ferrocifens, were synthesized by introducing succinimide (11a), phthalimide (11b), and other lactam-containing substituents (11c). Several members of this family were evaluated against glioblastoma (Figure 6, compound 11a) [45]. Note that glioblastoma is the most frequent primary brain cancer. Studies were carried out on 15 molecular cell lines obtained from patients with glioblastoma. In vitro studies against glioblastoma have shown good results. The IC50 (mean) for compound 11b is 10.39 µM [45]. However, the best in this study was ferrocifen 3 (n = 3) (Figure 1), previously evaluated as an effective antiproliferative agent for breast cancer, IC50 (mean) for compound 3 (n = 3) is 1.28 µM [31,32,33].
Figure 6.
Ferrocene-modified tamoxifenes with succinimide (11a), phthalimide (11b), and other lactam substituents (11c).
The mechanisms of action of ferrocifens as antiproliferative agents are being actively studied.
It is appropriate to recall here that the ‘ferrocene-ene-phenol’ triad has been identified as a pharmacophore responsible for the anticancer activity of ferrocifens due to its unique redox properties, allowing the generation of reactive oxygen species (ROS) and resulting in potent antiproliferative activity [25,38].
It was found that ferrocifen metabolites, i.e., ferrocenyl indenes, acted as moderate inhibitors of cathepsin B. Cathepsin B has been proven to be involved in tumor growth by degrading extracellular matrix proteins and is therefore considered as a target for cancer treatment. Molecular docking calculations confirmed these experimental results [49].
5.1. Chemical Transformations
Furthermore, some molecules are considered as new objects for modification with ferrocene, and their structures, as well as results of bioresearch on them, are presented.
5.1.1. Ferrocene–Steroid Conjugates
Ferrocene–steroid conjugates have been studied against hormone-dependent cancer cells, especially breast and prostate cancer cells.
A review just published comprehensively systematized the results and summarized the literature related to ferrocene–steroid conjugates from the early work of the 1970s to the present day [50]. At the same time, the authors emphasize the obvious complex relationship between affinity for hormone receptors and antiproliferative activity.
Ferrocenyl-modified estradiols 12, 13, and an estron derivative 14 (Figure 7) were synthesized from ferrocenecarboxaldehyde and estrone with subsequent simple reductive transformations and characterized by X-ray data [51]. Cytotoxic activities against hormone-dependent MCF-7 and T-47D and hormone-independent MDA-MB-231 breast-cancer cell lines were evaluated (Table 4).
Figure 7.
Ferrocene-steroid conjugates 12–14.
Table 4.
Cytotoxicity of the ferrocene conjugates studied on hormone-dependent MCF-7 and T-47D and hormone-independent MDA-MB-231 breast cancer cell lines (MTT assay); data from [51].
It was found that ferrocene–estrogen conjugates 12–14 can be recognized by estrogen receptor ERα, suggesting that estrogens could serve as vectors to specifically target breast cancer cell lines.
Using (ferrocenylmethyl)trimethylammonium iodide as a ferrocenylmethylating agent, O- and C-derivatives of estradiol (E2) and estron (E1) were synthesized as mixtures [52]. Only one compound 2(4-(ferrocenylmethyl)estra-1,3,5(10)-triene-3,17β-diol) with an IC50 value of 0.34 μM was found to be more active against the hormone-dependent breast cancer cell line MCF-7 than the drug doxorubicin. The authors suggest that A-ring substitution of steroidal estrogens is a good strategy for preparing other ferrocene–steroid conjugates acting against tumor cells.
5.1.2. Ferrocene-Containing Alkaloids
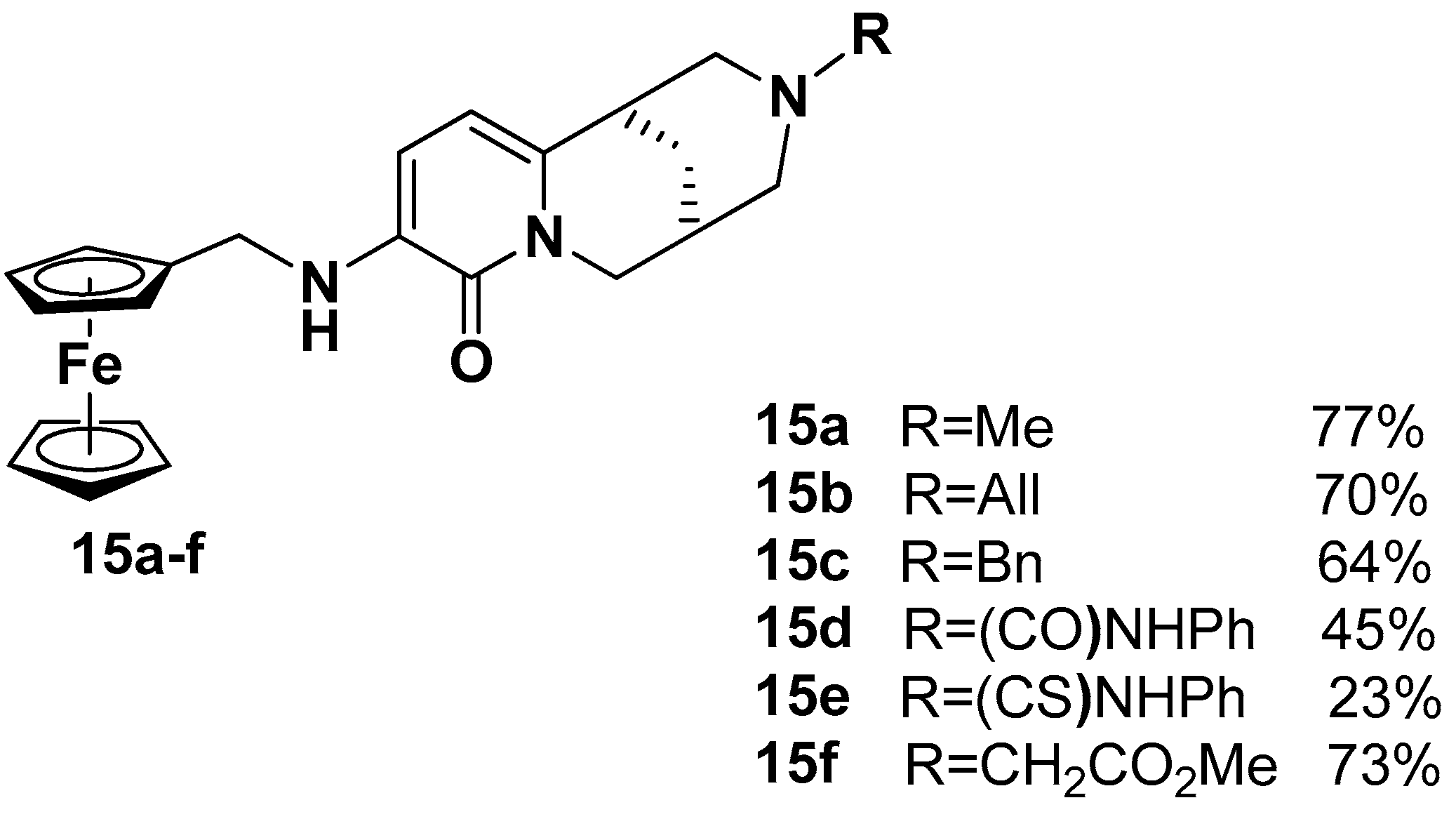
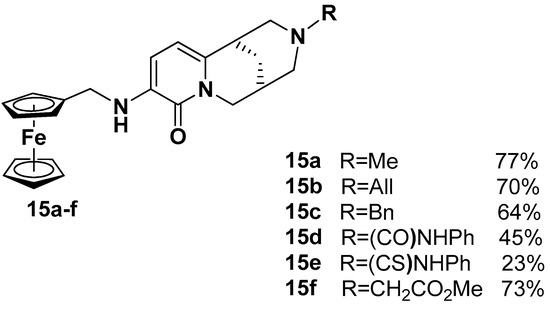
The conjugation of the synthesized amines, derivatives of alkaloid (−)cytisine, with ferrocenecarboxaldehyde via reductive amination was carried out in boiling benzene yielded without further isolation of the azomethine intermediate, which was reduced with NaBH4/methanol to give compounds 15a–15f, yielding 23–77% (Figure 8) [4].
Figure 8.
Ferrocene containing cytisines modified at the N3 atom.
All prepared compounds 15a–15f and starting compounds were screened for cytotoxic activity against conditionally normal human embryonic kidney HEK293 cells, as well as leukaemic Jurkat (Human leukemic T cell lymphoblast), lung A549 (Human alveolar adenocarcinoma), breast MCF-7 (Human breast adenocarcinoma), and neuroblastoma SH-SY5Y (Human neuroblastoma) cancer cell lines according to MTT test (Table 5). Fluorouracil was used as a positive control.
Table 5.
In vitro growth inhibitory effects, IC50 (μM), of compounds 10a–10f and fluorouracil in human cell lines HEK293, Jurkat, A549, MCF-7, SH-SY5Y; data from [4].
5.1.3. Polymetallocomplexes
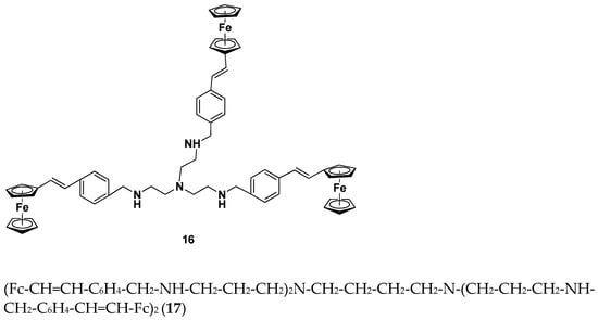
The antitumor activities of a trinuclear (16) (Figure 9) and a tetranuclear (17, the structure is similar to 16) ferrocenyl–amino complex were evaluated against the human colorectal (first time on these cell lines) adenocarcinoma cell lines, as well as the wild-type HT-29 and mutant DLD-1 lines [53]. The compounds 16 and 17 displayed moderate micromolar cytotoxic activity in both cell lines. The IC50 for 16 and 17 against HT-29 are 33.9 ± 1.2 μM and 30.1 ± 1.2 μM, respectively; for oxaliplatin, as a positive control, the IC50 is 21.5 ± 2.2 μM. In the DLD-1 cell line, 16 (IC50 17.0 ± 1.2 μM) inhibits cell growth better than 17 (IC50 28.0 ± 1.7 μM) and is in the same range as that of oxaliplatin (IC50 14.8 ± 2.0 μM).
Figure 9.
Structures of trinuclear (16) and a tetranuclear (17) ferrocenyl–amino complexes.
The complexes 16 and 17 can accumulate inside tumor cells. The trinuclear complex 16 is a better inducer of reactive oxygen species (ROS).
5.2. Apoptosis Induction
It is gratifying to note the emergence of studies on the apoptotic mechanism of ferrocenes [4,53,54] and the membrane depolarization [55] associated with this phenomenon, which were predicted before [56]. The DLD-1 and HT-29 cells (see above) were treated with 20 μM of complexes 16 and 17 and incubated for 24 h, followed by being analyzed by flow cytometry. The Alexa Fluor488-stained cells were either live (apoptotic) or dead (necrotic). The cellular uptake shows a good correlation with early induction of apoptosis. In early apoptosis induction in DLD-1 and HT-29 cells, the treatment with 16 and 17 augmented the number of apoptotic cells (p < 0.0001) [53]. Nevertheless, the authors believe that cell death occurs through other mechanisms, since complexes 16 and 17 were relatively modest inducers of apoptosis, while their cytotoxicity is significant (see above).
Mitochondrial permeability transition is a key step in the induction of the cellular intrinsic apoptotic pathway. The induction of apoptosis was investigated using Annexin V/PI staining, which enables the detection of both early and late apoptotic cells [55]. A JC-1 fluorescent probe was used, and the integrity of the mitochondrial membrane was monitored by flow cytometry. Significant changes in mitochondrial membrane potential were observed in response to both 18 and 19 (Figure 10), which mirrors the induction of early apoptosis by these two compounds. At the same time, according to the authors [55], apoptotic cell death in response to treatment with ferrocene compounds requires further research.
Figure 10.
Complexes based on ferrocene structure.
Cytotoxicity IC50 in the ovarian cancer cell line SK-OV-3 for 18 and 19 was measured using colorimetric MTT assay and equals to 6.1 ± 1.1 μM and 2.4 ± 0.5 μM, respectively.
In the development of our research, efficient one-pot imidazole ferrocenylalkylation has been achieved by oxalyl diimidazoles and Fc-alcohols, avoiding highly toxic precursors [57]. Mild conditions allowed the preparation a number of various ferrocene-containing imidazoles 20−23 (Figure 11) in good to high yields, which are promising as antitumor agents.
Figure 11.
Ferrocenylalkyl imidazoles (20a–d, 21a–d) and ferrocenylalkyl benzimidazoles (22a–d, 23a–d) via oxalyl diimidazole; yields are given in %; an asterisk in structures means a stereogenic center; data from [57].
The biological antitumor effects of Fc-alkyl imidazoles 20a, 20b, and 20d as compounds with increasing lipophilicity were evaluated in vivo against murine solid tumors of Ca755 carcinoma and Acatol adenocarcinoma. The coefficient of inhibition of Acatol tumor growth ranged from 45% (compound 20d) to 90% (compound 20b) compared with the control for different compounds.
Some noticeable structure–activity relationships during the transition from methylene to benzyl linker in the studied molecules were noted. When replacing methylene (20a) with ethyl (20b), the degree of tumor growth inhibition increases. Replacing the benzyl linker (20g) with ethyl (20b) gives a twofold increase in the degree of inhibition of tumor growth against Acatol adenocarcinoma and reaches 90%.
Extraordinary and unexpected results of in vivo experiments carried out with Ca755 carcinoma were obtained. The solid Ca755 carcinoma has been shown to be the most sensitive model for ferrocenyl azoles, which have always inhibited tumor growth [15,22]. The opposite effects against Ca755, that is, the stimulation of tumor growth, were recorded [57]. Moreover, it was 20b that demonstrated the effects of tumor stimulation against Ca755 (50% and 60%), both at a dose of 10 mg kg−1 and 20 mg kg−1, respectively. It is obvious that Fc–imidazoles need careful study precisely because of their duality.
Ferrocene-functionalized anilines (Figure 12) were evaluated as potent anticancer agents against MCF-7, and a modest cytotoxicity was revealed [11]. Ferrocenylanilines 24a–d were prepared by reduction of the corresponding nitrophenylferrocenes using zinc dust/ammonium formate as reducing agent in high (71–82%) yields.
Figure 12.
Ferrocene-modified anilines.
The results of the antidiabetic assay established that compound 24a (IC50 = 19.27 μg/mL) is a potentially more active inhibitor of α-amylase. Theoretical docking studies state that 24a is more prone towards hydrophobic interactions with Leu165 and Trp 59 in the active pocket of α-amylase.
5.3. DFTB Calculations of Ferrocenes’ Interaction with DNA
Interactions of ferrocene compounds with biomacromolecules (mainly proteins) are quite well confirmed by quantum chemical calculations [58,59,60]. However, there are very few calculations regarding the binding of ferrocene derivatives to DNA molecules [61]. At the same time, such information is extremely important when considering DNA as one of the main targets for ferrocenes in antiproliferative effects, that is, in studying the treatment of cancer [18,22].
The interaction of a bioactive ferrocene compound with DNA was studied in silico for the first time (using the example of 5,7-dimethyl-3-ferrocenyl-2,3-dihydro-1H-pyrazolo-[1,2-a]-pyrazol-4-ium tetrafluoroborate) (compound 25) (Figure 13) [62]. The latest approach was used, namely, DFTB (Density Functional Tight Binding) calculations on the GFN2-xTB basis, which is modified from the minimum atomic orbital basis. The relatively small size of the DNA fragment allows the application of GFN2-xTB. The models calculated were characterized by the different positions of the 5,7-dimethyl-3-ferrocenyl-2,3-dihydro-1H-pyrazolo [1,2-a]pyrazol-4-ium cation relative to the DNA fragment. This calculation uses a small DNA fragment consisting of 40 nucleic bases (~500 atoms). The minimum value of the binding energy is −60.3, kJ/mol. The calculations demonstrated that the disposition of the cation on the side face of the DNA molecule is preferable.
Figure 13.
Ferrocene-modified dihydropyrazolo-pyrazolium tetrafluoroborate (25).
This calculation method (DFTB) makes it possible to adequately evaluate the possible interactions of organoelemental compounds with biopolymers, especially with DNA.
A series of ferrocene-based pyrrolidines (14 novel compounds) (Figure 14) was synthesized from ferrocenylacrolein, FcC(O)CH=CH2, and methyl esters of L-alanine and L-leucine. Interestingly, only one diastereoisomer was isolated in all the cases. The DNA-binding properties of the compounds 26 were studied using cyclic voltammetry (CV) and differential pulse voltammetry (DPV) techniques [63]. Based on the CV results and the DNA-binding constants calculations, the authors note a moderate non-covalent interaction between the synthesized Fc–pyrrolidine derivatives and nucleic acid (calf thymus DNA was used). The calculated binding constants based on DPV measurements confirmed the existence of the electrostatic interactions with the DNA. Moreover, DFT calculations and molecular docking studies were also carried out. According to molecular docking, compounds are commonly located in the major groove of nucleic acid. The best binding affinity is −7.1 kcal/mol (or −29.7 kJ/mol) for compound 26, R1 = methyl.
Figure 14.
Methyl 2-alkyl-5-aryl-4-ferrocenoylpyrrolidine-2-carboxylates (26).
Comparing this result with the above value of the binding energy (−60.3 kJ/mol) for 25, it should be noted that these values are of the same order. In addition, 25 represents a polar compound (salt), and the energy gain is twice that of the neutral complex 26 (R1 = Me), which is logical when there are electrostatic interactions, as shown for 26.
5.4. Inhibitors of DNA Topoisomerase I and II Activity
Studies of ferrocene compounds’ interactions with biomolecular targets are important for the development of novel drugs and in understanding the mechanisms of their biological activity. So, significant interactions between synthesized ferrocene compounds and nucleic acids, mostly of the electrostatic type, were disclosed [63]. DFT calculations and molecular docking tests were carried out to gain a more exhaustive insight into the interactions of the obtained products with nucleic acid. Several reviews have considered DNA as a likely primary cellular target for ferrocene-based agents [1,2,22,23]. In this regard, in recent years, there has been an increase in interest in ferrocenes as DNA topoisomerase inhibitors [64,65,66]. Topoisomerase is an enzyme that cuts DNA at a specific point, unraveling DNA coiling and reducing the nature of the DNA supercoil. It should be noted that cancer cells are, in general, more sensitive to topoisomerase II poisons than normal quiescent cells because topoisomerase II levels are very high in these rapidly proliferating cells. Topoisomerase II makes double-strand breaks in a DNA helix. Topoisomerase II is the primary cellular target for some of the most active anticancer drugs which are currently in clinical use. Some of them are etoposide, teniposide, m-AMSA, adriamycin, daunorubicin, and mitoxantrone. The anticancer potential of these drugs is primarily due to their ability to shift the enzyme’s DNA cleavage/religation equilibrium toward cleavage and then freeze the enzyme and cleaved DNA in a covalent cleavage complex.
The simplest mono- and di-substituted ferrocenes were studied as inhibitors of DNA topoisomerase II activity (Figure 15) [64]. Several assays were used: cleavage assay, relaxation assay, ATPase assay, immunoprecipitation assay, and DNA thermal denaturation assay. Taken together, the results showed that it is the di-substituted compounds, diacetylferrocene (28) and ferrocenedicarboxaldoxime (30), that can form the ternary enzyme–drug–DNA complex, called a ‘cleavage complex’, which leads to DNA cleavage. Diacetylferrocene (28) induced the formation of linear DNA at a concentration of 400 μM. Another di-substituted agent, 30, showed a higher potency of cleavage complex formation at a 500 μM concentration.
Figure 15.
Structures of acetylferrocene (27), 1,1′-diacetylferrocene (28), ferrocenecarboxaldoxime (29), and ferrocene-1,1′-dicarboxaldoxime (30).
These results, together with the results of immunoprecipitation assay, show that both ferrocene compounds 28 and 30 interact only with topoisomerase II and render it inactive by trapping the enzyme and enzyme-cleaved DNA in a covalently closed cleavage complex. The formation of such a complex has numerous genetic implications, which ultimately results in neoplastic cell death. Thus, anticancer action was shown to result from interfering with the activity of topoisomerase II, an important molecular anticancer target [64].
In a recent study, a series of four mono- and disubstituted ferrocenyl chalcones (31–34) was investigated to explore the effects of these agents on the activity of human topoisomerases I and II (Figure 16) [65]. For this, DNA gel electrophoresis of topoisomerases was used. The relaxation of plasmid DNA with human topoisomerase I (hTOPI) was estimated using a negatively supercoiled plasmid pBR322. The inhibition of topoisomerase II was investigated by applying two units of human topoisomerase IIα (hTOPIIα). Results from DNA topoisomerase activity inhibition suggest that all studied compounds 31–34 are topoisomerase II suppressors, not poisons.
Figure 16.
Structures of (E)-3-(ferrocenylemethylidene)-4-chromanone (31), (2E,6E)-2,6-bis(ferrocenylemethylidene)cyclohexanone (32), 1,1′-bis((E)-1-oxo-3,4-dihydronaphthalen-(1H)-2-ylidene)methyl)ferrocene (33), and 1,10-bis((E)-1-oxo-1,3-dihydro-2H-inden-2-ylidene)methyl)ferrocene (34) [65].
Interactions of 31–34 with calf thymus DNA (ctDNA) and bovine serum albumin (BSA) were assessed using UV-visible, circular dichroism (CD), and fluorescence spectroscopy. No interactions were found between ctDNA and ferrocene derivatives. On the other hand, compounds 31, 33, and 34 form complexes with BSA and induce conformation and microenvironment changes.
A number of ferrocenyl derivatives (25 mono-substituted ferrocenes) have been reported, and their topoisomerase II (in two isoforms, α and β) inhibitory properties have been studied [66]. Based on quantitative structure–activity analysis, two compounds in particular, ferrocene azalactone (35) and thiomorpholide amido methyl ferrocene (36), exhibited significant effects on topoisomerase IIβ activity (Figure 17). These results indicated that compounds 35 and 36 interacted with topoisomerase II and inhibited its activity causing numerous genetic implications that ultimately resulted in neoplastic cell death.
Figure 17.
Structures of ferrocene azalactone (35) and thiomorpholide amido methyl ferrocene (36).
6. Antimycotic Activity
Fluconazole, one of the most common antifungals on the WHO List of Essential Medicines, has been chemically modified with ferrocene [67]. It is noteworthy that it was the second triazole fragment of fluconazole involved in non-binding interactions with several prosthetic groups located in the enzyme cavity (according molecular docking) that was replaced by ferrocene (Figure 18). It is important that an additional stereogenic center appears in the molecule during ferrocene modification.
Figure 18.
Ferrocene-modified fluconazoles; an asterisk in structures means a stereogenic center.
The antifungal activity of 37a was evaluated on clinical isolates, where an antimycotic potency up to 400 times higher than that of fluconazole was observed. In addition, 37a showed activity against azole-resistant strains. This finding is very important since the primary target of 37a is the same as that of fluconazole, emphasizing the role played by the organometallic moiety. In vivo experiments in a mice model of Candida infections revealed that 37a reduced fungal growth and dissemination but also ameliorated immunopathology.
7. Brain Diseases
According to the forecasts of the World Health Organization, it is neurodegenerative disorders that will dominate in the near future and will exceed the incidence of cancer and cardiovascular diseases.
7.1. Crossing of the Blood–Brain Barrier
The ferrocene moiety is usually considered a good carrier [8,15,57] that can easily overcome the blood–brain barrier (BBB). This hypothesis has found sufficient experimental support [68]. Ferrocene–enkephalin conjugates were readily prepared (Figure 19, compound 38) and proven to be stable organometallic peptide derivatives with increased BBB penetration. For in vitro studies using solid-phase synthesis, a modification of enkephalin [Leu5] (a type of neuropeptides with morphine-like action and consisting of five amino acids, that is, pentapeptides) was implemented. The modification was carried out by introducing ferrocene or its isoelectronic analogue—cobaltocenium (in the form of a salt). For the first time, it was found that such a modification with an organometallic fragment improves the penetration of enkephalin through the blood–brain barrier, which is associated with an increase in lipophilicity due to the metal fragment. Moreover, the organometallic–peptide conjugates have been found to be non-toxic at micromolar concentrations.
Figure 19.
Ferrocene-modified [Leu5]-enkephalin [68].
BBB permeation experiments were conducted in a porcine BBB model (in vitro brain endothelial cell model). The concentrations of the compounds at the basal side were determined by HPLC. The results correlated to experimentally determined logP (the octanol/water partition coefficient) values for conjugate 38 and its cobaltocenium analog. The amount of permeated substances versus the permeation time is higher for 38 than for unmodified [Leu5]-enkephalin.
These results are supported by the fact that such conjugates are readily incorporated even into cell lines that do not express the enkephalin receptor; therefore, it excludes receptor-mediated uptake.
The increase in lipophilicity makes metallocenes suitable agents to modify peptide drugs that target the brain. So, ferrocenes can facilitate the targeted drug delivery to the brain.
7.2. A Model of Regional Brain Iron Overload
It is known that neurodegenerative disorders are associated with aberrant iron deposition in the brain. The authors of a study already executed in 2002 [69] conclude that the administration of the lipophilic iron-containing ferrocene compound 3,5,5-trimethylhexanoyl ferrocene (Figure 20) leads to subtle perturbations in cellular iron within the brain, potentially representing a model of iron accumulation similar to that seen in various neuropathological conditions.
Figure 20.
Structure of (3,5,5-trimethylhexanoyl)ferrocene.
The longest (12 months) and broadest study on this topic to date was conducted recently [70]. It was found that an increase in iron concentration in the brain was linearly correlated with an increase in l-ferritin expression. (l-ferritin is a protein complex, the main intracellular iron depot in humans and animals.) Ferrocene-based compound 29 was found to increase l-ferritin levels in the olfactory bulb, neocortex, pallidum, thalamus, corpus callosum, hippocampal CA3 regions, and substantia nigra [70].
Dietary administration of 3,5,5-trimethylhexanoyl ferrocene has been proposed as a model for regional brain iron overload [70].
7.3. Electrophysiological Investigations
An electrophysiological direction is presented in works [71,72]. It was found that the introduction of ferrocene-modified amino acids (Figure 21) causes changes in synaptic transmission in the CA1 region of the hippocampus. The hippocampus is a key brain structure involved in learning and memory processes. Local field potentials were measured. A local field potential (LFP) is an electrophysiological signal generated by a summed electric current flowing from many neighboring neurons in a small amount of nervous tissue. The introduction of ferrocene-containing compounds 40a, L-40b, and D-40b, all good redox mediators, led to an increase in the amplitudes of local field potentials. This means that such ferrocene compounds are involved in the synaptic plasticity of the brain area. In other words, the hippocampus responds differently to electrical signals (high-frequency stimulation of the CA1 region of hippocampus) when ferrocene-modified L- and D-amino acids are administered in vivo (rats) [72].
Figure 21.
Ferrocene-modified pyrazole amino acids methyl esters, R = H (glycine) (a); Me (alanine-DL, L, D) (b); CH2Ph (phenyl alanine-DL, L, D) (c); Et (valine-DL, L, D) (d); CH2OH (serine-DL, L) (e); 4-HOC6H4CH2 (tyrosine-DL, L, D) (f); CH2-3-indole (tryptophan-DL, L) (g); proline (DL, L) (h); and Et (α-amino butyric acid-DL, L, D) (i) [72].
In in vivo experiments, ferrocene–thiazolidinones have been studied as anxiolytics, that is, substances that suppress anxiety [73]. It has been found that the high dose-dependent anxiolytic activity of the synthesized ferrocene–thiazolidinones may be associated with their preferred interaction with the benzodiazepine-binding site of the GABA receptors.
8. Conclusions
This brief review summarizes recent achievements in the area of ferrocene-modified compounds with potential in vitro and in vivo biological activities, demonstrating a broad variety of interesting biological properties. The review does not claim to be exhaustive. I present here just some examples of such achievements, including in the field of oncology, where ferrocifens are undergoing clinical trials. At the same time, the results of recent developments in the area of ferrocene bio-organometallic chemistry are given. Thus, electrophysiological measurements in the hippocampus area under the action of ferrocene amino acids were carried out.
Hybridization of the ferrocene moiety with various pharmacophores can provide valuable therapeutic effects for the treatment of various diseases, especially drug-resistant ones, for example, the antimalarial drug ferroquine that is under clinical trials. It should be noted that the objects for modification with ferrocene, along with simple ones, are increasingly often polycyclic multifunctional complexes of natural origin (steroids, betulins). Biological studies have become more diverse, including the evaluation of effects on apoptosis, penetration through the blood–brain barrier, membrane depolarization, and inhibition of topoisomerase activities.
In general, this direction attracts significant efforts of scientists and will undoubtedly lead to the development of new effective ferrocene-modified drugs in the near future.
Funding
This research received no external funding.
Acknowledgments
This work was supported by the Ministry of Science and Higher Education of the Russian Federation (Contract/agreement No. 075-00697-22-00) and was performed employing the equipment of Center for molecular composition studies of A.N. Nesmeyanov Institute of Organoelement Compounds, Russian Academy of Sciences, Moscow. Author greatly acknowledges the reviewers for valuable remarks and Dmitry Denisenko for the design of the Graph. Abstract.
Conflicts of Interest
The author declares no conflict of interest.
References
- Patra, M.; Gasser, G. The medicinal chemistry of ferrocene and its derivatives. Nat. Rev. Chem. 2017, 1, 0066. [Google Scholar] [CrossRef]
- Sharma, B.; Kumar, V. Has ferrocene really delivered its role in accentuating the bioactivity of organic scaffolds? J. Med. Chem. 2021, 64, 16865–16921. [Google Scholar] [CrossRef]
- Pedotti, S.; Ussia, M.; Patti, A.; Musso, N.; Barresi, V.; Condorelli, D.F. Synthesis of the ferrocenyl analogue of clotrimazole drug. J. Organomet. Chem. 2017, 830, 56–61. [Google Scholar] [CrossRef]
- Tsypysheva, I.P.; Koval’skaya, A.V.; Petrova, P.R.; Lobov, A.N.; Erastov, A.S.; Zileeva, Z.R.; Vakhitov, V.A.; Vakhitova, Y.V. Synthesis of conjugates of (−)-cytisine derivatives with ferrocene-1-carbaldehyde and their cytotoxicity against HEK293, Jurkat, A549, MCF-7 and SH-SY5Y cells. Tetrahedron 2020, 76, 130902. [Google Scholar] [CrossRef]
- Karagöz, A.Ç.; Leidenberger, M.; Hahn, F.; Hamoel, F.; Friedrich, O.; Marschall, M.; Kappes, B.; Tsogoeva, S.B. Synthesis of new betulinic acid/betulin-derived dimers and hybrids with potent antimalarial and antiviral activities. Bioorg. Med. Chem. 2019, 27, 110–115. [Google Scholar] [CrossRef] [PubMed]
- Cunningham, L.; Wang, Y.; Nottingham, C.; Pagsulingan, J.; Jaouen, G.; McGlinchey, M.J.; Guiry, P.J. Enantioselective Synthesis of Planar Chiral Ferrocifens that Show Chiral Discrimination in Antiproliferative Activity on Breast Cancer Cells. ChemBioChem 2020, 21, 2974–2981. [Google Scholar] [CrossRef] [PubMed]
- Ludwig, B.S.; Correia, J.D.G.; Kühn, F.E. Ferrocene Derivatives as Anti-Infective Agents. Coord. Chem. Rev. 2019, 396, 22–48. [Google Scholar] [CrossRef]
- Larik, F.A.; Saeed, A.; Fattah, T.A.; Muqadar, U.; Channar, P.A. Recent advances in the synthesis, biological activities and various applications of ferrocene derivatives. Appl. Organomet. Chem. 2017, 31, e3664. [Google Scholar] [CrossRef]
- Maguene, G.M.; Jakhlal, J.; Ladyman, M.; Vallin, A.; Ralambomanana, D.A.; Bousquet, T.; Maugein, J.; Lebibi, J.; Pélinski, L. Synthesis and antimycobacterial activity of a series of ferrocenyl derivatives. Eur. J. Med. Chem. 2011, 46, 31–38. [Google Scholar] [CrossRef]
- Kulikov, V.N.; Nikulin, R.S.; Rodionov, A.N.; Babusenko, E.S.; Babin, V.N.; Kovalenko, L.V.; Belousov, Y.A. Synthesis and antimycobacterial activity of N-isonicotinoyl-N’-alkylideneferrocenecarbohydrazides. Russ. Chem. Bull. Int. Ed. 2017, 66, 1122–1126. [Google Scholar] [CrossRef]
- Asghar, F.; Munir, S.; Fatima, S.; Murtaza, B.; Patujo, J.; Badshah, A.; Butler, I.S.; Taj, M.B.; Tahir, M.N. Ferrocene-functionalized anilines as potent anticancer and antidiabetic agents: Synthesis, spectroscopic elucidation, and DFT calculations. J. Mol. Struct. 2022, 1249, 131632. [Google Scholar] [CrossRef]
- Glushkov, V.A.; Anikina, L.V.; Gorbunova, L.V.; Nedugov, A.N.; Slepukhin, P.A. Synthesis of ferrocenyl-substituted triterpenoids. Russ. J. Org. Chem. 2013, 49, 1226–1230. [Google Scholar] [CrossRef]
- Ismail, M.K.; Khan, Z.; Rana, M.; Horswell, S.L.; Male, L.; Nguyen, H.V.; Perotti, A.; Romero-Canelón, I.; Wilkinson, E.A.; Hodges, N.J.; et al. Effect of Regiochemistry and Methylation on the Anticancer Activity of a Ferrocene-Containing Organometallic Nucleoside Analogue. ChemBioChem 2020, 21, 2487–2494. [Google Scholar] [CrossRef]
- Jadhav, J.; Das, R.; Kamble, S.; Chowdhury, M.G.; Kapoor, S.; Gupta, A.; Vyas, H.; Shard, A. Ferrocene-based modulators of cancer-associated tumor pyruvate kinase M2. J. Organomet. Chem. 2022, 968–969, 122338. [Google Scholar] [CrossRef]
- Snegur, L.V.; Lyapunova, M.V.; Verina, D.D.; Kachala, V.V.; Korlyukov, A.A.; Ilyin, M.M., Jr.; Davankov, V.A.; Ostrovskaya, L.A.; Bluchterova, N.V.; Fomina, M.M.; et al. Nitro-imidazoles in ferrocenyl alkylation reaction. Synthesis, enantiomeric resolution and in vitro and in vivo bioeffects. J. Organomet. Chem. 2018, 871, 10–20. [Google Scholar] [CrossRef]
- Abbas, G.; Irfan, A.; Ahmed, I.; Al-Zeidaneen, F.K.; Muthu, S.; Fuhr, O.; Thomas, R. Synthesis and investigation of anti-COVID19 ability of ferrocene Schiff base derivatives by quantum chemical and molecular docking. J. Mol. Struct. 2022, 1253, 132242. [Google Scholar] [CrossRef] [PubMed]
- Snegur, L.V.; Simenel, A.A.; Rodionov, A.N.; Boev, V.I. Ferrocene modification of organic compounds for medicinal applications. Russ. Chem. Bull. Int. Ed. 2014, 63, 26–36. [Google Scholar] [CrossRef]
- Kowalski, K. Ferrocenyl-nucleobase complexes: Synthesis, chemistry and applications. Coord. Chem. Rev. 2016, 317, 132–156. [Google Scholar] [CrossRef]
- Astruc, D. Why is Ferrocene so Exceptional? Eur. J. Inorg. Chem. 2017, 6–29. [Google Scholar] [CrossRef]
- Zhang, P.; Sadler, P.J. Advances in the design of organometallic anticancer complexes. J. Organomet. Chem. 2017, 839, 5–14. [Google Scholar] [CrossRef]
- Shevaldina, E.V.; Moiseev, S.K. Ferrocenylalkylation reactions under acid-free conditions. INEOS OPEN 2021, 4, 41–52. [Google Scholar] [CrossRef]
- Babin, V.N.; Belousov, Y.A.; Borisov, V.I.; Gumenyuk, V.V.; Nekrasov, Y.S.; Ostrovskaya, L.A.; Sviridova, I.K.; Sergeeva, N.S.; Simenel, A.A.; Snegur, L.V. Ferrocenes as potential anticancer drugs. Facts and hypotheses. Russ. Chem. Bull. 2014, 63, 2405–2422. [Google Scholar] [CrossRef]
- Wang, R.; Chen, H.; Yan, W.; Zheng, M.; Zhang, T.; Zhang, Y. Ferrocene-containing hybrids as potential anticancer agents: Current developments, mechanisms of action and structure-activity relationships. Eur. J. Med. Chem. 2020, 190, 112109. [Google Scholar] [CrossRef] [PubMed]
- Idlas, P.; Lepeltier, E.; Jaouen, G.; Passirani, C. Ferrocifen Loaded Lipid Nanocapsules: A Promising Anticancer Medication against Multidrug Resistant Tumors. Cancers 2021, 13, 2291. [Google Scholar] [CrossRef]
- Vessières, A.; Wang, Y.; McGlinchey, M.J.; Jaouen, G. Multifaceted Chemical Behaviour of Metallocene (M = Fe, Os) Quinone Methides. Their Contribution to Biology. Coord. Chem. Rev. 2021, 430, 213658. [Google Scholar] [CrossRef]
- Shoukat, H.; Altaf, A.A.; Badshah, A. Ferrocene-Based Metallodrugs. In Advances in Metallodrugs: Preparation and Applications in Medicinal Chemistry; Shahid-ul-Islam, Hashmi, A.A., Khan, S.A., Eds.; Scrivener Publishing LLC: Beverly, MA, USA, 2020; pp. 115–136. [Google Scholar] [CrossRef]
- Chaudhary, A.; Poonia, K. The redox mechanism of ferrocene and its phytochemical and biochemical compounds in anticancer therapy: A mini review. Inorg. Chem. Commun. 2021, 134, 109044. [Google Scholar] [CrossRef]
- Guk, D.A.; Krasnovskaya, O.O.; Beloglazkina, E.K. Coordination compounds of biogenic metals as cytotoxic agents in cancer therapy. Russ. Chem. Rev. 2021, 90, 1566–1623. [Google Scholar] [CrossRef]
- Sansook, S.; Hassell-Hart, S.; Ocasio, C.; Spencer, J. Ferrocenes in medicinal chemistry; a personal perspective. J. Organomet. Chem. 2020, 905, 121017. [Google Scholar] [CrossRef]
- Zhang, S.; Yi, C.; Li, W.-W.; Luo, Y.; Wu, Y.-Z.; Ling, H.-B. The current scenario on anticancer activity of artemisinin metal complexes, hybrids, and dimers. Arch. Pharm. 2022, 355, e2200086. [Google Scholar] [CrossRef]
- Pauson, P.L. Ferrocene–how it all began. J. Organomet. Chem. 2001, 637, 3–6. [Google Scholar] [CrossRef]
- Nesmeyanov, A.N.; Bogomolova, L.G.; Andrianova, I.G.; Vilchevskaya, V.D.; Kochetkova, N.S. New Preparation (Ferroceron) for Treating Iron-deficient Anemia. Farm. Chem. J. 1972, 6, 269–270. [Google Scholar]
- Nesmeyanov, A.N.; Bogomolova, L.G.; Viltcheskaya, V.; Palitsyne, N.; Andrianova, I.; Belozerova, O. Medicinal preparation for treating parodontosis and method of treating parodontosis. U.S. Patent 119 356, 7 December 1971. [Google Scholar]
- Biot, C.; Glorian, G.; Maciejewski, L.A.; Brocard, J.S.; Domarle, O.; Blampain, G.; Millet, P.; Georges, A.J.; Abessolo, H.; Dive, D.; et al. Synthesis and Antimalarial Activity in Vitro and in Vivo of a New Ferrocene−Chloroquine Analogue. J. Med. Chem. 1997, 40, 3715–3718. [Google Scholar] [CrossRef] [PubMed]
- Dive, D.; Biot, C. Ferrocene conjugates of chloroquine and other antimalarials: The development of ferroquine, a new antimalarial. ChemMedChem 2008, 3, 383–391. [Google Scholar] [CrossRef] [PubMed]
- Jaouen, G.; Top, S.; Vessières, A.; Leclercq, G.; McGlinchey, M.J. The First Organometallic Selective Estrogen Receptor Modulators (SERMs) and Their Relevance to Breast Cancer. Curr. Med. Chem. 2004, 11, 2505–2517. [Google Scholar] [CrossRef] [PubMed]
- Vessières, A.; Top, S.; Beck, W.; Hillard, E.; Jaouen, G. Metal complex SERMs (selective oestrogen receptor modulators). The influence of different metal units on breast cancer cell antiproliferative effects. Dalton Trans. 2006, 529–541. [Google Scholar] [CrossRef]
- Jaouen, G.; Vessières, A.; Top, S. Ferrocifen type anticancer drugs. Chem. Soc. Rev. 2015, 44, 8802–8817. [Google Scholar] [CrossRef]
- Delhaes, L.; Biot, C.; Berry, L.; Delcourt, P.; Maciejewski, L.A.; Camus, D.; Brocard, J.S.; Dive, D. Synthesis of ferroquine enantiomers: First investigation of effects of metallocenic chirality upon antimalarial activity and cytotoxicity. ChemBioChem 2002, 3, 418–423. [Google Scholar] [CrossRef]
- Xiao, J.; Sun, Z.; Kong, F.; Gao, F. Current scenario of ferrocene-containing hybrids for antimalarial activity. Eur. J. Med. Chem. 2020, 185, 111791. [Google Scholar] [CrossRef]
- Delhaes, L.; Biot, C.; Berry, L.; Maciejewski, L.A.; Camus, D.; Brocard, J.S.; Dive, D. Novel Ferrocenic Artemisinin Derivatives: Synthesis, In Vitro Antimalarial Activity and Affinity of Binding with Ferroprotoporphyrin IX. Bioorg. Med. Chem. 2000, 8, 2739–2745. [Google Scholar] [CrossRef]
- de Lange, C.; Coertzen, D.; Smit, F.J.; Wentzel, J.F.; Wong, H.N.; Birkholtz, L.-M.; Haynes, R.K.; N’Da, D.D. Synthesis, in vitro antimalarial activities and cytotoxicities of amino-artemisinin-ferrocene derivatives. Bioorg. Med. Chem. Lett. 2018, 28, 289–292. [Google Scholar] [CrossRef]
- de Lange, C.; Coertzen, D.; Smit, F.J.; Wentzel, J.F.; Wong, H.N.; Birkholtz, L.-M.; Haynes, R.K.; N’Da, D.D. Synthesis, antimalarial activities and cytotoxicities of amino-artemisinin-1,2-disubstituted ferrocene hybrids. Bioorg. Med. Chem. Lett. 2018, 28, 3161–3163. [Google Scholar] [CrossRef] [PubMed]
- Reiter, C.; Frohlich, T.; Zeino, M.; Marschall, M.; Bahsi, H.; Leidenberger, M.; Friedrich, O.; Kappes, B.; Hampel, F.; Efferth, T.; et al. New efficient artemisinin derived agents against human leukemia cells, human cytomegalovirus and Plasmodium falciparum: 2nd generation 1,2,4-trioxane-ferrocene hybrids. Eur. J. Med. Chem. 2015, 97, 164–172. [Google Scholar] [CrossRef] [PubMed]
- Vessières, A.; Quissac, E.; Lemaire, N.; Alentorn, A.; Domeracka, P.; Pigeon, P.; Sanson, M.; Idbaih, A.; Verreault, M. Heterogeneity of Response to Iron-Based Metallodrugs in Glioblastoma Is Associated with Differences in Chemical Structures and Driven by FAS Expression Dynamics and Transcriptomic Subtypes. Int. J. Mol. Sci. 2021, 22, 10404. [Google Scholar] [CrossRef] [PubMed]
- Pigeon, P.; Gaschard, M.; Othman, M.; Salmain, M.; Jaouen, G. α-Hydroxylactams as Efficient Entries to Diversely Functionalized Ferrociphenols: Synthesis and Antiproliferative Activity Studies. Molecules 2022, 27, 4549. [Google Scholar] [CrossRef] [PubMed]
- Pigeon, P.; Wang, Y.; Top, S.; Najlaoui, F.; Alvarez, M.C.G.; Bignon, J.; McGlinchey, M.J.; Jaouen, G. A New Series of Succinimido-ferrociphenols and Related Heterocyclic Species Induce Strong Antiproliferative Effects, Especially against Ovarian Cancer Cells Resistant to Cisplatin. J. Med. Chem. 2017, 60, 8358–8368. [Google Scholar] [CrossRef]
- Wang, Y.; Pigeon, P.; Li, W.; Yan, J.; Dansette, P.M.; Othman, M.; McGlinchey, M.J.; Jaouen, G. Diversity-oriented synthesis and bioactivity evaluation of N-substituted ferrocifen compounds as novel antiproliferative agents against TNBC cancer cells. Eur. J. Med. Chem. 2022, 234, 114202. [Google Scholar] [CrossRef]
- Garcia, J.S.; Gaschard, M.; Navizet, I.; Sahihi, M.; Top, S.; Wang, Y.; Pigeon, P.; Vessières, A.; Salmain, M.; Jaouen, G. Inhibition of Cathepsin B by Ferrocenyl Indenes Highlights a new Pharmacological Facet of Ferrocifens. Eur. J. Inorg. Chem. 2022, e202101075. [Google Scholar] [CrossRef]
- Raičević, V.; Radulović, N.; Sakač, M. Toward Selective Anticancer Agents: Ferrocene-Steroid Conjugates. Eur. J. Inorg. Chem. 2022, 2022, e202100951. [Google Scholar] [CrossRef]
- Carmona, J.A.; Santana-Negrón, A.; Rheingold, A.L.; Melendez, E. Synthesis, structure, docking and cytotoxic studies of ferrocene–hormone conjugates for hormone-dependent breast cancer application. Dalton Trans. 2019, 48, 5952–5964. [Google Scholar] [CrossRef]
- Raičević, V.; Radulović, N.; Jovanović, L.; Rodić, M.; Kuzminac, I.; Jakimov, D.; Wrodnigg, T.; Knedel, T.-O.; Janiak, C.; Sakač, M. Ferrocenylmethylation of estrone and estradiol: Structure, electrochemistry, and antiproliferative activity of new ferrocene–steroid conjugates. Appl. Organomet. Chem. 2020, 34, e5889. [Google Scholar] [CrossRef]
- Baartzes, N.; Szabo, C.; Cenariu, M.; Imre-Lucaci, F.; Dorneanu, S.A.; Fischer-Fodor, E.; Smith, G.S. In vitro antitumour activity of two ferrocenyl metallodendrimers in a colon cancer cell line. Inorg. Chem. Commun. 2018, 98, 75–79. [Google Scholar] [CrossRef]
- Gadre, S.; Manikandan, M.; Duari, P.; Chhatar, S.; Sharma, A.; Khatri, S.; Kode, J.; Barkume, M.; Kasinathan, N.K.; Nagare, M.; et al. A Rationally Designed Bimetallic Platinum (II)-Ferrocene Antitumor Agent Induces Non-Apoptotic Cell Death and Exerts in Vivo Efficacy. Chem. Eur. J. 2022, 2022, e2020201259. [Google Scholar] [CrossRef] [PubMed]
- Skoupilova, H.; Bartosik, M.; Sommerova, L.; Pinkas, J.; Vaculovic, T.; Kanicky, V.; Karban, J.; Hrstka, R. Ferrocenes as new anticancer drug candidates: Determination of the mechanism of action. Eur. J. Pharmacol. 2020, 867, 172825. [Google Scholar] [CrossRef]
- Snegur, L.V. Synthesis of Biologically Active Ferrocenyl Alkyl Azoles. Ph.D. Thesis, A.N. Nesmeyanov Institute of Organoelement Compounds, Moscow, Russia, 2002. [Google Scholar]
- Snegur, L.V.; Rodionov, A.N.; Ostrovskaya, L.A.; Ilyin, M.M.; Simenel, A.A. Ferrocene-modified imidazoles: One-pot oxalyl chloride-assisted synthesis, HPLC enantiomeric resolution, and in vivo antitumor effects. Appl. Organomet. Chem. 2022, 36, e6681. [Google Scholar] [CrossRef]
- Khennoufa, A.; Bechki, L.; Lanez, T.; Lanez, E.; Zegheb, N. Spectrophotometric, voltammetric and molecular docking studies of binding interaction of N-ferrocenylmethylnitroanilines with bovine serum albumin. J. Mol. Struct. 2021, 1224, 129052. [Google Scholar] [CrossRef]
- Mahmoud, W.H.; Mahmoud, N.F.; Mohamed, G.G. Synthesis, physicochemical characterization, geometric structure and molecular docking of new biologically active ferrocene based Schiff base ligand with transition metal ions. Appl. Organomet. Chem. 2017, 31, e3858. [Google Scholar] [CrossRef]
- Mahmoud, W.H.; Deghadi, R.G.; Mohamed, G.G. Metal complexes of ferrocenyl-substituted Schiff base: Preparation, characterization, molecular structure, molecular docking studies, and biological investigation. J. Organomet. Chem. 2020, 917, 121113. [Google Scholar] [CrossRef]
- Lanez, T.; Lanez, E. A molecular docking study of N-ferrocenylmethylnitroanilines as potential anticancer drugs. Int. J. Pharmacol. Phytochem. Ethnomed. 2016, 2, 5–12. [Google Scholar] [CrossRef]
- Rodionov, A.N.; Korlyukov, A.A.; Simenel, A.A. Synthesis, structure of 5,7-dimethyl-3-ferrocenyl-2,3-dihydro-1H-pyrazolo-[1,2-a]-pyrazol-4-ium tetrafluoroborate. DFTB calculations of interaction with DNA. J. Mol. Struct. 2022, 1251, 132070. [Google Scholar] [CrossRef]
- Pešić, M.; Bugarinović, J.; Minić, A.; Novaković, S.B.; Bogdanović, G.A.; Todosijević, A.; Stevanović, D.; Damljanović, I. Electrochemical characterization and estimation of DNA-binding capacity of a series of novel ferrocene derivatives. Bioelectrochemistry 2020, 132, 107412. [Google Scholar] [CrossRef]
- Gopal, Y.N.V.; Jayaraju, D.; Kondapi, A.K. Topoisomerase II Poisoning and Antineoplastic Action by DNA-Nonbinding Diacetyl and Dicarboxaldoxime Derivatives of Ferrocene. Arch. Biochem. Biophys. 2000, 376, 229–235. [Google Scholar] [CrossRef] [PubMed]
- Konkolová, E.; Janočková, J.; Perjési, P.; Vašková, J.; Kožurková, M. Selected ferrocenyl chalcones as DNA/BSA-interacting agents and inhibitors of DNA topoisomerase I and II activity. J. Organomet. Chem. 2018, 861, 1–9. [Google Scholar] [CrossRef]
- Krishna, A.D.S.; Panda, G.; Kondapi, A.K. Mechanism of action of ferrocene derivatives on the catalytic activity of topoisomerase IIα and β. Distinct mode of action of two derivatives. Arch. Biochem. Biophys. 2005, 438, 206–216. [Google Scholar] [CrossRef]
- Rubbiani, R.; Weil, T.; Tocci, N.; Mastrobuoni, L.; Jeger, S.; Moretto, M.; Ng, J.; Lin, Y.; Hess, J.; Ferrari, S.; et al. In vivo active organometallic-containing antimycotic agents. RSC Chem. Biol. 2021, 2, 1263–1273. [Google Scholar] [CrossRef] [PubMed]
- Pinto, A.; Hoffmans, U.; Ott, V.; Fricker, G.; Metzler-Nolte, N. Modification with Organometallic Compounds Improves Crossing of the Blood–Brain Barrier of [Leu5]-Enkephalin Derivatives in an In Vitro Model System. ChemBioChem 2009, 10, 1852–1860. [Google Scholar] [CrossRef]
- Malecki, E.A.; Cable, E.E.; Isom, H.C.; Connor, G.R. The lipophilic iron compound TMH-ferrocene [(3,5,5-trimethylhexanoyl)ferrocene] increases iron concentrations, neuronal l-ferritin, and hemeoxygenase in brains of BALB/c mice. Biol. Trace Elem. Res. 2002, 86, 73–84. [Google Scholar] [CrossRef]
- Peters, D.G.; Purnell, C.J.; Haaf, M.P.; Yang, Q.X.; Connor, J.R.; Meadowcroft, M.D. Dietary lipophilic iron accelerates regional brain iron-load in C57BL6 mice. Brain Struct. Funct. 2018, 223, 1519–1536. [Google Scholar] [CrossRef]
- Rodionov, A.N.; Snegur, L.V.; Simenel, A.A.; Dobryakova, Y.V.; Markevich, V.A. Ferrocene-modification of Amino Acids: Synthesis and in vivo Bioeffects on Hippocampus. Russ. Chem. Bull. Int. Ed. 2017, 66, 136–142. [Google Scholar] [CrossRef]
- Rodionov, A.N.; Snegur, L.V.; Dobryakova, Y.V.; Ilyin, M.M.; Markevich, V.A.; Simenel, A.A. Administration of ferrocene-modified amino acids induces changes in synaptic transmission in the CA1 area of the hippocampus. Appl. Organomet. Chem. 2020, 34, e5276. [Google Scholar] [CrossRef]
- Pejović, A.; Denić, M.S.; Stevanović, D.; Damljanović, I.; Vukićević, M.; Kostova, K.; Tavlinova-Kirilova, M.; Randjelović, P.; Stojanović, N.M.; Bogdanović, G.A.; et al. Discovery of anxiolytic 2-ferrocenyl-1,3-thiazolidin-4-ones exerting GABAA receptor interaction via the benzodiazepine-binding site. Eur. J. Med. Chem. 2014, 83, 57–73. [Google Scholar] [CrossRef]
Publisher’s Note: MDPI stays neutral with regard to jurisdictional claims in published maps and institutional affiliations. |
© 2022 by the author. Licensee MDPI, Basel, Switzerland. This article is an open access article distributed under the terms and conditions of the Creative Commons Attribution (CC BY) license (https://creativecommons.org/licenses/by/4.0/).




















