Orthogonal Subblock Division Multiple Access for OFDM-IM-Based Multi-User VLC Systems
Abstract
:1. Introduction
2. Osdma with DFT-Spreading and Interleaving for Bandlimited MU-VLC
2.1. The Review of OFDM-IM
2.1.1. OFDM-SM-IM
2.1.2. OFDM-DM-IM
2.2. OSDMA with DFT Spreading and Interleaving
2.3. Interleaved Subcarrier Multiplexing
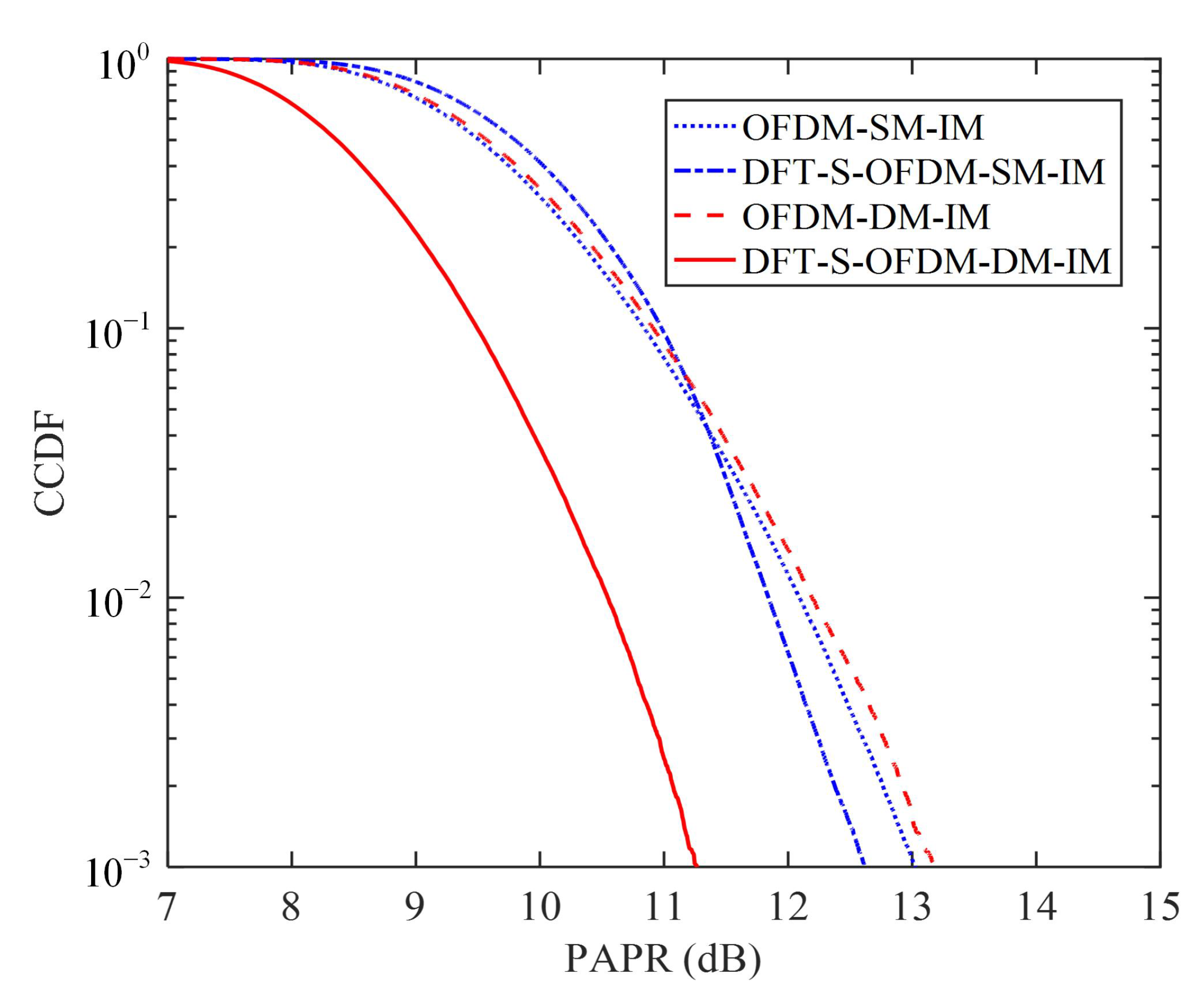
3. Results and Discussions
3.1. Simulation Results
3.2. Experimental Results
4. Conclusions
Author Contributions
Funding
Institutional Review Board Statement
Informed Consent Statement
Data Availability Statement
Acknowledgments
Conflicts of Interest
References
- Chi, N.; Zhou, Y.; Wei, Y.; Hu, F. Visible light communication in 6G: Advances, challenges, and prospects. IEEE Veh. Technol. Mag. 2020, 15, 93–102. [Google Scholar] [CrossRef]
- Chen, C.; Fu, S.; Jian, X.; Liu, M.; Deng, X.; Ding, Z.G. NOMA for energy-efficient LiFi-enabled bidirectional IoT communication. IEEE Trans. Commun. 2021, 69, 1693–1706. [Google Scholar] [CrossRef]
- Komine, T.; Nakagawa, M. Fundamental analysis for visible-light communication system using LED lights. IEEE Trans. Consum. Electron. 2004, 50, 100–107. [Google Scholar] [CrossRef]
- Deng, X.; Mardanikorani, S.; Wu, Y.; Arulandu, K.; Chen, B.; Khalid, A.M.; Linnartz, J.P. Mitigating LED nonlinearity to enhance visible light communications. IEEE Trans. Commun. 2018, 66, 5593–5607. [Google Scholar] [CrossRef]
- Chen, C.; Zhong, W.D.; Yang, H.L.; Du, P.F. On the performance of MIMO-NOMA based visible light communication systems. IEEE Photonics Technol. Lett. 2018, 30, 307–310. [Google Scholar] [CrossRef]
- Nie, Y.G.; Zhang, W.; Yang, Y.B.; Deng, X.; Liu, M.; Chen, C. Pairwise coded mCAP with chaotic dual-mode index modulation for secure bandlimited VLC systems. Photonics 2022, 9, 141. [Google Scholar] [CrossRef]
- Elgala, H.; Mesleh, R.; Haas, H. Indoor broadcasting via white LEDs and OFDM. IEEE Trans. Consum. Electron. 2009, 55, 1127–1134. [Google Scholar] [CrossRef]
- Lin, B.; Zhang, K.; Tian, Y.; Chen, Y.; Tang, X.; Zhang, M.; Wu, Y.; Li, H. Non-orthogonal multiple access for visible light communications. In Proceedings of the Asia Communications and Photonics Conference, Guangzhou, China, 10–13 November 2017. paper Su2A.22. [Google Scholar]
- Li, J.F.; Huang, Z.T.; Liu, X.S.; Ji, Y.F. Hybrid time-frequency domain equalization for LED nonlinearity mitigation in OFDM-based VLC systems. Opt. Express 2015, 25, 611–619. [Google Scholar] [CrossRef] [PubMed]
- Chen, C.; Nie, Y.G.; Liu, M.; Du, Y.F.; Liu, R.S.; Wei, Z.X.; Fu, H.Y. Digital pre-equalization for OFDM-based VLC systems: Centralized or distributed? IEEE Photonics Technol. Lett. 2021, 33, 1081–1084. [Google Scholar] [CrossRef]
- Chen, C.; Tang, Y.R.; Cai, Y.P.; Liu, M. Fairness-aware hybrid NOMA/OFDMA for bandlimited multi-user VLC systems. Opt. Express 2021, 29, 42265–42275. [Google Scholar] [CrossRef]
- Nisar, M.D.; Nottensteiner, H.; Hindelang, T. On performance limits of DFT spread OFDM systems. In Proceedings of the 16th IST Mobile and Wireless Communications Summit, Budapest, Hungary, 1–5 July 2007; pp. 1–4. [Google Scholar]
- Ahmed, F.; Nie, Y.G.; Chen, C.; Liu, M.; Du, P.F.; Alphones, A. DFT-spread OFDM with quadrature index modulation for practical VLC systems. Opt. Express. 2021, 29, 33027–33036. [Google Scholar] [CrossRef] [PubMed]
- Berardinelli, G.; de Temino, L.A.M.; Frattasi, S.; Rahman, M.I.; Mogensen, P. OFDMA vs. SC-FDMA: Performance comparison in local area IMT-A scenarios. IEEE Wirel. Commun. 2008, 15, 64–72. [Google Scholar] [CrossRef]
- Zhou, J.; Qiao, Y.J.; Yu, J.J.; Shi, J.Y.; Cheng, Q.X.; Tang, X.Z.; Guo, M.G. Interleaved single-carrier frequency-division multiplexing for optical interconnects. Opt. Express. 2017, 25, 10586–10596. [Google Scholar] [CrossRef] [PubMed]
- Basar, E. Index modulation techniques for 5G wireless networks. IEEE Commun. Mag. 2016, 54, 168–175. [Google Scholar] [CrossRef] [Green Version]
- Chen, C.; Deng, X.; Yang, Y.B.; Du, P.F.; Yang, H.L.; Zhong, W.D. Experimental demonstration of optical OFDM with subcarrier index modulation for IM/DD VLC. In Proceedings of the Asia Communications and Photonics Conference (ACP), Chengdu, China, 2–5 November 2019. paper M4A.40. [Google Scholar]
- Mao, T.Q.; Wang, Z.C.; Wang, Q.; Chen, S.; Hanzo, L. Dual-mode index modulation aided OFDM. IEEE Access. 2017, 5, 50–60. [Google Scholar] [CrossRef]
- Mao, T.Q.; Jiang, R.; Bai, R.W. Optical dual-mode index modulation aided OFDM for visible light communications. Opt. Commun. 2017, 391, 37–41. [Google Scholar] [CrossRef]
- Zhao, J.; Qin, C.; Zhang, M.; Chi, N. Investigation on performance of special-shaped 8-quadrature amplitude modulation constellations applied in visible light communication. Photon. Res. 2016, 4, 249–256. [Google Scholar] [CrossRef]










| Index Bit | Index | Subblocks |
|---|---|---|
| 0 | 1 | [] |
| 1 | 2 | [] |
| Index Bit | Index | Index | Subblocks |
|---|---|---|---|
| 0 | 1 | 2 | [] |
| 1 | 2 | 1 | [] |
Publisher’s Note: MDPI stays neutral with regard to jurisdictional claims in published maps and institutional affiliations. |
© 2022 by the authors. Licensee MDPI, Basel, Switzerland. This article is an open access article distributed under the terms and conditions of the Creative Commons Attribution (CC BY) license (https://creativecommons.org/licenses/by/4.0/).
Share and Cite
Nie, Y.; Chen, J.; Wen, W.; Liu, M.; Deng, X.; Chen, C. Orthogonal Subblock Division Multiple Access for OFDM-IM-Based Multi-User VLC Systems. Photonics 2022, 9, 373. https://doi.org/10.3390/photonics9060373
Nie Y, Chen J, Wen W, Liu M, Deng X, Chen C. Orthogonal Subblock Division Multiple Access for OFDM-IM-Based Multi-User VLC Systems. Photonics. 2022; 9(6):373. https://doi.org/10.3390/photonics9060373
Chicago/Turabian StyleNie, Yungui, Jiamin Chen, Wanli Wen, Min Liu, Xiong Deng, and Chen Chen. 2022. "Orthogonal Subblock Division Multiple Access for OFDM-IM-Based Multi-User VLC Systems" Photonics 9, no. 6: 373. https://doi.org/10.3390/photonics9060373
APA StyleNie, Y., Chen, J., Wen, W., Liu, M., Deng, X., & Chen, C. (2022). Orthogonal Subblock Division Multiple Access for OFDM-IM-Based Multi-User VLC Systems. Photonics, 9(6), 373. https://doi.org/10.3390/photonics9060373

