Low- and High-Order Optical Nonlinearities of Quantum Dots
Abstract
1. Why Quantum Dots?
2. Low-Order Nonlinearities of the QDs Containing Various Sulfides
2.1. Cd0.5Zn0.5S Quantum Dots
2.2. Thin Films Containing Ag2S Quantum Dots
3. Low-Order NLO Properties of HgS, HgTe, and HgSe Quantum Dots
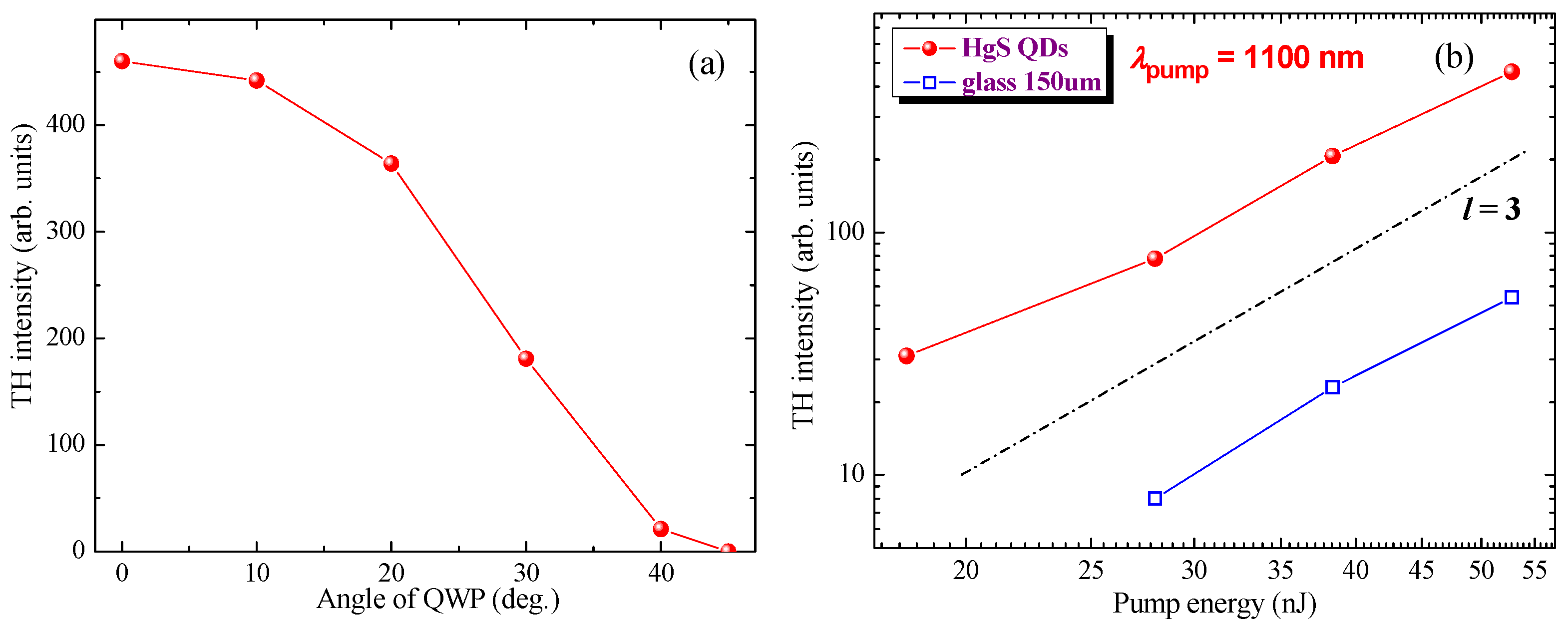
3.1. Mercury Sulfide Quantum Dots
3.2. Third-Order Nonlinearities of Mercury Telluride and Mercury Selenide QDs
4. Perspectives of Efficient High-Order Harmonics Generation of Ultrashort Laser Pulses Using Quantum Dots
4.1. Application of Metal Sulfide QDs for HHG
4.2. Quasi-Phase-Matching and Two-Color Pump of Extended QD Plasmas
5. Summary
Funding
Institutional Review Board Statement
Informed Consent Statement
Data Availability Statement
Acknowledgments
Conflicts of Interest
References
- Donnelly, T.D.; Ditmire, T.; Neuman, K.; Perry, M.D.; Falcone, R.W. High-order harmonic generation in atom clusters. Phys. Rev. Lett. 1996, 76, 2472. [Google Scholar] [CrossRef]
- Tisch, J.W.G.; Ditmire, T.; Fraser, D.J.; Hay, N.; Mason, M.B.; Springate, E.; Marangos, J.P.; Hutchinson, M.H.R. Investigation of high-harmonic generation from xenon atom clusters. J. Phys. B 1997, 30, L709. [Google Scholar] [CrossRef]
- Vozzi, C.; Nisoli, M.; Caumes, J.-P.; Sansone, G.; Stagira, S.; De Silvestri, S.; Vecchiocattivi, M.; Bassi, D.; Pascolini, M.; Poletto, L.; et al. Cluster effects in high-order harmonics generated by ultrashort light pulses. Appl. Phys. Lett. 2005, 86, 111121. [Google Scholar] [CrossRef]
- Ruf, H.; Handschin, C.; Cireasa, R.; Thiré, N.; Ferré, A.; Petit, S.; Descamps, D.; Mével, E.; Constant, E.; Blanchet, V.; et al. Inhomogeneous high harmonic generation in krypton clusters. Phys. Rev. Lett. 2013, 110, 083902. [Google Scholar] [CrossRef]
- Ganeev, R.A.; Suzuki, M.; Baba, M.; Ichihara, M.; Kuroda, H. High-order harmonic generation in Ag nanoparticle-contained plasma. J. Phys. B 2008, 41, 045603. [Google Scholar] [CrossRef]
- Singhal, H.; Naik, P.A.; Kumar, M.; Chakera, J.A.; Gupta, P.D. Enhanced coherent extreme ultraviolet emission through high order harmonic generation from plasma plumes containing nanoparticles. J. Appl. Phys. 2014, 115, 033104. [Google Scholar] [CrossRef]
- Chen, F.; Dai, S.; Xu, T.; Shen, X.; Lin, C.; Nie, Q.; Liu, C.; Heo, J. Surface-plasmon enhanced ultrafast third-order optical nonlinearities in ellipsoidal gold nanoparticles embedded bismuthate glasses. Chem. Phys. Lett. 2011, 514, 79–82. [Google Scholar] [CrossRef]
- Bailey, R.E.; Nie, S. Alloyed semiconductor quantum dots: tuning the optical properties without changing the particle size. J. Am. Chem. Soc. 2003, 125, 7100–7106. [Google Scholar] [CrossRef]
- Tutt, L.W.; Kost, A. Optical limiting performance of C60 and C70 solutions. Nature 1992, 356, 225–226. [Google Scholar] [CrossRef]
- Venkatram, N.; Rao, D.N.; Akundi, M.A. Nonlinear absorption, scattering and optical limiting studies of CdS nanoparticles. Opt. Express 2005, 13, 867–872. [Google Scholar] [CrossRef]
- Karimzadeh, R.; Aleali, H.; Mansour, N. Thermal nonlinear refraction properties of Ag2S semiconductor nanocrystals with its application as a low power optical limiter. Opt. Commun. 2011, 284, 2370–2375. [Google Scholar] [CrossRef]
- Wu, F.; Zhang, G.; Tian, W.; Ma, L.; Chen, W.; Zhao, G.; Cao, S.; Xie, W. Nonlinear optical properties of CdSe0.8 S0.2 quantum dots. J. Opt. A 2008, 10, 075103. [Google Scholar] [CrossRef]
- Danilov, A.V.; Panfutova, A.S.; Khrebtov, A.I.; Titova, T.S. Specific features of resonant nonlinear absorption in colloidal solutions of CdSe/ZnS quantum dots. Opt. Spectrosc. 2015, 118, 94–98. [Google Scholar] [CrossRef]
- Yu, D.; Du, K.; Zhang, J.; Wang, F.; Chen, L.; Zhao, M.; Bian, J.; Feng, Y.; Jiao, Y. Composition-tunable nonlinear optical properties of ternary CdSexS1−x (x = 0–1) alloy quantum dots. New J. Chem. 2014, 38, 5081–5086. [Google Scholar] [CrossRef]
- Boltaev, G.S.; Fu, D.J.; Sobirov, B.R.; Smirnov, M.S.; Ovchinnikov, O.V.; Zvyagin, A.I.; Ganeev, R.A. Optical limiting, nonlinear refraction and nonlinear absorption of the associates of Cd0.5Zn0.5S quantum dots and dyes. Opt. Express 2018, 26, 13865. [Google Scholar] [CrossRef]
- Klyuev, V.G.; Volykhin, D.V.; Ovchinnikov, O.V.; Pokutnyi, S.I. Relationship between structural and optical properties of colloidal CdxZn1−xS quantum dots in gelatin. J. Nanophot. 2016, 10, 033507. [Google Scholar] [CrossRef]
- Sun, Y.P.; Riggs, J.E.; Henbest, K.B.; Martin, R.B. Nanomaterials as optical limiters. J. Nonlinear Opt. Phys. Mater. 2000, 9, 481–503. [Google Scholar] [CrossRef]
- Sheik-Bahae, M.; Said, A.A.; Wei, T.H.; Hagan, D.J.; Van Stryland, E.W. Sensitive measurement of optical nonlinearities using a single beam. IEEE J. Quantum Electron. 1990, 26, 760–769. [Google Scholar] [CrossRef]
- Liu, L.-W.; Hu, S.-Y.; Dou, Y.-P.; Liu, T.-H.; Lin, J.-Q.; Wang, Y. Nonlinear optical properties of near-infrared region Ag2S quantum dots pumped by nanosecond laser pulses. Beilstein J. Nanotech. 2015, 6, 1781–1787. [Google Scholar] [CrossRef]
- Fan, G.; Qu, S.; Wang, Q.; Zhao, C.; Zhang, L.; Li, Z. Pd nanoparticles formation by femtosecond laser irradiation and the nonlinear optical properties at 532 nm using nanosecond laser pulses. J. Appl. Phys. 2011, 109, 023102. [Google Scholar] [CrossRef]
- Disney, C.E.; Pillai, S.; Johnson, C.M.; Green, M.A. Self-assembled nanostructured rear reflector designs for thin-film solar cells. ACS Photonics 2015, 2, 1108–1116. [Google Scholar] [CrossRef]
- Kuang, P.; Eyderman, S.; Hsieh, M.L.; Post, A.; John, S.; Lin, S.-Y. Achieving an accurate surface profile of a photonic crystal for near-unity solar absorption in a super thin-film architecture. ACS Nano 2016, 10, 6116–6124. [Google Scholar] [CrossRef]
- Oskooi, A.; De Zoysa, M.; Ishizaki, K.; Noda, S. Experimental demonstration of quasi-resonant absorption in silicon thin films for enhanced solar light trapping. ACS Photonics 2014, 1, 304–309. [Google Scholar] [CrossRef]
- Aleali, H.; Mansour, N. Nanosecond high-order nonlinear optical effects in wide band gap silver sulfide nanoparticles colloids. Optik 2016, 127, 2485–2489. [Google Scholar] [CrossRef]
- Fu, Y.; Ganeev, R.A.; Boltaev, G.S.; Maurya, S.K.; Kim, V.V.; Zhao, C.; Rout, A.; Guo, C. Low- and high-order nonlinear optical properties of Ag2S quantum dot thin films. Nanophotonics 2019, 8, 849–858. [Google Scholar] [CrossRef]
- Fu, Y.; Ganeev, R.A.; Zhao, C.; Rao, K.S.; Maurya, S.k.; Yu, W.; Zhang, K.; Guo, C. Ag2S quantum dots in the fields of picosecond and femtosecond UV and IR pulses: Optical limiting, nonlinear absorption and refraction properties. Appl. Phys. B 2019, 125, 1. [Google Scholar] [CrossRef]
- Kondratenko, T.S.; Smirnov, M.S.; Ovchinnikov, O.V.; Zvyagin, A.I.; Ganeev, R.A.; Grevtseva, I.G. Nonlinear optical properties of hybrid associates of Ag2S quantum dots with erythrosine molecules. Optik 2020, 200, 163391. [Google Scholar] [CrossRef]
- Zvyagin, A.I.; Chevychelova, T.A.; Grevtseva, I.G.; Smirnov, M.S.; Selyukov, A.S.; Ovchinnikov, O.V.; Ganeev, R.A. Nonlinear refraction in colloidal silver sulfide quantum dots. J. Rus. Laser Res. 2020, 41, 670–680. [Google Scholar] [CrossRef]
- Wagh, R.A.; Kulkarni, A.N.; Baviskar, P.K.; Pathan, H.M.; Patil, R.S. Fabrication of titanium dioxide (TiO2) and mercury sulfide (HgS) heterojunction for photoelectrochemical study. Mater. Renew Sustain. Energy 2018, 7, 13. [Google Scholar] [CrossRef]
- Schooss, D.; Mews, A.; Eychmuller, A.; Weller, H. Quantum-dot quantum well CdS/HgS/CdS: Theory and experiment. Phys. Rev. B 1994, 49, 17072. [Google Scholar] [CrossRef]
- Kim, V.V.; Shuklov, I.A.; Mardini, A.A.; Bundulis, A.; Zvyagin, A.I.; Kholany, R.; Lizunova, A.A.; Grube, J.; Sarakovskis, A.; Ovchinnikov, O.V.; et al. Investigation of nonlinear optical processes in mercury sulfide quantum dots. Nanomaterials 2022, 12, 1264. [Google Scholar] [CrossRef] [PubMed]
- Goubet, N.; Jagtap, A.; Livache, C.; Martinez, B.; Portales, H.; Xu, X.Z.; Lobo, R.P.S.M.; Dubertret, B.; Lhuillier, E. Terahertz HgTe nanocrystals: Beyond confinement. J. Am. Chem. Soc. 2018, 140, 5033–5036. [Google Scholar] [CrossRef] [PubMed]
- Yang, L.; Dorsinville, R.; Wang, Q.Z.; Ye, P.X.; Alfano, R.R.; Zamboni, T.; Taliani, C. Excited-state nonlinearity in polythiophene thin films investigated by the Z-scan technique. Opt. Lett. 1992, 17, 323–325. [Google Scholar] [CrossRef]
- Samoc, M.; Samoc, A.; Luther-Davies, B.; Reisch, H.; Scherf, U. Saturable absorption in poly(indenofluorene): A picket-fence polymer. Opt. Lett. 1998, 23, 1295–1297. [Google Scholar] [CrossRef] [PubMed]
- Gréboval, C.; Chu, A.; Goubet, N.; Livache, C.; Ithurria, S.; Lhuillier, E. Mercury chalcogenide quantum dots: Material perspective for device integration. Chem. Rev. 2021, 121, 3627–3700. [Google Scholar] [CrossRef]
- Rogalski, A. HgCdTe infrared detector material: History, status and outlook. Rep. Prog. Phys. 2005, 68, 2267. [Google Scholar] [CrossRef]
- Wang, P.; Xia, H.; Li, Q.; Wang, F.; Zhang, L.; Li, T.; Martyniuk, P.; Rogalski, A.; Hu, W. Sensing infrared photons at room temperature: From bulk materials to atomic layers. Small 2019, 15, 1904396. [Google Scholar] [CrossRef]
- Melnychuk, C.; Guyot-Sionnest, P. Thermodynamic limits to HgTe quantum dot infrared detector performance. J. Electron. Mater. 2022, 51, 1428–1435. [Google Scholar] [CrossRef]
- Bundulis, A.; Shuklov, I.A.; Kim, V.V.; Mardini, A.; Grube, J.; Alnis, J.; Lizunova, A.A.; Razumov, V.F.; Ganeev, R.A. Nonlinear absorption and refraction of picosecond and femtosecond pulses in HgTe quantum dot films. Nanomaterials 2021, 11, 3351. [Google Scholar] [CrossRef]
- Ganeev, R.A.; Shuklov, I.A.; Zvyagin, A.I.; Mardini, A.; Lizunova, A.A.; Boltaev, G.S.; Sapaev, I.B.; Kim, V.V.; Ovchinnikov, O.V.; Razumov, V.F. Optical nonlinearities of mercury telluride quantum dots measured by nanosecond pulses. Photon. Nanostruct. 2022, 50, 101025. [Google Scholar] [CrossRef]
- Ganeev, R.A.; Shuklov, I.A.; Zvyagin, A.I.; Dyomkin, D.V.; Smirnov, M.S.; Ovchinnikov, O.V.; Lizunova, A.A.; Perepukhov, A.M.; Popov, V.S.; Razumov, V.F. Synthesis and low-order optical nonlinearities of colloidal HgSe quantum dots in the visible and near infrared ranges. Opt. Express 2021, 29, 16710–16726. [Google Scholar] [CrossRef]
- Zeng, Z.; Garoufalis, C.S.; Terzis, A.F.; Baskoutas, S. Linear and nonlinear optical properties of ZnO/ZnS and ZnS/ZnO core shell quantum dots: Effects of shell thickness, impurity, and dielectric environment. J. Appl. Phys. 2013, 114, 023510. [Google Scholar] [CrossRef]
- Ganeev, R.A.; Boltaev, G.S.; Kim, V.V.; Zhang, K.; Zvyagin, A.I.; Smirnov, M.S.; Ovchinnikov, O.V.; Redkin, P.V.; Wöstmann, M.; Zacharias, H.; et al. Effective high-order harmonic generation from metal sulfide quantum dots. Opt. Express 2018, 26, 35013. [Google Scholar] [CrossRef] [PubMed]
- Kim, C.M.; Nam, C.H. Selection of an electron path of high-order harmonic generation in a two-colour femtosecond laser field. J. Phys. B 2006, 39, 3199. [Google Scholar] [CrossRef]
- Pfeifer, T.; Gallmann, L.; Abel, M.J.; Neumark, D.M.; Leone, S.R. Single attosecond pulse generation in the multicycle-driver regime by adding a weak second-harmonic field. Opt. Lett. 2006, 31, 975–977. [Google Scholar] [CrossRef] [PubMed]
- Ganeev, R.A.; Singhal, H.; Naik, P.A.; Kulagin, I.A.; Redkin, P.V.; Chakera, J.A.; Tayyab, M.; Khan, R.A.; Gupta, P.D. Enhancement of high-order harmonic generation using two-color pump in plasma plumes. Phys. Rev. A 2009, 80, 033845. [Google Scholar] [CrossRef]
- Ganeev, R.A.; Strelkov, V.V.; Hutchison, C.; Zaïr, A.; Kilbane, D.; Khokhlova, M.A.; Marangos, J.P. Experimental and theoretical studies of two-color pump resonance-induced enhancement of odd and even harmonics from a tin plasma. Phys. Rev. A 2012, 85, 023832. [Google Scholar] [CrossRef]
- Kim, J.; Lee, G.H.; Park, S.B.; Lee, Y.S.; Kim, T.K.; Nam, C.H.; Mocek, T.; Jakubczak, K. Generation of submicrojoule high harmonics using a long gas jet in a two-color laser field. Appl. Phys. Lett. 2008, 92, 021125. [Google Scholar] [CrossRef]
- Ganeev, R.A.; Boltaev, G.S.; Kim, V.V.; Venkatesh, M.; Zvyagin, A.I.; Smirnov, M.S.; Ovchinnikov, O.V.; Wöstmann, M.; Zacharias, H.; Guo, C. High-order harmonic generation using quasi-phase matching and two-color pump of the plasmas containing molecular and alloyed metal sulfide quantum dots. J. Appl. Phys. 2019, 126, 193103. [Google Scholar] [CrossRef]
- Seres, J.; Yakovlev, V.S.; Seres, E.; Streli, C.H.; Wobrauschek, P.; Spielmann, C.H.; Krausz, F. Coherent superposition of laser-driven soft-X-ray harmonics from successive sources. Nat. Phys. 2007, 3, 878–883. [Google Scholar] [CrossRef]
- Pirri, A.; Corsi, C.; Bellini, M. Enhancing the yield of high-order harmonics with an array of gas jets. Phys. Rev. A 2008, 78, 011801. [Google Scholar] [CrossRef]
- Wöstmann, M.; Splitthoff, L.; Zacharias, H. Control of quasi-phase-matching of high-harmonics in a spatially structured plasma. Opt. Express 2018, 26, 14524–14537. [Google Scholar] [CrossRef] [PubMed]
















Publisher’s Note: MDPI stays neutral with regard to jurisdictional claims in published maps and institutional affiliations. |
© 2022 by the author. Licensee MDPI, Basel, Switzerland. This article is an open access article distributed under the terms and conditions of the Creative Commons Attribution (CC BY) license (https://creativecommons.org/licenses/by/4.0/).
Share and Cite
Ganeev, R.A. Low- and High-Order Optical Nonlinearities of Quantum Dots. Photonics 2022, 9, 757. https://doi.org/10.3390/photonics9100757
Ganeev RA. Low- and High-Order Optical Nonlinearities of Quantum Dots. Photonics. 2022; 9(10):757. https://doi.org/10.3390/photonics9100757
Chicago/Turabian StyleGaneev, Rashid A. 2022. "Low- and High-Order Optical Nonlinearities of Quantum Dots" Photonics 9, no. 10: 757. https://doi.org/10.3390/photonics9100757
APA StyleGaneev, R. A. (2022). Low- and High-Order Optical Nonlinearities of Quantum Dots. Photonics, 9(10), 757. https://doi.org/10.3390/photonics9100757
