Optically Tunable Diffraction Efficiency in Reflection Grating Written in Photomobile Polymers
Abstract
:1. Introduction
2. Materials and Methods
2.1. Materials
2.2. Holographic Mixture Preparation
2.3. Recording, Pumping, and Data Acquisition Setups
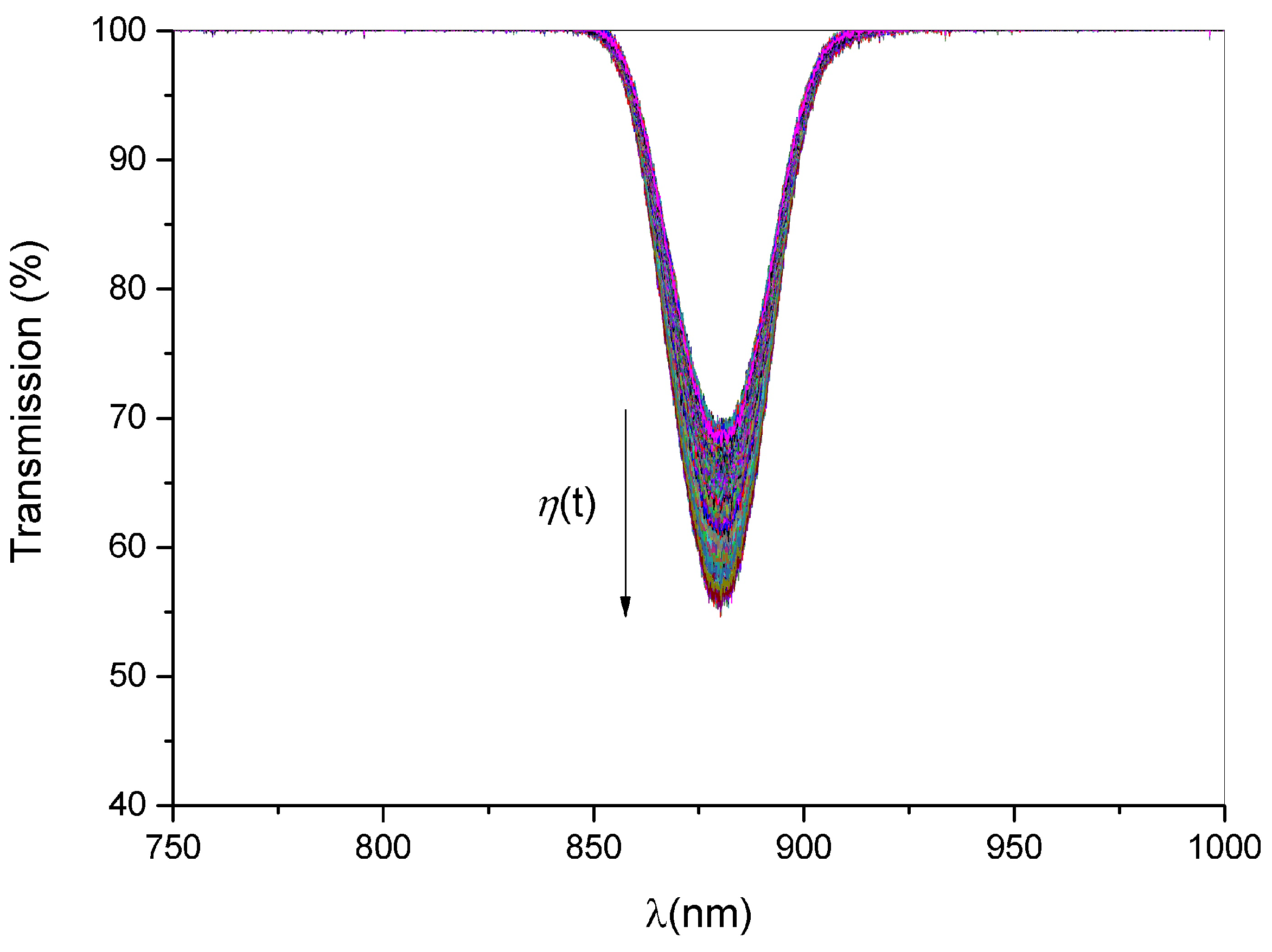
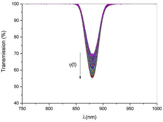
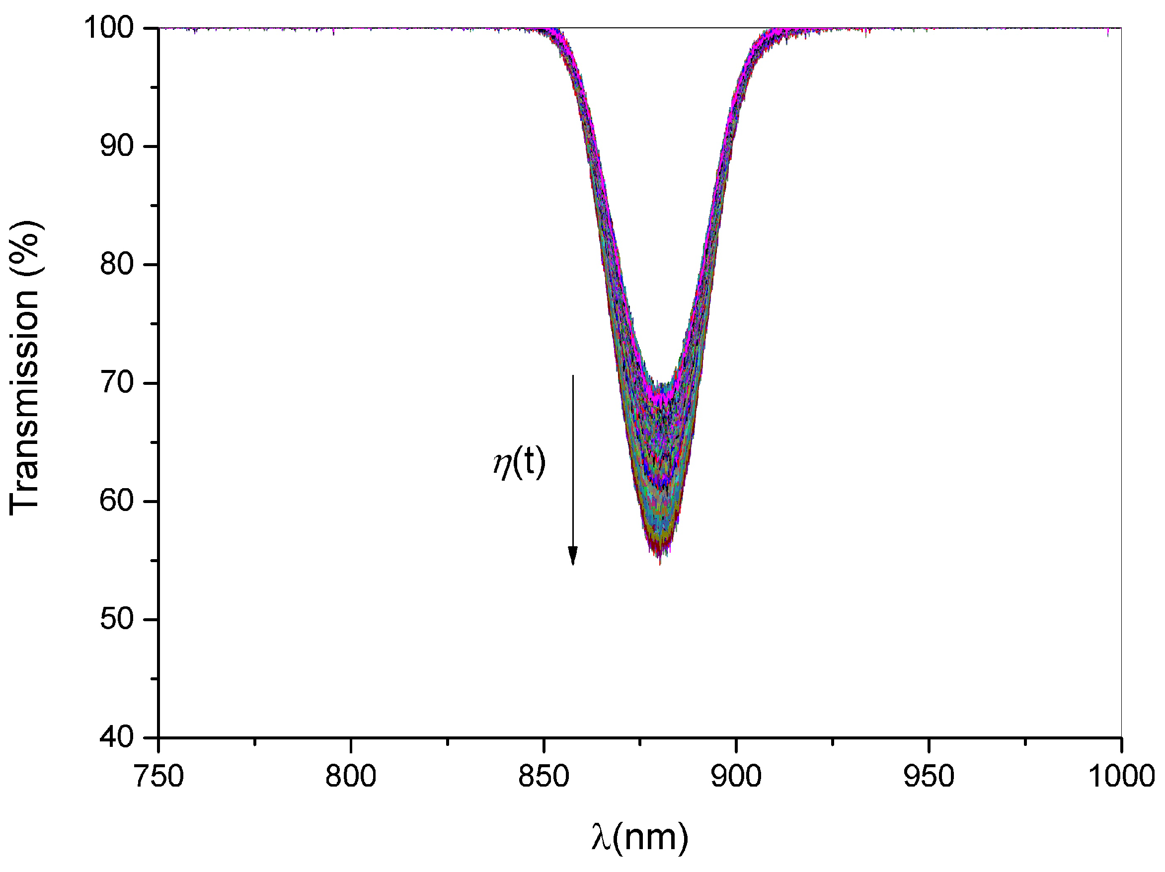
3. Results and Discusssion
4. Conclusions
Author Contributions
Funding
Institutional Review Board Statement
Informed Consent Statement
Data Availability Statement
Acknowledgments
Conflicts of Interest
References
- Lucchetta, D.; Spegni, P.; Di Donato, A.; Simoni, F.; Castagna, R. Hybrid surface-relief/volume one dimensional holographic gratings. Opt. Mater. 2015, 42, 366–369. [Google Scholar] [CrossRef]
- Shishova, M.; Zherdev, A.; Lushnikov, D.; Odinokov, S. Recording of the Multiplexed Bragg Diffraction Gratings for Waveguides Using Phase Mask. Photonics 2020, 7, 97. [Google Scholar] [CrossRef]
- Shishova, M.; Zherdev, A.; Odinokov, S.; Venediktov, V.; Lushnikov, D.; Kim, Y. Selective Couplers Based on Multiplexed Volume Holographic Gratings for Waveguide Displays. Photonics 2021, 8, 232. [Google Scholar] [CrossRef]
- Park, T.H.; Kim, S.M.; Oh, M.C. Polymer-waveguide Bragg-grating devices fabricated using phase-mask lithography. Curr. Opt. Photonics 2019, 3, 401–407. [Google Scholar]
- Lucchetta, D.; Vita, F.; Francescangeli, D.; Francescangeli, O.; Simoni, F. Optical measurement of flow rate in a microfluidic channel. Microfluid. Nanofluidics 2016, 20, 1–5. [Google Scholar] [CrossRef]
- Wu, P.F.; Wu, Z.J.; Zhuang, Y.; Liu, H.L. Holographic grating fabrication for wide angular bandwidth using polymer thin films. Optoelectron. Lett. 2021, 17, 1–4. [Google Scholar] [CrossRef]
- Tomita, Y.; Aoi, T.; Hasegawa, S.; Xia, F.; Wang, Y.; Oshima, J. Very high contrast volume holographic gratings recorded in photopolymerizable nanocomposite materials. Opt. Express 2020, 28, 28366–28382. [Google Scholar] [CrossRef] [PubMed]
- Narita, A.; Oshima, J.; Iso, Y.; Hasegawa, S.; Tomita, Y. Red-sensitive organic nanoparticle-polymer composite materials for volume holographic gratings with large refractive index modulation amplitudes. Opt. Mater. Express 2021, 11, 614–628. [Google Scholar] [CrossRef]
- Liu, H.; Wang, R.; Yu, D.; Luo, S.; Li, L.; Wang, W.; Song, Q. Direct light written holographic volume grating as a novel optical platform for sensing characterization of solution. Opt. Laser Technol. 2019, 109, 510–517. [Google Scholar] [CrossRef]
- Zheng, H.; Zhou, Y.; Ugwu, C.F.; Du, A.; Kravchenko, I.I.; Valentine, J.G. Large-Scale Metasurfaces Based on Grayscale Nanosphere Lithography. ACS Photonics 2021, 8, 1824–1831. [Google Scholar] [CrossRef]
- Vita, F.; Lucchetta, D.E.; Castagna, R.; Criante, L.; Simoni, F. Effects of resin addition on holographic polymer dispersed liquid crystals. J. Opt. Pure Appl. Opt. 2009, 11, 024021. [Google Scholar] [CrossRef]
- Castagna, R.; Nucara, L.; Simoni, F.; Greci, L.; Rippa, M.; Petti, L.; Lucchetta, D.E. An Unconventional Approach to Photomobile Composite Polymer Films. Adv. Mater. 2017, 29, 1604800. [Google Scholar] [CrossRef]
- Shalit, A.; Lucchetta, D.; Piazza, V.; Simoni, F.; Bizzarri, R.; Castagna, R. Polarization-dependent laser-light structured directionality with polymer composite materials. Mater. Lett. 2012, 81, 232–234. [Google Scholar] [CrossRef]
- Lucchetta, D.; Simoni, F.; Hernandez, R.; Mazzulla, A.; Cipparrone, G. Lasing from chiral doped nematic liquid crystal droplets generated in a microfluidic device. Mol. Cryst. Liq. Cryst. 2017, 649, 11–19. [Google Scholar] [CrossRef]
- White, T.J.; Tabiryan, N.V.; Serak, S.V.; Hrozhyk, U.A.; Tondiglia, V.P.; Koerner, H.; Vaia, R.A.; Bunning, T.J. A high frequency photodriven polymer oscillator. Soft Matter 2008, 4, 1796–1798. [Google Scholar] [CrossRef]
- Francescangeli, O.; Lucchetta, D.E.; Slussarenko, S.S.; Reznikov, Y.A.; Simoni, F. Light-controlled anchoring energy in nematic liquid crystals. Mol. Cryst. Liq. Cryst. Sci. Technol. Sect. Mol. Cryst. Liq. Cryst. 2001, 360, 193–201. [Google Scholar] [CrossRef]
- Chang, W.T.; Cheng, C.L.; Li, Y.J.; Wang, T.H.; Kuo, M.Y.; Hsiao, V.K. All-optical switching in holographic polymer dispersed azobenzene liquid-crystal gratings. In Proceedings of the Practical Holography XXIII: Materials and Applications; International Society for Optics and Photonics: Bellingham, WA, USA, 3 February 2009; Volume 7233, p. 72330X. [Google Scholar]
- De Sio, L.; Veltri, A.; Umeton, C.; Serak, S.; Tabiryan, N. All-optical switching of holographic gratings made of polymer-liquid-crystal-polymer slices containing azo-compounds. Appl. Phys. Lett. 2008, 93, 181115. [Google Scholar] [CrossRef]
- Su, Y.C.; Chu, C.C.; Chang, W.T.; Hsiao, V. Characterization of optically switchable holographic polymer-dispersed liquid crystal transmission gratings. Opt. Mater. 2011, 34, 251–255. [Google Scholar] [CrossRef]
- De Sio, L.; Umeton, C.; Serak, S.; Tabiryan, N. Full Optical Control of Holographic Gratings Realized in Composite Materials Containing Photosensitive Liquid Crystals. Mol. Cryst. Liq. Cryst. 2010, 526, 101–107. [Google Scholar] [CrossRef]
- De Sio, L.; Cuennet, J.G.; Vasdekis, A.E.; Psaltis, D. All-optical switching in an optofluidic polydimethylsiloxane: Liquid crystal grating defined by cast-molding. Appl. Phys. Lett. 2010, 96, 131112. [Google Scholar] [CrossRef] [Green Version]
- Tong, X.; Wang, G.; Yavrian, A.; Galstian, T.; Zhao, Y. Dual-Mode Switching of Diffraction Gratings Based on Azobenzene-Polymer-Stabilized Liquid Crystals. Adv. Mater. 2005, 17, 370–374. [Google Scholar] [CrossRef]
- Bang, C.U.; Shishido, A.; Ikeda, T. Azobenzene Liquid-Crystalline Polymer for Optical Switching of Grating Waveguide Couplers with a Flat Surface. Macromol. Rapid Commun. 2007, 28, 1040–1044. [Google Scholar] [CrossRef]
- De Sio, L.; Serak, S.; Tabiryan, N.; Ferjani, S.; Veltri, A.; Umeton, C. Composite Holographic Gratings Containing Light-Responsive Liquid Crystals for Visible Bichromatic Switching. Adv. Mater. 2010, 22, 2316–2319. [Google Scholar] [CrossRef]
- Lucchetta, D.; Vita, F.; Simoni, F. All-optical switching of diffraction gratings infiltrated with dye-doped liquid crystals. Appl. Phys. Lett. 2010, 97, 231112. [Google Scholar] [CrossRef]
- Castagna, R.; Lucchetta, D.E.; Rippa, M.; Xu, J.H.; Donato, A.D. Near-frequency photons Y-splitter. Appl. Mater. Today 2020, 19, 636. [Google Scholar] [CrossRef]
- Fenoll, S.; Brocal, F.; Segura, J.D.; Ortuño, M.; Beléndez, A.; Pascual, I. Holographic characteristics of photopolymers containing different mixtures of nematic liquid crystals. Polymers 2019, 11, 325. [Google Scholar] [CrossRef] [Green Version]
- Stoilova, A.; Mateev, G.; Nazarova, D.; Nedelchev, L.; Stoykova, E.; Blagoeva, B.; Berberova, N.; Georgieva, S.; Todorov, P. Polarization holographic gratings in PAZO polymer films doped with particles of biometals. J. Photochem. Photobiol. A Chem. 2021, 411, 113196. [Google Scholar] [CrossRef]
- Ahmad, A.; Alsaad, A.; Al-Bataineh, Q.M.; Al-Akhras, M.A.H.; Albataineh, Z.; Alizzy, K.A.; Daoud, N.S. Synthesis and characterization of ZnO NPs-doped PMMA-BDK-MR polymer-coated thin films with UV curing for optical data storage applications. Polymer Bull. 2020, 78, 1189–1211. [Google Scholar] [CrossRef]
- Alsaad, A.; Al-Bataineh, Q.M.; Telfah, M.; Ahmad, A.; Albataineh, Z.; Telfah, A. Optical properties and photo-isomerization processes of PMMA–BDK–MR nanocomposite thin films doped by silica nanoparticles. Polymer Bull. 2020, 78, 3425–3441. [Google Scholar] [CrossRef]
- Nedelchev, L.; Ivanov, D.; Blagoeva, B.; Nazarova, D. Optical anisotropy induced at five different wavelengths in azopolymer thin films: Kinetics and spectral dependence. J. Photochem. Photobiol. A Chem. 2019, 376, 1–6. [Google Scholar] [CrossRef]
- Mateev, G.; Stoilova, A.; Nazarova, D.; Nedelchev, L.; Todorov, P.; Georgieva, S.; Trifonova, Y.; Lilova, V. Photoinduced Birefringence in azo Polymer Nanocomposite Films with Embedded Particles of Biologically Aactive MetalL Complexes. J. Chem. Technol. Metall. 2019, 54, 1123–1127. [Google Scholar]
- Loşmanskii, C.; Achimova, E.; Abaskin, V.; Meshalkin, A.; Prisacar, A.; Loghina, L.; Vlcek, M.; Yakovleva, A. QDs doped azopolymer for direct holographic recording. In Proceedings of the International Conference on Nanotechnologies and Biomedical Engineering, Chisinau, Moldova, 3–5 November 2019; Springer: Berlin/Heidelberg, Germany, 2019; pp. 275–278. [Google Scholar]
- Neipp, C.; Taleb, S.I.; Francés, J.; Fernández, R.; Puerto, D.; Calzado, E.M.; Gallego, S.; Beléndez, A. Analysis of the Imaging Characteristics of Holographic Waveguides Recorded in Photopolymers. Polymers 2020, 12, 1485. [Google Scholar] [CrossRef] [PubMed]
- Bugakov, M.; Sakhno, O.; Boiko, N.; Ryabchun, A. Polarization Gratings in Azobenzene-Based Fully Liquid Crystalline Triblock Copolymer. Macromol. Rapid Commun. 2019, 40, 1900412. [Google Scholar] [CrossRef]
- Vorzobova, N.; Sokolov, P. Application of Photopolymer Materials in Holographic Technologies. Polymers 2019, 11, 2020. [Google Scholar] [CrossRef] [Green Version]
- Tien, C.L.; Lin, R.J.; Kang, C.C.; Huang, B.Y.; Kuo, C.T.; Huang, S.Y. Electrically controlled diffraction grating in azo dye-doped liquid crystals. Polymers 2019, 11, 1051. [Google Scholar] [CrossRef] [Green Version]
- Hasebe, S.; Matsuura, D.; Mizukawa, T.; Asahi, T.; Koshima, H. Light-Driven Crystal–Polymer Hybrid Actuators. Front. Robot. AI 2021, 8, 141. [Google Scholar] [CrossRef]
- Koskela, J.E.; Vapaavuori, J.; Ras, R.H.; Priimagi, A. Light-driven surface patterning of supramolecular polymers with extremely low concentration of photoactive molecules. ACS Macro Lett. 2014, 3, 1196–1200. [Google Scholar] [CrossRef]
- Hagiwara, Y.; Taniguchi, T.; Asahi, T.; Koshima, H. Crystal actuator based on a thermal phase transition and photothermal effect. J. Mater. Chem. C 2020, 8, 4876–4884. [Google Scholar] [CrossRef]
- Majidi, C. Soft-matter engineering for soft robotics. Adv. Mater. Technol. 2019, 4, 1800477. [Google Scholar] [CrossRef] [Green Version]
- Naumov, P.; Karothu, D.P.; Ahmed, E.; Catalano, L.; Commins, P.; Mahmoud Halabi, J.; Al-Handawi, M.B.; Li, L. The Rise of the Dynamic Crystals. J. Am. Chem. Soc. 2020, 142, 13256–13272. [Google Scholar] [CrossRef]
- Taniguchi, T.; Asahi, T.; Koshima, H. Photomechanical azobenzene crystals. Crystals 2019, 9, 437. [Google Scholar] [CrossRef] [Green Version]
- Fumoto, T.; Miho, S.; Mise, Y.; Imato, K.; Ooyama, Y. Polymer films doped with fluorescent sensor for moisture and water droplet based on photo-induced electron transfer. RSC Adv. 2021, 11, 17046–17050. [Google Scholar] [CrossRef] [PubMed]
- Azmoudeh, E.; Farazi, S. Ultrafast and low power all-optical switching in the mid-infrared region based on nonlinear highly doped semiconductor hyperbolic metamaterials. Opt. Express 2021, 29, 13504–13517. [Google Scholar] [CrossRef] [PubMed]
- Castagna, R.; Lucchetta, D.E.; Vita, F.; Criante, L.; Simoni, F. At a glance determination of laser light polarization state. Appl. Phys. Lett. 2008, 92. [Google Scholar] [CrossRef]
- Lucchetta, D.E.; Castagna, R.; Simoni, F. Light-actuated contactless macro motors exploiting Bénard–Marangoni convection. Opt. Express 2019, 27, 13574–13580. [Google Scholar] [CrossRef]
- Lucchetta, D.E.; Di Donato, A.; Singh, G.; Tombesi, A.; Castagna, R. Optically tunable diffraction efficiency by photo-mobile holographic composite polymer material. Opt. Mater. 2021, 121, 111612. [Google Scholar] [CrossRef]
- Castagna, R.; Vita, F.; Lucchetta, D.E.; Criante, L.; Simoni, F. Superior-Performance Polymeric Composite Materials for High-Density Optical Data Storage. Adv. Mater. 2009, 21, 589–592. [Google Scholar] [CrossRef]
- Lucchetta, D.E.; Di Donato, A.; Paturzo, M.; Singh, G.; Castagna, R. Light-Induced Dynamic Holography. Micromachines 2022, 13, 297. [Google Scholar] [CrossRef]
- Lucchetta, D.E.; Castagna, R.; Singh, G.; Riminesi, C.; Di Donato, A. Spectral, morphological and dynamical analysis of a holographic grating recorded in a photo-mobile composite polymer mixture. Nanomaterials 2021, 11, 2925. [Google Scholar] [CrossRef]
- Guddala, S.; Ramakrishna, S.A. Optical limiting by nonlinear tuning of resonance in metamaterial absorbers. Opt. Lett. 2016, 41, 5150–5153. [Google Scholar] [CrossRef]
- Guddala, S.; Kumar, R.; Ramakrishna, S.A. Thermally induced nonlinear optical absorption in metamaterial perfect absorbers. Appl. Phys. Lett. 2015, 106, 111901. [Google Scholar] [CrossRef] [Green Version]
- Guddala, S.; Rao, D.N.; Ramakrishna, S.A. Resonant enhancement of Raman scattering in metamaterials with hybrid electromagnetic and plasmonic resonances. J. Opt. 2016, 18, 065104. [Google Scholar] [CrossRef]





Publisher’s Note: MDPI stays neutral with regard to jurisdictional claims in published maps and institutional affiliations. |
© 2022 by the authors. Licensee MDPI, Basel, Switzerland. This article is an open access article distributed under the terms and conditions of the Creative Commons Attribution (CC BY) license (https://creativecommons.org/licenses/by/4.0/).
Share and Cite
Castagna, R.; Di Donato, A.; Francescangeli, O.; Lucchetta, D.E. Optically Tunable Diffraction Efficiency in Reflection Grating Written in Photomobile Polymers. Photonics 2022, 9, 751. https://doi.org/10.3390/photonics9100751
Castagna R, Di Donato A, Francescangeli O, Lucchetta DE. Optically Tunable Diffraction Efficiency in Reflection Grating Written in Photomobile Polymers. Photonics. 2022; 9(10):751. https://doi.org/10.3390/photonics9100751
Chicago/Turabian StyleCastagna, Riccardo, Andrea Di Donato, Oriano Francescangeli, and Daniele Eugenio Lucchetta. 2022. "Optically Tunable Diffraction Efficiency in Reflection Grating Written in Photomobile Polymers" Photonics 9, no. 10: 751. https://doi.org/10.3390/photonics9100751
APA StyleCastagna, R., Di Donato, A., Francescangeli, O., & Lucchetta, D. E. (2022). Optically Tunable Diffraction Efficiency in Reflection Grating Written in Photomobile Polymers. Photonics, 9(10), 751. https://doi.org/10.3390/photonics9100751

