Rational Design of Fluorescent/Colorimetric Chemosensors for Detecting Transition Metal Ions by Varying Functional Groups
Abstract
1. Introduction
2. Pt(dithiolene)-Based Chemosensors
3. Thiophene-Based Chemosensors
4. Julolidine-Based Chemosensors
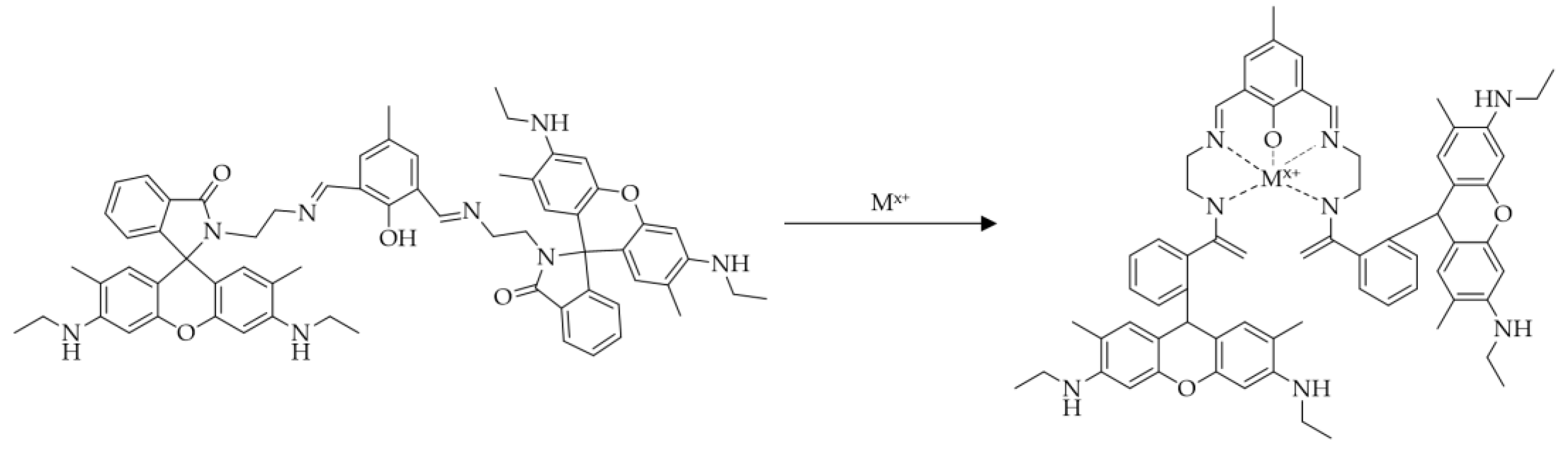
5. Rhodamine-Based Chemosensors

| Sensing Material | Target Ion(s) | Colorimetric | Fluorescent | Limit of Detection | Solvent Medium | Applications | Ref. |
|---|---|---|---|---|---|---|---|
| 1 | Yes | No | - | Organic solvent | - | [32] | |
| 2 | Yes | No | - | (1:1, v/v) | Test in 10 commercially available Hg2+ compounds | [44] | |
| 3 | Yes | No | - | (1:1, v/v) | - | [33] | |
| 4 | Yes | No | - | (1:1, v/v) | - | [34] | |
| 5 | No | Yes | 1 μM | DMSO 1) | Cosmetics | [45] | |
| 6 | Yes | Yes | CH3CN/H2O (1:1, v/v) and HEPES buffer | Molecular logic gate | [46] | ||
| 7 | No | Yes | 1.5 M | THF 2)/deionized water (1:1, v/v) | - | [47] | |
| 8 | No | Yes | 1.8 M | /HEPES (3:2, v/v) | Living cells | [48] | |
| 9 | No | Yes | O (1:1, v/v, HEPES = 50 mM, pH = 7.4) | Living cells, real water | [49] | ||
| 10 | Yes | Yes | M | Molecular logic gate | [50] | ||
| 11 | Yes | No | 0.36 μM (Fe3+), 0.37 μM (Fe2+) | DMSO/bis-tris buffer (pH = 7.0) | - | [51] | |
| 12 | Yes | No | 0.19 nM (Cu2+), 0.18 nM (Co2+) | DMSO/bis-tris buffer (9:1, v/v, pH = 7.0) | Test in drinking water and tap water | [52] | |
| 13 | Yes | No | 0.37 M | DMF 3)/bis-tris buffer (1:5, v/v, 10 mM, pH = 7.0) | Test in 19 different amino acids and peptides | [53] | |
| 14 | Yes (Fe2+, Fe3+) | Yes (Zn2+, Al3+) | 1.59 μM (Zn2+), 1.34 μM (Al3+), 0.21 μM (Fe2+), 0.22 μM (Fe3+) | MeOH/bis-tris buffer (9:1, v/v, 10 mM, pH=7.0, for colorimetric), DMF/bis-tris buffer (9.5:0.5, v/v, 10 mM, pH = 7.0, for fluorescent) | Test in tap water and deionized water | [54] | |
| 15 | Yes | No | 23.5 μM | Acetonitrile/bis-tris buffer (7:3, v/v, 10 mM, pH = 7.0) | - | [55] | |
| 16 | No | Yes | 0.59 μM | DMSO/bis-tris buffer (8:2, v/v) | Test in 20 different amino acids and peptides | [56] | |
| 17 | Yes | No | 0.90 M | DMSO/bis-tris buffer (0.01:9.99, v/v) | Detection by simple test kit in aqueous solution | [57] | |
| 18 | Yes | No | 1.28 M | Bis-tris buffer/MeOH (9.99:0.01, v/v) | Detection by test kit in bis-tris buffer solution | [58] | |
| 19 | No | Yes | 0.193 M | Bis-tris buffer/MeOH (9.99:0.01, v/v) | Cell imaging test in human dermal fibroblast cells | [59] | |
| 20 | Yes | Yes | - | O (0.5:9.5, v/v) | Cell imaging in HepG2 cells | [60] | |
| 21 | Yes | Yes | 1.18 nM (Al3+), 1.80 nM (Cr3+), 4.04 nM (Fe3+) | 10 mM HEPES buffer in methanol:water (7:3, v/v, at pH = 7.2) | Molecular logic devices | [61] | |
| 22 | Yes | Yes | 10.98 nM (Al3+), 76.92 nM (Zn2+) | 10 mM HEPES buffer in methanol:water (9:1, v/v, at pH = 7.4) | Cell imaging in BV2 cells | [62] | |
| 23 | Yes | Yes | 18 nM (Cu2+), 33 nM (Fe3+) | Aqueous medium | Biosensing and bioimaging in zebrafish embryos | [63] | |
| 24 | Yes | Yes | 2.7 nM | 0.01 M HEPES buffer in water (pH = 7.4) | Detection in sea shell food | [64] | |
| 25 | Yes | No | 480 nM | 30% acetonitrile solution | Not suitable as cytotoxic agent for colorectal cancer cells | [65] |
6. Conclusions
Author Contributions
Funding
Conflicts of Interest
References
- Fang, Y.; Dehaen, W. Small-molecule-based fluorescent probes for f-block metal ions: A new frontier in chemosensors. Coord. Chem. Rev. 2021, 427, 213524. [Google Scholar] [CrossRef]
- Boening, D.W. Ecological effects, transport, and fate of mercury: A general review. Chemosphere 2000, 40, 1335–1351. [Google Scholar] [CrossRef]
- Bolger, P.M.; Schwetz, B. Mercury and health. N. Engl. J. Med. 2002, 347, 1735–1736. [Google Scholar] [CrossRef]
- Clarkson, T.W. The Toxicology of Mercury. Crit. Rev. Clin. Lab. Sci. 1997, 34, 369–403. [Google Scholar] [CrossRef] [PubMed]
- Naik, L.; Maridevarmath, C.V.; Thippeswamy, M.S.; Savanur, H.M.; Khazi, I.A.M.; Malimath, G.H. A highly selective and sensitive thiophene substituted 1,3,4-oxadiazole based turn-off fluorescence chemosensor for Fe2+and turn on fluorescence chemosensor for Ni2+ and Cu2+ detection. Mater. Chem. Phys. 2021, 260, 124063. [Google Scholar] [CrossRef]
- Wang, L.; Gong, X.; Bing, Q.; Wang, G. A new oxadiazole-based dual-mode chemosensor: Colorimetric detection of Co2+ and fluorometric detection of Cu2+ with high selectivity and sensitivity. Microchem. J. 2018, 142, 279–287. [Google Scholar] [CrossRef]
- Saeed, T.S.; Maddipatla, D.; Narakathu, B.B.; Albalawi, S.S.; Obare, S.O.; Atashbar, M.Z. Synthesis of a novel hexaazatriphenylene derivative for the selective detection of copper ions in aqueous solution. RSC Adv. 2019, 9, 39824–39833. [Google Scholar] [CrossRef] [PubMed]
- Ozdemir, M. A novel chromogenic molecular sensing platform for highly sensitive and selective detection of Cu2+ ions in aqueous environment. J. Photochem. Photobiol. A: Chem. 2019, 369, 54–69. [Google Scholar] [CrossRef]
- Harikrishnan, M.; Sadhasivam, V.; Mariyappan, M.; Murugesan, S.; Malini, N.; Siva, A. A simple triazine (D-A) based organic fluorophore selective dual sensor for Copper(II) and dichromate ions and its solvatochromism, solid state sensing, logic gate applications. Dye. Pigment. 2019, 168, 123–133. [Google Scholar] [CrossRef]
- Barnham, K.J.; Bush, A.I. Metals in Alzheimer’s and Parkinson’s Diseases. Curr. Opin. Chem. Biol. 2008, 12, 222–228. [Google Scholar] [CrossRef]
- Gaggelli, E.; Kozlowski, H.; Valensin, D.; Valensin, G. Copper Homeostasis and Neurodegenerative Disorders (Alzheimer’s, Prion, and Parkinson’s Diseases and Amyotrophic Lateral Sclerosis). Chem. Rev. 2006, 106, 1995–2044. [Google Scholar] [CrossRef] [PubMed]
- Kozlowski, H.; Luczkowski, M.; Remelli, M.; Valensin, D. Copper, zinc and iron in neurodegenerative diseases (Alzheimer’s, Parkinson’s and prion diseases). Coord. Chem. Rev. 2012, 256, 2129–2141. [Google Scholar] [CrossRef]
- Zhu, M.; Yuan, M.; Liu, X.; Xu, J.; Lv, J.; Huang, C.; Liu, H.; Li, Y.; Wang, S.; Zhu, D. Visible near-infrared chemosensor for mercury ion. Org. Lett. 2008, 10, 1481–1484. [Google Scholar] [CrossRef] [PubMed]
- Dongare, P.R.; Gore, A.H. Recent Advances in Colorimetric and Fluorescent Chemosensors for Ionic Species: Design, Principle and Optical Signalling Mechanism. Chem. Sel. 2021, 6, 5657–5669. [Google Scholar] [CrossRef]
- Valeur, B.; Leray, I. Design principles of fluorescent molecular sensors for cation recognition. Coord. Chem. Rev. 2000, 205, 3–40. [Google Scholar] [CrossRef]
- Wu, J.; Liu, W.; Ge, J.; Zhang, H.; Wang, P. New sensing mechanisms for design of fluorescent chemosensors emerging in recent years. Chem. Soc. Rev. 2011, 40, 3483–3495. [Google Scholar] [CrossRef]
- Kaur, B.; Kaur, N.; Kumar, S. Colorimetric metal ion sensors—A comprehensive review of the years 2011–2016. Coord. Chem. Rev. 2018, 358, 13–69. [Google Scholar] [CrossRef]
- Valeur, B.; Berberan-Santos, M.N. Molecular Fluorescence: Principles and Applications; John Wiley & Sons: Hoboken, NJ, USA, 2012. [Google Scholar]
- Roy, P. Recent advances in the development of fluorescent chemosensors for Al3+. Dalton Trans. 2021, 50, 7156–7165. [Google Scholar] [CrossRef] [PubMed]
- Bhalla, P.; Malhotra, K.; Tomer, N.; Malhotra, R. Binding interactions and Sensing applications of chromone derived Schiff base chemosensors via absorption and emission studies: A comprehensive review. Inorg. Chem. Commun. 2022, 146, 110026. [Google Scholar] [CrossRef]
- de Silva, A.P.; Gunaratne, H.Q.N.; Gunnlaugsson, T.; Huxley, A.J.M.; McCoy, C.P.; Rademacher, J.T.; Rice, T.E. Signaling Recognition Events with Fluorescent Sensors and Switches. Chem. Rev. 1997, 97, 1515–1566. [Google Scholar] [CrossRef]
- Callan, J.F.; de Silva, A.P.; Magri, D.C. Luminescent sensors and switches in the early 21st century. Tetrahedron 2005, 61, 8551–8588. [Google Scholar] [CrossRef]
- Martínez-Máñez, R.; Sancenón, F. Fluorogenic and Chromogenic Chemosensors and Reagents for Anions. Chem. Rev. 2003, 103, 4419–4476. [Google Scholar] [CrossRef] [PubMed]
- Xu, Z.; Yoon, J.; Spring, D.R. Fluorescent chemosensors for Zn2+. Chem. Soc. Rev. 2010, 39, 1996–2006. [Google Scholar] [CrossRef]
- Kim, J.S.; Quang, D.T. Calixarene-Derived Fluorescent Probes. Chem. Rev. 2007, 107, 3780–3799. [Google Scholar] [CrossRef] [PubMed]
- Gunnlaugsson, T.; Ali, H.D.P.; Glynn, M.; Kruger, P.E.; Hussey, G.M.; Pfeffer, F.M.; dos Santos, C.M.G.; Tierney, J. Fluorescent Photoinduced Electron Transfer (PET) Sensors for Anions; From Design to Potential Application. J. Fluoresc. 2005, 15, 287–299. [Google Scholar] [CrossRef] [PubMed]
- Zhao, Q.; Li, F.; Huang, C. Phosphorescent chemosensors based on heavy-metal complexes. Chem. Soc. Rev. 2010, 39, 3007–3030. [Google Scholar] [CrossRef]
- Wu, J.-S.; Liu, W.-M.; Zhuang, X.-Q.; Wang, F.; Wang, P.-F.; Tao, S.-L.; Zhang, X.-H.; Wu, S.-K.; Lee, S.-T. Fluorescence Turn On of Coumarin Derivatives by Metal Cations: A New Signaling Mechanism Based on C=N Isomerization. Org. Lett. 2007, 9, 33–36. [Google Scholar] [CrossRef]
- Li, J.-Y.; Zhou, X.-Q.; Zhou, Y.; Fang, Y.; Yao, C. A highly specific tetrazole-based chemosensor for fluoride ion: A new sensing functional group based on intramolecular proton transfer. Spectrochim. Acta Part A Mol. Biomol. Spectrosc. 2013, 102, 66–70. [Google Scholar] [CrossRef] [PubMed]
- Sasaki, S.-I.; Kotegawa, Y.; Tamiaki, H. Trifluoroacetyl-chlorin as a new chemosensor for alcohol/amine detection. Tetrahedron Lett. 2006, 47, 4849–4852. [Google Scholar] [CrossRef]
- Jiang, W.; Fu, Q.; Fan, H.; Ho, J.; Wang, W. A Highly Selective Fluorescent Probe for Thiophenols. Angew. Chem. Int. Ed. 2007, 46, 8445–8448. [Google Scholar] [CrossRef] [PubMed]
- Jeon, H.; Suh, W.; Noh, D.-Y. Hg (II) sensing properties of (diphosphine) Pt (dmit) complexes (dmit: C3S52−: 1, 3-dithiole-2-thione-4, 5-dithiolate). Inorg. Chem. Commun. 2012, 24, 181–185. [Google Scholar] [CrossRef]
- Jeon, H.; Ryu, H.; Nam, I.; Noh, D.-Y. Heteroleptic Pt(II)-dithiolene-based Colorimetric Chemosensors: Selectivity Control for Hg(II) Ion Sensing. Materials 2020, 13, 1385. [Google Scholar] [CrossRef] [PubMed]
- Son, H.; Jang, S.; Lim, G.; Kim, T.; Nam, I.; Noh, D.-Y. Pt(dithiolene)-Based Colorimetric Chemosensors for Multiple Metal-Ion Sensing. Sustainability 2021, 13, 8160. [Google Scholar] [CrossRef]
- Abu-Dief, A.M.; Mohamed, I.M.A. A review on versatile applications of transition metal complexes incorporating Schiff bases. Beni-Suef Univ. J. Basic Appl. Sci. 2015, 4, 119–133. [Google Scholar] [CrossRef] [PubMed]
- Berhanu, A.L.; Gaurav; Mohiuddin, I.; Malik, A.K.; Aulakh, J.S.; Kumar, V.; Kim, K.-H. A review of the applications of Schiff bases as optical chemical sensors. TrAC Trends Anal. Chem. 2019, 116, 74–91. [Google Scholar] [CrossRef]
- Goshisht, M.K.; Patra, G.K.; Tripathi, N. Fluorescent Schiff base sensors as a versatile tool for metal ion detection: Strategies, mechanistic insights, and applications. Mater. Adv. 2022, 3, 2612–2669. [Google Scholar] [CrossRef]
- Kumar, M.; Kumar, A.; Kishor, S.; Kumar, S.; Kumar, A.; Manav, N.; Bhagi, A.K.; Kumar, S.; John, R.P. N-diethylaminosalicylidene based “turn-on” fluorescent Schiff base chemosensor for Al3+ ion: Synthesis, characterisation and DFT/TD-DFT studies. J. Mol. Struct. 2022, 1247, 131257. [Google Scholar] [CrossRef]
- Khan, S.; Chen, X.; Almahri, A.; Allehyani, E.S.; Alhumaydhi, F.A.; Ibrahim, M.M.; Ali, S. Recent developments in fluorescent and colorimetric chemosensors based on schiff bases for metallic cations detection: A review. J. Environ. Chem. Eng. 2021, 9, 106381. [Google Scholar] [CrossRef]
- Tidwell, T.T. Hugo (Ugo) Schiff, Schiff Bases, and a Century of β-Lactam Synthesis. Angew. Chem. Int. Ed. 2008, 47, 1016–1020. [Google Scholar] [CrossRef]
- Zafar, H.; Ahmad, A.; Khan, A.U.; Khan, T.A. Synthesis, characterization and antimicrobial studies of Schiff base complexes. J. Mol. Struct. 2015, 1097, 129–135. [Google Scholar] [CrossRef]
- Gupta, V.K.; Singh, A.K.; Kumawat, L.K. Thiazole Schiff base turn-on fluorescent chemosensor for Al3+ ion. Sens. Actuators B: Chem. 2014, 195, 98–108. [Google Scholar] [CrossRef]
- Sun, J.; Ye, B.; Xia, G.; Wang, H. A multi-responsive squaraine-based “turn on” fluorescent chemosensor for highly sensitive detection of Al3+, Zn2+ and Cd2+ in aqueous media and its biological application. Sens. Actuators B: Chem. 2017, 249, 386–394. [Google Scholar] [CrossRef]
- Jeon, S.; Suh, W.; Noh, D.-Y. Anion-dependent Hg2+-sensing of colorimetric (dppe)Pt(dmit) chemosensor (dppe: 1,2-bis(diphenylphosphino)ethane; dmit: 1,3-dithiole-2-thione-4,5-dithiolate). Inorg. Chem. Commun. 2017, 81, 43–46. [Google Scholar] [CrossRef]
- Sun, T.; Niu, Q.; Li, Y.; Li, T.; Liu, H. Novel oligothiophene-based dual-mode chemosensor: “Naked-Eye” colorimetric recognition of Hg2+ and sequential off-on fluorescence detection of Fe3+ and Hg2+ in aqueous media and its application in practical samples. Sens. Actuators B: Chem. 2017, 248, 24–34. [Google Scholar] [CrossRef]
- Razi, S.S.; Ali, R.; Gupta, R.C.; Dwivedi, S.K.; Sharma, G.; Koch, B.; Misra, A. Phenyl-end-capped-thiophene (P-T type) based ICT fluorescent probe (D–π–A) for detection of Hg2+ and Cu2+ ions: Live cell imaging and logic operation at molecular level. J. Photochem. Photobiol. A: Chem. 2016, 324, 106–116. [Google Scholar] [CrossRef]
- Kolcu, F.; Erdener, D.; Kaya, İ. A Schiff base based on triphenylamine and thiophene moieties as a fluorescent sensor for Cr (III) ions: Synthesis, characterization and fluorescent applications. Inorg. Chim. Acta 2020, 509, 119676. [Google Scholar] [CrossRef]
- He, G.; Liu, C.; Liu, X.; Wang, Q.; Fan, A.; Wang, S.; Qian, X. Design and synthesis of a fluorescent probe based on naphthalene anhydride and its detection of copper ions. PLoS ONE 2017, 12, e0186994. [Google Scholar] [CrossRef] [PubMed]
- Bhuvanesh, N.; Suresh, S.; Kumar, P.R.; Mothi, E.M.; Kannan, K.; Kannan, V.R.; Nandhakumar, R. Small molecule “turn on” fluorescent probe for silver ion and application to bioimaging. J. Photochem. Photobiol. A: Chem. 2018, 360, 6–12. [Google Scholar] [CrossRef]
- Harsha, K.G.; Ananda Rao, B.; Baggi, T.R.; Prabhakar, S.; Jayathirtha Rao, V. Thiophene-phenylquinazoline probe for selective ratiometric fluorescence and visual detection of Fe(iii) and turn-off fluorescence for I− and its applications. Photochem. Photobiol. Sci. 2020, 19, 1707–1716. [Google Scholar] [CrossRef]
- Chae, J.B.; Jang, H.J.; Kim, C. Sequential detection of Fe3+/2+ and pyrophosphate by a colorimetric chemosensor in a near-perfect aqueous solution. Photochem. Photobiol. Sci. 2017, 16, 1812–1820. [Google Scholar] [CrossRef]
- Min, C.H.; Na, S.; Shin, J.E.; Kim, J.K.; Jo, T.G.; Kim, C. A new Schiff-based chemosensor for chromogenic sensing of Cu2+, Co2+ and S2− in aqueous solution: Experimental and theoretical studies. New J. Chem. 2017, 41, 3991–3999. [Google Scholar] [CrossRef]
- Kim, Y.S.; Park, G.J.; Lee, S.A.; Kim, C. A colorimetric chemosensor for the sequential detection of copper ion and amino acids (cysteine and histidine) in aqueous solution. RSC Adv. 2015, 5, 31179–31188. [Google Scholar] [CrossRef]
- Kim, Y.S.; Park, G.J.; Lee, J.J.; Lee, S.Y.; Lee, S.Y.; Kim, C. Multiple target chemosensor: A fluorescent sensor for Zn(ii) and Al(iii) and a chromogenic sensor for Fe(ii) and Fe(iii). RSC Adv. 2015, 5, 11229–11239. [Google Scholar] [CrossRef]
- Choi, Y.W.; Lee, J.J.; You, G.R.; Lee, S.Y.; Kim, C. Chromogenic naked-eye detection of copper ion and fluoride. RSC Adv. 2015, 5, 86463–86472. [Google Scholar] [CrossRef]
- You, G.R.; Lee, S.Y.; Lee, J.J.; Kim, Y.S.; Kim, C. Sequential detection of mercury(ii) and thiol-containing amino acids by a fluorescent chemosensor. RSC Adv. 2016, 6, 4212–4220. [Google Scholar] [CrossRef]
- You, G.R.; Park, G.J.; Lee, J.J.; Kim, C. A colorimetric sensor for the sequential detection of Cu2+ and CN− in fully aqueous media: Practical performance of Cu2+. Dalton Trans. 2015, 44, 9120–9129. [Google Scholar] [CrossRef]
- Park, G.J.; Na, Y.J.; Jo, H.Y.; Lee, S.A.; Kim, C. A colorimetric organic chemo-sensor for Co2+ in a fully aqueous environment. Dalton Trans. 2014, 43, 6618–6622. [Google Scholar] [CrossRef]
- Lee, S.A.; You, G.R.; Choi, Y.W.; Jo, H.Y.; Kim, A.R.; Noh, I.; Kim, S.-J.; Kim, Y.; Kim, C. A new multifunctional Schiff base as a fluorescence sensor for Al3+ and a colorimetric sensor for CN− in aqueous media: An application to bioimaging. Dalton Trans. 2014, 43, 6650–6659. [Google Scholar] [CrossRef]
- Lee, M.H.; Lee, H.; Chang, M.J.; Kim, H.S.; Kang, C.; Kim, J.S. A fluorescent probe for the Fe3+ ion pool in endoplasmic reticulum in liver cells. Dye Pigments 2016, 130, 245–250. [Google Scholar] [CrossRef]
- Dey, S.; Sarkar, S.; Maity, D.; Roy, P. Rhodamine based chemosensor for trivalent cations: Synthesis, spectral properties, secondary complex as sensor for arsenate and molecular logic gates. Sens. Actuators B: Chem. 2017, 246, 518–534. [Google Scholar] [CrossRef]
- Roy, A.; Shee, U.; Mukherjee, A.; Mandal, S.K.; Roy, P. Rhodamine-Based Dual Chemosensor for Al3+ and Zn2+ Ions with Distinctly Separated Excitation and Emission Wavelengths. ACS Omega 2019, 4, 6864–6875. [Google Scholar] [CrossRef]
- Senthil Murugan, A.; Vidhyalakshmi, N.; Ramesh, U.; Annaraj, J. In vivo bio-imaging studies of highly selective, sensitive rhodamine based fluorescent chemosensor for the detection of Cu2+/Fe3+ ions. Sens. Actuators B: Chem. 2018, 274, 22–29. [Google Scholar] [CrossRef]
- Wan, J.; Zhang, K.; Li, C.; Li, Y.; Niu, S. A novel fluorescent chemosensor based on a rhodamine 6G derivative for the detection of Pb2+ ion. Sens. Actuators B: Chem. 2017, 246, 696–702. [Google Scholar] [CrossRef]
- Cheah, P.W.; Heng, M.P.; Saad, H.M.; Sim, K.S.; Tan, K.W. Specific detection of Cu2+ by a pH-independent colorimetric rhodamine based chemosensor. Opt. Mater. 2021, 114, 110990. [Google Scholar] [CrossRef]
























Publisher’s Note: MDPI stays neutral with regard to jurisdictional claims in published maps and institutional affiliations. |
© 2022 by the authors. Licensee MDPI, Basel, Switzerland. This article is an open access article distributed under the terms and conditions of the Creative Commons Attribution (CC BY) license (https://creativecommons.org/licenses/by/4.0/).
Share and Cite
Park, J.-K.; Shin, J.; Jang, S.; Seol, M.-L.; Kang, J.; Choi, S.; Eom, H.; Kwon, O.; Park, S.; Noh, D.-Y.; et al. Rational Design of Fluorescent/Colorimetric Chemosensors for Detecting Transition Metal Ions by Varying Functional Groups. Inorganics 2022, 10, 189. https://doi.org/10.3390/inorganics10110189
Park J-K, Shin J, Jang S, Seol M-L, Kang J, Choi S, Eom H, Kwon O, Park S, Noh D-Y, et al. Rational Design of Fluorescent/Colorimetric Chemosensors for Detecting Transition Metal Ions by Varying Functional Groups. Inorganics. 2022; 10(11):189. https://doi.org/10.3390/inorganics10110189
Chicago/Turabian StylePark, Jong-Kwon, Junhyeop Shin, Seohyeon Jang, Myeong-Lok Seol, Jihyeon Kang, Seyoung Choi, Hojong Eom, Ohhyun Kwon, Soomin Park, Dong-Youn Noh, and et al. 2022. "Rational Design of Fluorescent/Colorimetric Chemosensors for Detecting Transition Metal Ions by Varying Functional Groups" Inorganics 10, no. 11: 189. https://doi.org/10.3390/inorganics10110189
APA StylePark, J.-K., Shin, J., Jang, S., Seol, M.-L., Kang, J., Choi, S., Eom, H., Kwon, O., Park, S., Noh, D.-Y., & Nam, I. (2022). Rational Design of Fluorescent/Colorimetric Chemosensors for Detecting Transition Metal Ions by Varying Functional Groups. Inorganics, 10(11), 189. https://doi.org/10.3390/inorganics10110189

