Effect of Dual-Pulse Temporal Shaping on Ultraviolet Nanosecond Laser Damage of Fused Silica Surface in High Fluence Regime
Abstract
1. Introduction
2. Experimental Setup and Methods
3. Experimental Results and Analysis
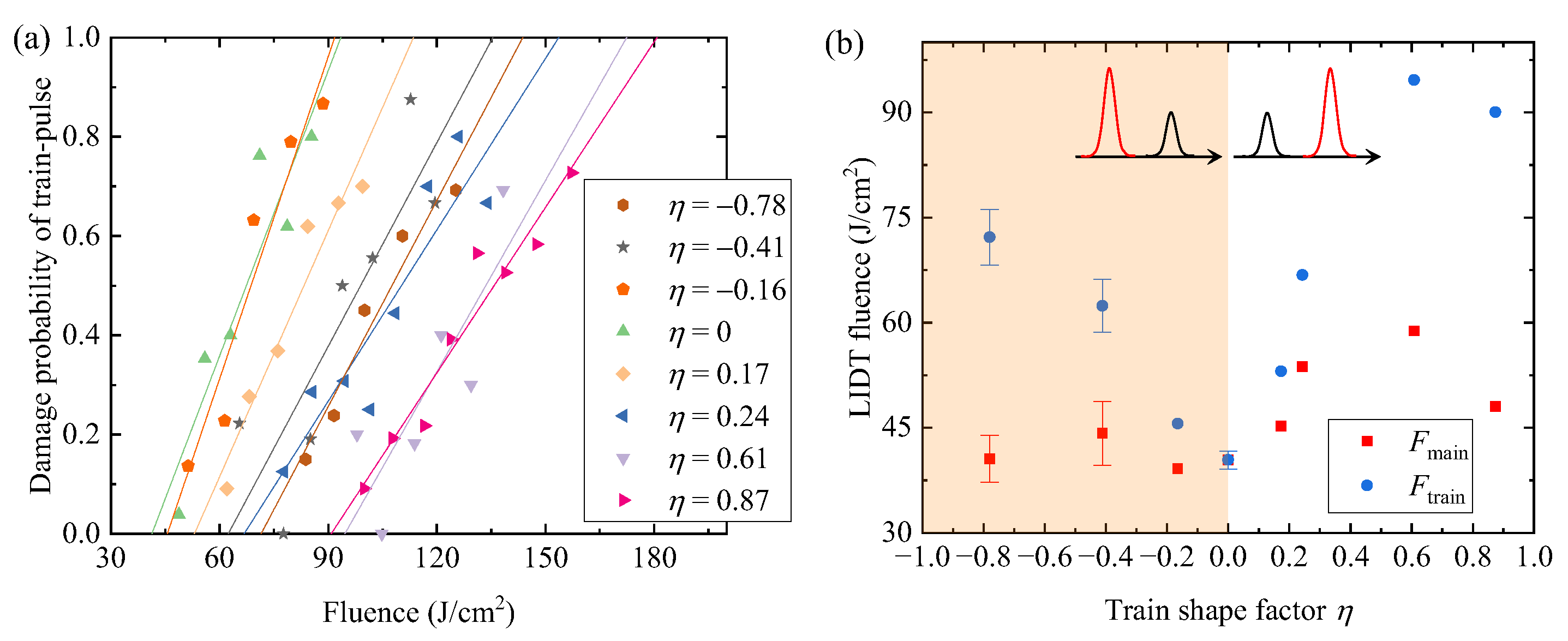
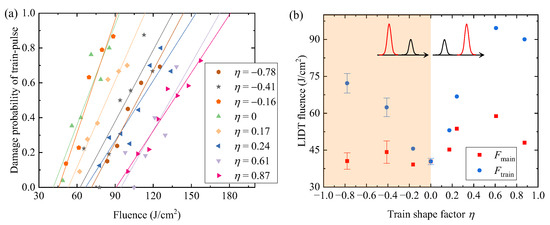
3.1. Effect of Temporal Shaping on Damage Threshold
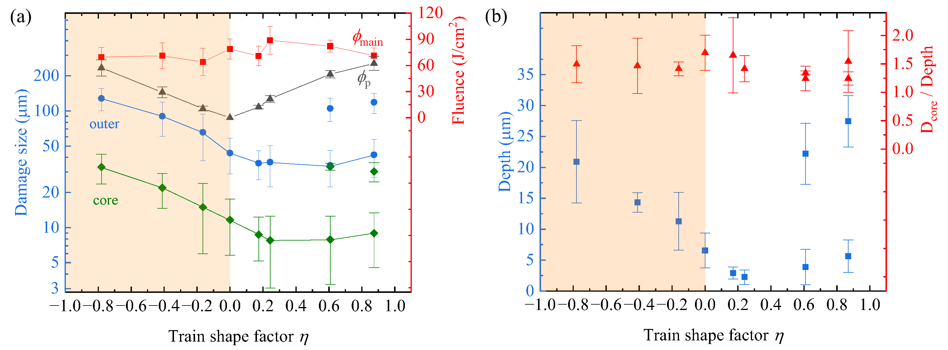
3.2. Effect of Temporal Shaping on Damage Morphology
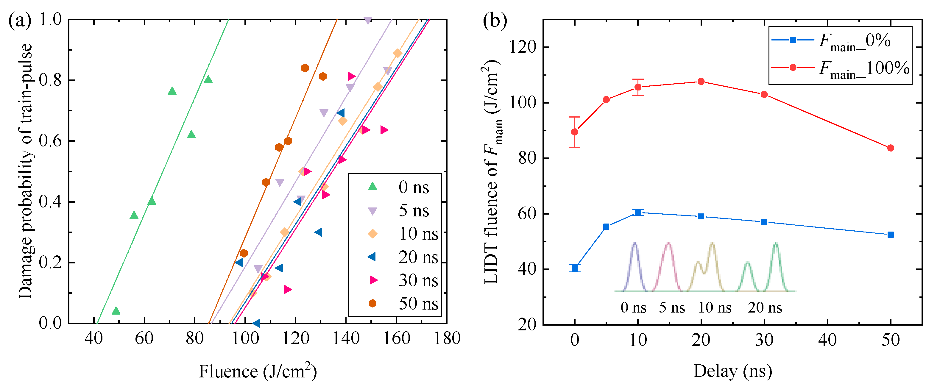
3.3. Effect of Pulse Delay on Damage Threshold
4. Discussion
5. Conclusions
Author Contributions
Funding
Institutional Review Board Statement
Informed Consent Statement
Data Availability Statement
Conflicts of Interest
References
- Manes, K.R.; Spaeth, M.L.; Adams, J.J.; Bowers, M.W.; Bude, J.D.; Carr, C.W.; Conder, A.D.; Cross, D.A.; Demos, S.G.; Nicola, J.M.G.D.; et al. Damage Mechanisms Avoided or Managed for NIF Large Optics. Fusion Sci. Technol. 2016, 69, 146–249. [Google Scholar] [CrossRef]
- Jiao, Z.; Shao, P.; Zhao, D.; Wu, R.; Ji, L.; Wang, L.; Xia, L.; Liu, D.; Zhou, Y.; Ju, L.; et al. Design and performance of final optics assembly in SG-II Upgrade laser facility. High Power Laser Sci. Eng. 2018, 6, e14. [Google Scholar] [CrossRef]
- Miller, P.E.; Bude, J.D.; Suratwala, T.I.; Shen, N.; Laurence, T.A.; Steele, W.A.; Menapace, J.; Feit, M.D.; Wong, L.L. Fracture-induced subbandgap absorption as a precursor to optical damage on fused silica surfaces. Opt. Lett. 2010, 35, 2702–2704. [Google Scholar] [CrossRef] [PubMed]
- Suratwala, T.I.; Miller, P.E.; Bude, J.D.; Steele, W.A.; Shen, N.; Monticelli, M.V.; Feit, M.D.; Laurence, T.A.; Norton, M.A.; Carr, C.W.; et al. HF-Based Etching Processes for Improving Laser Damage Resistance of Fused Silica Optical Surfaces. J. Am. Ceram. Soc. 2011, 94, 416–428. [Google Scholar] [CrossRef]
- Miller, P.E.; Suratwala, T.I.; Bude, J.D.; Laurence, T.A.; Shen, N.; Steele, W.A.; Feit, M.D.; Menapace, J.A.; Wong, L.L. Laser damage precursors in fused silica. In Laser-Induced Damage in Optical Materials; SPIE: Bellingham, WA, USA, 2009. [Google Scholar]
- Neauport, J.; Lamaignere, L.; Bercegol, H.; Pilon, F.; Birolleau, J.C. Polishing-induced contamination of fused silica optics and laser induced damage density at 351 nm. Opt. Express 2005, 13, 10163–10171. [Google Scholar] [CrossRef]
- Laurence, T.A.; Bude, J.D.; Ly, S.; Shen, N.; Feit, M.D. Extracting the distribution of laser damage precursors on fused silica surfaces for 351 nm, 3 ns laser pulses at high fluences (20–150 J/cm2). Opt. Express 2012, 20, 11561–11573. [Google Scholar] [CrossRef]
- Bude, J.; Miller, P.; Baxamusa, S.; Shen, N.; Laurence, T.; Steele, W.; Suratwala, T.; Wong, L.; Carr, W.; Cross, D.; et al. High fluence laser damage precursors and their mitigation in fused silica. Opt. Express 2014, 22, 5839–5851. [Google Scholar] [CrossRef]
- Hu, G.; Zhao, Y.; Liu, X.; Li, D.; Xiao, Q.; Yi, K.; Shao, J. Combining wet etching and real-time damage event imaging to reveal the most dangerous laser damage initiator in fused silica. Opt. Lett. 2013, 38, 2632–2635. [Google Scholar] [CrossRef]
- Wong, J.; Ferriera, J.L.; Lindsey, E.F.; Haupt, D.L.; Hutcheon, I.D.; Kinney, J.H. Morphology and microstructure in fused silica induced by high fluence ultraviolet 3ω (355 nm) laser pulses. J. Non-Cryst. Solids 2006, 352, 255–272. [Google Scholar] [CrossRef]
- Carr, C.W.; Trenholme, J.B.; Spaeth, M.L. Effect of temporal pulse shape on optical damage. Appl. Phys. Lett. 2007, 90, 041110. [Google Scholar] [CrossRef]
- Stuart, B.C.; Feit, M.D.; Rubenchik, A.M.; Shore, B.W.; Perry, M.D. Laser-Induced Damage in Dielectrics with Nanosecond to Subpicosecond Pulses. Phys. Rev. Lett. 1995, 74, 2248–2251. [Google Scholar] [CrossRef] [PubMed]
- Carr, C.W.; Cross, D.A.; Norton, M.A.; Negres, R.A. The effect of laser pulse shape and duration on the size at which damage sites initiate and the implications to subsequent repair. Opt. Express 2011, 19, A859–A864. [Google Scholar] [CrossRef] [PubMed]
- Laurence, T.A.; Negres, R.A.; Ly, S.; Shen, N.; Carr, C.W.; Alessi, D.A.; Rigatti, A.; Bude, J.D. Role of defects in laser-induced modifications of silica coatings and fused silica using picosecond pulses at 1053 nm: II. Scaling laws and the density of precursors. Opt. Express 2017, 25, 15381–15401. [Google Scholar] [CrossRef] [PubMed]
- Carr, C.W.; Bude, J.D.; DeMange, P. Laser-supported solid-state absorption fronts in silica. Phys. Rev. B 2010, 82, 184304. [Google Scholar] [CrossRef]
- Carr, C.W.; Cross, D.; Feit, M.D.; Bude, J.D. Using shaped pulses to probe energy deposition during laser-induced damage of SiO2 surfaces. In Laser-Induced Damage in Optical Materials; SPIE: Bellingham, WA, USA, 2008. [Google Scholar]
- Negres, R.A.; Feit, M.D.; DeMange, P.; Bude, J.D.; Demos, S.G. Pump and probe damage testing for investigation of transient material modifications associated with laser damage in optical materials. In Laser-Induced Damage in Optical Materials; SPIE: Bellingham, WA, USA, 2007. [Google Scholar]
- Adams, J.; Weiland, T.; Stanley, J.; Sell, W.; Luthi, R.; Vickers, J.; Carr, C.; Feit, M.; Rubenchik, A.; Spaeth, M.; et al. Pulse Length Dependence of Laser Conditioning and Bulk Damage in KD2PO4; SPIE: Bellingham, WA, USA, 2005; Volume 5647. [Google Scholar]
- Kafka, K.R.P.; Papernov, S.; Demos, S.G. Enhanced laser conditioning using temporally shaped pulses. Opt. Lett. 2018, 43, 1239–1242. [Google Scholar] [CrossRef]
- Astrauskas, I.; Kaksis, E.; Flöry, T.; Andriukaitis, G.; Pugžlys, A.; Baltuška, A.; Ruppe, J.; Chen, S.; Galvanauskas, A.; Balčiūnas, T. High-energy pulse stacking via regenerative pulse-burst amplification. Opt. Lett. 2017, 42, 2201–2204. [Google Scholar] [CrossRef]
- Li, M.; Menon, S.; Nibarger, J.P.; Gibson, G.N. Ultrafast Electron Dynamics in Femtosecond Optical Breakdown of Dielectrics. Phys. Rev. Lett. 1999, 82, 2394–2397. [Google Scholar] [CrossRef]
- Nguyen, D.N.; Emmert, L.A.; Patel, D.; Menoni, C.S.; Rudolph, W. Transient phenomena in the dielectric breakdown of HfO2 optical films probed by ultrafast laser pulse pairs. Appl. Phys. Lett. 2010, 97, 191909. [Google Scholar] [CrossRef]
- Kafka, K.R.P.; Hoffman, B.N.; Kozlov, A.A.; Demos, S.G. Dynamics of electronic excitations involved in laser-induced damage in HfO2 and SiO2 films. Opt. Lett. 2021, 46, 1684–1687. [Google Scholar] [CrossRef]
- Liu, W.; Sun, M.; Cui, Z.; Guo, Y.; Jiao, Z.; Wu, R.; Zhu, J. Modulation of laser damage by temporal shaping of double picosecond pulses. Opt. Lett. 2022, 47, 3856–3859. [Google Scholar] [CrossRef]
- Demos, S.G.; Negres, R.A.; Raman, R.N.; Rubenchik, A.M.; Feit, M.D. Material response during nanosecond laser induced breakdown inside of the exit surface of fused silica. Laser Photon. Rev. 2013, 7, 444–452. [Google Scholar] [CrossRef]
- Carr, C.W.; Matthews, M.J.; Bude, J.D.; Spaeth, M.L. The effect of laser pulse duration on laser-induced damage in KDP and SiO2. In Laser-Induced Damage in Optical Materials; SPIE: Bellingham, WA, USA, 2006. [Google Scholar]
- Carr, C.W.; Radousky, H.B.; Rubenchik, A.M.; Feit, M.D.; Demos, S.G. Localized Dynamics during Laser-Induced Damage in Optical Materials. Phys. Rev. Lett. 2004, 92, 087401. [Google Scholar] [CrossRef] [PubMed]
- Grua, P.; Hébert, D.; Lamaignère, L.; Rullier, J.-L. Role of suprathermal electrons during nanosecond laser energy deposit in fused silica. Appl. Phys. Lett. 2014, 105, 081902. [Google Scholar] [CrossRef]
- Michael, D.F.; Alexander, M.R. Implications of nanoabsorber initiators for damage probability curves, pulselength scaling, and laser conditioning. In Laser-Induced Damage in Optical Materials; SPIE: Bellingham, WA, USA, 2003. [Google Scholar]
- Negres, R.A.; Abdulla, G.M.; Cross, D.A.; Liao, Z.M.; Carr, C.W. Probability of growth of small damage sites on the exit surface of fused silica optics. Opt. Express 2012, 20, 13030–13039. [Google Scholar] [CrossRef]
- Demos, S.G.; Negres, R.A.; Raman, R.N.; Feit, M.D.; Manes, K.R.; Rubenchik, A.M. Relaxation dynamics of nanosecond laser superheated material in dielectrics. Optica 2015, 2, 765–772. [Google Scholar] [CrossRef]











Publisher’s Note: MDPI stays neutral with regard to jurisdictional claims in published maps and institutional affiliations. |
© 2022 by the authors. Licensee MDPI, Basel, Switzerland. This article is an open access article distributed under the terms and conditions of the Creative Commons Attribution (CC BY) license (https://creativecommons.org/licenses/by/4.0/).
Share and Cite
Liu, W.; Sun, M.; Guo, Y.; Shi, Y.; Xu, Y.; Jiao, Z.; Cui, Z.; Zhu, J. Effect of Dual-Pulse Temporal Shaping on Ultraviolet Nanosecond Laser Damage of Fused Silica Surface in High Fluence Regime. Photonics 2022, 9, 834. https://doi.org/10.3390/photonics9110834
Liu W, Sun M, Guo Y, Shi Y, Xu Y, Jiao Z, Cui Z, Zhu J. Effect of Dual-Pulse Temporal Shaping on Ultraviolet Nanosecond Laser Damage of Fused Silica Surface in High Fluence Regime. Photonics. 2022; 9(11):834. https://doi.org/10.3390/photonics9110834
Chicago/Turabian StyleLiu, Wenfeng, Mingying Sun, Yajing Guo, Yiqun Shi, Yingming Xu, Zhaoyang Jiao, Zijian Cui, and Jianqiang Zhu. 2022. "Effect of Dual-Pulse Temporal Shaping on Ultraviolet Nanosecond Laser Damage of Fused Silica Surface in High Fluence Regime" Photonics 9, no. 11: 834. https://doi.org/10.3390/photonics9110834
APA StyleLiu, W., Sun, M., Guo, Y., Shi, Y., Xu, Y., Jiao, Z., Cui, Z., & Zhu, J. (2022). Effect of Dual-Pulse Temporal Shaping on Ultraviolet Nanosecond Laser Damage of Fused Silica Surface in High Fluence Regime. Photonics, 9(11), 834. https://doi.org/10.3390/photonics9110834

