Abstract
Non-orthogonal multiple access (NOMA) is an effective multiple access scheme that can be used to improve considerably the spectral efficiency of indoor downlink visible light communication (VLC) systems. However, NOMA suffers from inevitable multi-user interference which degrades the system performance. In this paper, a NOMA scheme is applied in a downlink VLC system and the impact of the multi-user interference on the system performance is studied. A closed-form expression for the user symbol error rate (SER) is derived and a decoding-order-based power allocation (DOPA) method is proposed to reduce the multi-user interference and find the optimal power allocation that minimizes the SER. The significance of the proposed schemes is demonstrated by simulation. The results show that the proposed DOPA method is able to reduce effectively the multi-user interference and provide more sum rate in comparison with benchmarking schemes such as the gain ratio PA (GRPA) and the normalized gain difference PA (NGDPA) methods.
1. Introduction
Visible light communication (VLC) is one of the most promising technologies that is attracting more attention as the demand for wireless data communication continues to increase. As the radio frequency (RF) spectrum is becoming more and more saturated, RF-based technologies, such as cellular networks and Wi-Fi, will no longer keep up with the growing demand for more data rate [1]. In contrast, VLC systems occupy the license-free light spectrum which is out of the RF spectrum and can provide a much wider bandwidth spanning approximately from 400 THz to 800 THz [2,3,4]. VLC is an alternative technology for indoor wireless communications which is expected to be an integral part of the future wireless networks, such as networks used beyond 5G, due to its energy efficiency and its ability to achieve high data rates [5,6]. Although the most potential applications of VLC are in indoor scenarios, VLC has many promising applications in outdoor environments such as vehicular VLC (V-VLC) as an alternative vehicular access solution to RF-based vehicular communications [7,8,9].
In order to realize a multi-user VLC system, a multiple access (MA) scheme is required. Many MA schemes have been proposed for VLC such as time division multiple access (TDMA) [10], space division multiple access (SDMA) [11], code division multiple access (CDMA) [12], and orthogonal frequency division multiple access (OFDMA) [13]. One of the recently proposed MA schemes is the non-orthogonal multiple access (NOMA) which is characterized by its high spectral efficiency and its ability to support more users [14,15,16,17].
The essence of NOMA is to exploit the power domain to squeeze more users in the same time-frequency (TF) resources. Hence, a significant increase in the system capacity can be achieved but at the cost of increasing the multi-user interference and the complexity of the receiver. NOMA employs a multi-user detection (MUD) technique such as successive interference cancellation (SIC) to eliminate the multi-user interference and decode the desired signal.
Power allocation (PA) plays an important role in the performance of NOMA. Hence, a suitable PA method with low complexity is required to exploit the power domain optimally. Recently, several PA methods for NOMA have been proposed. For example, one of the low-complexity PA methods is the fractional transmission PA (FTPA) [18]. In FTPA, the powers are allocated to the users based on their channel gains.
1.1. Related Work and Motivation
Recently, NOMA has been proposed for VLC to enhance the spectral efficiency of the system. In [19], NOMA has been applied in a VLC system and a gain ratio PA (GRPA) strategy has been proposed. It was demonstrated that the performance of the system can be improved by tuning the transmission angle of the light emitting diode (LED) and the field of view (FOV) of the receiver. In [20], the performance of NOMA in an indoor 2 × 2 multiple input multiple output (MIMO) VLC system has been investigated, and a normalized gain difference PA (NGDPA) method has been proposed to improve the achievable sum rate of the system. The authors in [21] proposed an enhanced PA (EPA) method for maximizing the sum rate of an OFDM-NOMA VLC system with an arbitrary number of multiplexed users. In [22], the authors propose a low-complexity PA scheme, called simplified gain ratio power allocation (S-GRPA), for NOMA-based indoor VLC systems. In S-GRPA, the users’ channel gains are obtained by a lookup-table method to reduce the complexity and GRPA is used as the PA method. In [23], a low-complexity PA called a simple fair power allocation strategy (SFPA) was proposed to ensure a fair distribution of transmission capacity in a multi-user scenario. SFPA shows robustness to channel estimation errors. The performance of SFPA was compared to other PA methods. Although SFPA offers the highest fairness among the other methods, NGDPA outperforms SFPA in terms of the average sum rate.
The bit error rate (BER) performance of a downlink VLC with NOMA has been analyzed in [24] considering both perfect and imperfect channel state information (CSI). NOMA with OFDM has been applied to an indoor VLC system and its superior performance over OFDMA was demonstrated in [25]. In [26], the authors have derived closed-form expressions for the system coverage probability and the ergodic sum rate. Moreover, the probability that NOMA has higher individual rates than OMA has also been derived. In [27], it has been shown that the LED driving power, which ensures the same quality of service for each user, is lower for NOMA than OMA. In [28], a simple user pairing scheme for NOMA-based VLC systems has been proposed. The superiority of NOMA over conventional OMA has been shown. A flexible-rate SIC-free NOMA technique is considered in [29] for downlink VLC systems, using uneven constellation demapping (UCD) and constellation partitioning coding (CPC).
In [30], a convex optimization is applied to NOMA-based VLC system for downlink transmission in terms of the bit error rate (BER) and the sum-rate. The authors in [31] have proposed and demonstrated a real-time software reconfigurable dynamic power-and-subcarrier allocation scheme for OFDM-NOMA in VLC systems. In [32], an offset QAM/OFDM combined with NOMA (OQAM/OFDM-NOMA) modulation scheme is employed in an asynchronous multi-user multi-cell VLC system with experimental demonstratation. In [33], inter-cell interference mitigation is considered in a dimming-aware way for multi-cell NOMA-VLC systems through efficient time-scheduling, scaling, and coordination of NOMA transmissions at the access points. In [34], error analysis is presented for a downlink power-domain NOMA-based VLC system with high-order square quadrature amplitude modulation (QAM) schemes where imperfect SIC is considered.
Most of the existing NOMA VLC studies assume perfect SIC and ignore the serious effect of the multi-user interference on the system performance. This could lead to an inaccurate and impractical analysis on such systems, as multi-user interference is inevitable in NOMA-based VLC systems. Reducing the multi-user interference can be achieved by a careful PA. In this paper, we provide a theoretical analysis of the multi-user interference and user symbol error rate (SER) in NOMA-based VLC systems. Furthermore, we propose a low-complexity PA method that meets NOMA requirements for VLC systems and reduces the multi-user interference.
1.2. Contributions
In this paper, a NOMA scheme is applied in a downlink VLC system. The performance of the system is analyzed and evaluated in terms of the user SER. The main contributions of this paper are summarized as follows:
- (1)
- SER Analysis: An exact closed-form expression for the user SER in a NOMA-based VLC is derived with imperfect SIC. The pulse amplitude modulation (PAM) is considered. The derived expressions are validated through computer simulations.
- (2)
- Power Allocation: A decoding-order-based PA (DOPA) method is proposed which reduces the multi-user interference and satisfies all the PA constraints of NOMA-based VLC. In addition, the optimal PA, which mitigates the multi-user interference and minimizes the error during SIC, is found. The performance of DOPA is compared with GRPA and NGDPA.
- (3)
- Multi-user interference Effect: The impact of the multi-user interference on the performance of NOMA-based systems and the role of PA in controlling the multi-user interference are shown.
- (4)
- Sum-rate Improvement: The contribution of DOPA in the sum rate performance is illustrated compared with GRPA and NGDPA.
1.3. Paper Organization
The rest of this paper is organized as follows. In Section 2, the system model of VLC propagation is described. Section 3 discusses management of inter-group interference for multiple users in NOMA VLC system. In Section 4, the concept of NOMA-based VLC system is illustrated. Then, Section 5 introduces the SER performance analysis. The proposed DOPA is introduced in Section 6. The performance evaluation of the proposed scheme with simulation results are presented and discussed in Section 7. Finally, the conclusion is given in Section 8.
2. System Model
We consider a downlink VLC network composed of multiple optical APs given by , serving , users distributed on the receiving plane as shown in Figure 1. In this paper, NOMA is proposed as a multiple access scheme, and therefore, the K users must be divided into multiple groups given by , each with multiple users given by , grouped based on the difference in the channel gain. In this context, the received signal of user served by L optical APs regardless of the transmission scheme, i.e., NOMA, is
where is the channel vector between the L optical APs and user belonging to group , and is the signal transmitted to user . Moreover, and are interference signals received due to transmission to user belonging to the same group g and to user belonging to the adjacent group , respectively. Finally, is defined as background noise given by the sum of thermal and shot noise [35].
Figure 1.
A VLC attocell with a single LED and two users.
In the work, we propose the implementation of NOMA to manage the interference among users of the same group, while inter-group interference is avoided by considering orthogonal or blind interference alignment (BIA) transmission schemes. It is worth mentioning that, the distribution of users and the channel coherence time are known to the VLC network through the uplink transmission, which can be established using frequency other than the optical one. In the following the optical channel is derived.
Indoor VLC Propagation Model
The main parameters of the indoor VLC attocell with a single LED are shown in Figure 1. The vertical distance from the LED to the receiving plane is denoted by L, the horizontal distance from the center point to user k is denoted by , and the direct distance from the LED to user k is denoted by . The semi-angle of the LED is and the FOV of user k is . The irradiance and incidence angles are denoted by and , respectively.
The optical channel gain for user k is given by [35]:
where is the order of Lambertian emission; is the effective area of the photodetector (PD); is the optical filter gain; and is the gain of the optical concentrator with a refractive index n. Since we assume that the users directly face the ceiling of the room, the irradiance angle and the incidence angle are equal. Therefore, the optical channel gain of the line-of-sight (LOS) link can be expressed as a function of as:
where .
3. Inter-Group Interference Management
The performance of the NOMA systems can be improved by user pairing into groups based on their channel conditions [36]. Considering the implementation of NOMA, multiple users are divided into multiple groups as in [37]. Basically, an algorithm referred to as next-largest-difference user pairing (NLUPA) is implemented in which the users are sorted in ascending order from lower to higher channel gains as . After that, each user with lower channel gain is grouped with a strong user. It it worth mentioning that, the efficiency of the groping algorithm is determined based on the channel gain difference among the users of the same group.
In this work, we assume that K users are divided into G groups, each is composed of , , users as in [37]. The aim of this section is addressing interference management among multiple groups. Orthogonal transmission schemes can be easily implemented where different time or frequency slots are assigned to different groups, and therefore, inter-group interference can be managed as noise. However, this way leads to limit the capacity of the VLC network. In [38], BIA was implemented for RF networks to manage the interference among multiple users maximizing the multiplexing gain. In [39,40], BIA is considered for VLC networks to minimize CSI at transmitters, which is difficult to provide in RF or VLC networks. It is shown that BIA provides high performance for VLC networks compared with zero forcing (ZF) or maximum ratio combining (MRC) schemes. In [41], BIA is adopted to manage the inter-group interference in a MISO RF scenario avoiding the limitations of orthogonal transmission schemes.
In the following, the methodology of BIA is defined first for a simple VLC scenario for the sake of easy understanding, and then, the VLC general case is considered.
3.1. Motivational Example
For illustrative purposes, we consider an example comprises optical APs serving users. The users are divided into groups, each with users. Notice that, the purpose of this example is managing the interference among multiple groups considering BIA, and therefore, the following notations and equations are derived regardless of NOMA, which is presented in Section 4 managing the intra-group interference. Basically, the transmission based on BIA occurs over a block named supersymbol, which comprises multiple symbol extensions, i.e., time slots. The supersymbol of BIA for this particular example is composed of 4 times slots as shown in Figure 2. That is, the transmitted signal can be expressed as
where is the signal transmitted over the time slot n, and are identity and zero matrices, respectively. Moreover, is the symbol transmitted to users belonging to group g, . Furthermore, and are the power allocated and the precoding matrix of group g, respectively. Notice that, over the supersympol that comprised 4 time slots, a resource block composed of two time slots, i.e., each time slot corresponds to one transmitter, allocated to each group. Focussing on group 1, i.e., , the first and second time slots form the resource block selecting and , respectively. Therefore, the received signal, for example, by user 1 is given by
Figure 2.
The supersymbol of BIA for a VLC network with transmitters and groups.
Notice that, the users of group 1 receive their information over the first and second time slots, and therefore, the interference between them must be managed based on NOMA. Moreover, they receive interference over the first time slot due to transmission to adjacent groups 2 and 3. Based on BIA, orthogonal transmission is carried out over second, third and fourth time slots as in (5). Therefore, the users of group 1 can dedicate the third and fourth time slots to measure the interference received over the first time slot. That is, the signal received by user 1 after interference subtraction is given by
Notice that, user 2 of group 1 follows the same procedure. As a result, the symbols transmitted to the users of group 1 can be decoded where the interference among groups is aligned and subtracted. It is worth mentioning that, over a supersymbol comprised 4 time slots, 2 DoF can be achieved by group 1. The groups 2 and 3, following the same methodology above, can achieve 2 DoF each. Therefore, for the considered example, the sum DoF equals considering the number of users that form each group. However, applying NOMA, there is a certain level of interference among the users of the same group that must be taken into consideration, which is the aim of this work, in order to further enhance the performance of the VLC network.
3.2. General Case
According to [38], the supersymbol of BIA is divided into two blocks referred to as Block 1 and Block 2. In the example above, Block 1 is given by the first time slot, while Block 2 is formed by the second, third and fourth time slots.
Let us consider a general case in which L optical APs serving K users divided into G groups. In contrast to BIA in [38], in this work, the supersymbol of BIA is given by the number of transmitters and groups as in [41]. In Block 1, all groups receive their information simultaneously generating sever inter-group interference. Therefore, Block 1 comprises time slots. In Block 2, orthogonal transmission is carried out in order to give the users of each group enough dimensions to measure the interference received over Block 1. Therefore, Block 2 comprises time slots. As a result, resource blocks are allocated for each group. Notice that, the first time slots of each resource block allocated for each group are provided over Block 1, while the last time slot is provided over Block 2. To conclude, the length of the supersymbol of BIA implemented for inter-group interference mitigation is given by
The methodology of BIA is explained in more details in [38].
4. NOMA-Based VLC
As in [37], the users are divided into multiple groups, each with strong and weak users. In NOMA, two main processes must be considered. Firstly, superposition coding (SC) at transmitters where two different levels of power are assigned to the signals of the strong and weak users through an appropriate PA method. These signals are then superposed into a single signal representing the instantaneous electrical current that drives the transmitter.
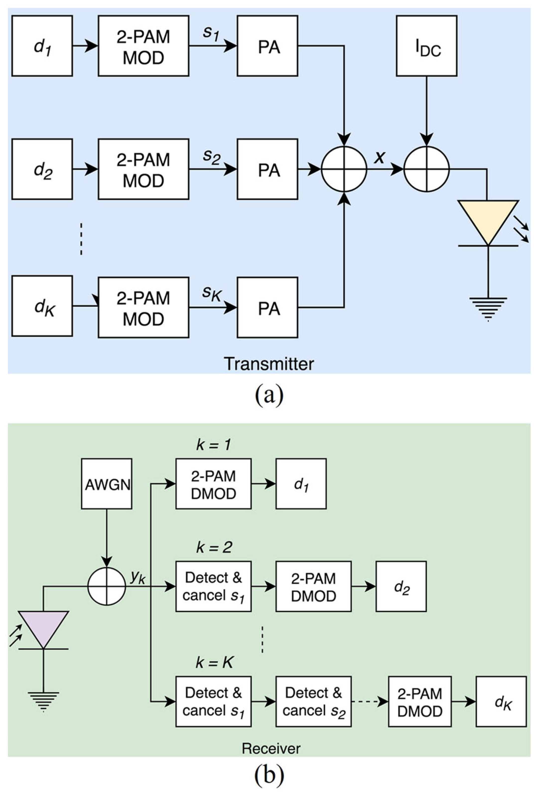
Secondly, performing SIC at the users side giving each user the ability to cancel the interference received due to the transmission to users with lower channel gains. In SIC, the strong users decode the signals with high power and subtract them from the received signal unit the desired signal is decoded. Both SC and SIC are conducted in the electrical domain. In Figure 3, the concept of NOMA in a VLC system is summarized.
Figure 3.
The concept of a NOMA-based VLC system: (a) Transmitter (b) Receiver.
The instantaneous electrical current that drives optical transmitters is given by:
where is the power allocation factor and is a DC current to ensure that the total current is unipolar. Here, is assumed to be a vector that contains the symbols transmitted to the group over resource blocks allocated from BIA implemented to align the interference among multiple groups.
The optical transmitted signal is given by [26]:
where is the efficiency of the transmitter to convert the electrical current to optical power (W/A). The received signal by user belonging to group g after canceling the inter-group interference is given by :
where contains the symbols transmitted to group g over the resource block ℓ. Notice that, resource blocks allocated to each group due to the implementation of BIA. Although, in (10) the inter-group interference is canceled, user is subject to multi-user interference resulted from applying NOMA. In the following, this issue is addressed in more details aiming to enhance the performance of NOMA.
Multi-User Interference in NOMA
From now on, without loss of generality, we focus on a generic group and eliminate the index of the group for the sake of simplicity. To explain the multi-user interference in NOMA, the received signal in (10) is rewritten as:
where and is the PD responsivity. There are two types of user interference in NOMA systems in (11); the interference from users with lower decoding order, i.e., users with higher powers, and the interference from users with higher decoding order, i.e., users with lower powers. The first type should be successfully canceled during SIC process, while the second type can be considered as noise. The interference can be controlled through the PA process. To ensure the success of SIC, the power of the signal to be decoded should be higher than the power of the second-type interference plus noise. Otherwise, the interference could become severe and leads to unsuccessful SIC, which results in a potential performance degradation. On the other hand, the powers of the signals with higher decoding orders should be high enough to be distinguished from the noise. Consequently, there is a trade-off between reducing the interference to decode the first-user signal and reducing the effect of the noise to decode the second-user signal. In other words, the higher the power allocated to the first user the less interference from the second user. However, the effect of AWGN on the second-user signal will be increased.
5. SER Analysis
Typically, VLC can be realized as an intensity modulation/direct detection (IM/DD) system [42], which requires that the modulated signal has to be both real-valued and non-negative (unipolar). Hence, more efficient modulation schemes, such as QAM cannot be directly implemented for IM/DD because they are complex-valued and bipolar in nature. Optical orthogonal frequency division multiplexing (O-OFDM) systems are the most commonly utilized solution [43]. In O-OFDM, a real-valued time-domain signal is obtained at the expense of a 50% reduction of the spectral efficiency due to Hermitian symmetry constraint. A unipolar time-domain signal can then be obtained by adding a positive DC to the OFDM signal, such as in the DC-biased O-OFDM (DCO-OFDM) [44], or using techniques that obtain a unipolar time-domain signal such as in asymmetrically clipped O-OFDM (ACO-OFDM) with a further 50% reduction of the data rate [44].
In this work, PAM with DC-biasing is adopted as a modulation scheme to avoid the reduction in spectral efficiency imposed by the requirements of using higher-order modulation schemes in VLC systems. In this section, we derive SER expressions for the users in NOMA-based VLC systems. First, we derive the SER expressions when the modulation scheme for both users is 2-PAM. Then, we generalize the derivation for M-PAM.
5.1. Derivation of First User SER
In NOMA systems, the signal constellation corresponding to the signal of user k can be expressed by the vector , where is the symbol m for user k and M is the total number of symbols. Figure 4 shows the constellations of both users and the superposed signal in a 2-user NOMA system with 2-PAM signaling. , and , where and are the power allocation factor and the maximum energy per symbol before the PA, respectively. The signal constellation corresponding to the superposed transmitted signal (x) consists of four constellation points, i.e., , where , , , and . The symbols , , , and are assumed to be equally probable, i.e., .
Figure 4.
The signal constellation of: (a) weak user (), (b) strong user (), and (c) superposed transmitted signal (x).
The received symbol can be expressed as:
where is the total channel gain and the signal . Since the noise n is assumed to be zero-mean AWGN with variance, i.e., , the probability density function (PDF) of is given by:
where is the mean and is the variance. We assume that is previously known at the receiver. Hence, equalization is performed by dividing the received symbol by , then:
where is the additive Gaussian noise scaled by the total channel gain. The conditional PDF of the equalized received signal given was sent is given by:
where . Similarly,
The optimal decision threshold for the maximum likelihood (ML) receiver of the first user is . Therefore, the ML receiver should detect the symbol if either or was sent. Similarly, it should detect the symbol if either or was sent.
Figure 5 shows the conditional PDF of the received signal given was sent and the conditional PDF of the received signal given was sent. The dark region represents the probability of error.
Figure 5.
The conditional PDF (a) . (b) . The dark region represents the probability of error.
Therefore, the probability of error given was sent is given by:
where , , and is the Q-function defined by . Similarly, the probability of error given was sent is given by:
where .
The SER for the first user can be expressed as:
Since the constellation of x is symmetric, then
, and . Therefore, (19) can be reduced to:
5.2. Derivation of Second User SER
For the sake of the second user, since it is required to cancel the interference comming from the signal of the first user, the SER of the second user depends on whether the first user symbol was successfully detected or not. Therefore, the SER for the second user can be calculated as:
where is the SER for the second user to detect the signal of the first user and is the SER for the second user to detect its own signal after detecting the signal of the first user successfully. In (22), we consider the worst-case scenario in which the second user cannot decode its signal successfully whenever the signal of the first user was unsuccessfully detected. can be calculated in a similar way to (21). Therefore:
After canceling the interference from the signal of the first user successfully, the second user will detect its signal as if there is no interference. Therefore, can be calculated easily as:
5.3. Derivation of General SER Expression
The general case for high order PAM schemes can be derived following the same fashion proposed in Section 5.1 and Section 5.2. Let and be the modulation orders for user 1 and user 2, respectively. The symbols alphabet for user 1 could be represented as
Similarly, The symbols alphabet for user 2 could be represented as
Therefore, user 1 and user 2 symbols can be expressed as
where is a normalization factor. The signal constellation corresponding to the superposed signal (x) consists of constellation points. The superimposed symbol is expressed as follows:
Figure 6 shows the constellations of both users and the superposed signal when both users have 4-PAM signaling. The vertical lines represent the boundaries of the decision regions for user 1.
Figure 6.
Signal constellation when both users have 4-PAM. (a) user 1, (b) user 2, and (c) superposed signal (x).
To calculate the SER for user 1, we follow the same procedures in Section 5.1 to find and exploit the constellation symmetry around the y-axis to reduce the calculations. Thus, we need only to calculate the error probability for the symbols on the right-hand side or left-hand side. To further reduce the calculations, the symmetry of the error probability of some symbols in the decision region can be exploited. For example, in 4-PAM case = and = . Therefor, the general expression for SER for user 1 can be expressed as:
where and .
The SER for user 2 in the general case can be calculated following same procedures in Section 5.2. Equation (22) is still applicable for determining in the general case, but the terms and need to be updated. can be calculated in a similar way to (30). Therefore:
After canceling the interference from user 1 signal, the second user will decode its signal as if there is no interference. Therefore, can be calculated easily as:
6. Power Allocation in NOMA
In NOMA systems, the users are multiplexed in the power domain, hence, the power allocated to each user should be carefully determined. For PA in NOMA-based VLC systems, two main power constraints should be satisfied: the first constraint is requires that the total power should be kept constant since the light sources in VLC systems are used for both illumination and data transmission, i.e., . The second constraint is that the powers allocated to the users with lower decoding order, i.e., lower channel gains, should be greater than the powers assigned to the users with higher decoding order, i.e., higher channel gains. In other words, NOMA users are allocated with power levels inversely proportional to their channel gain, i.e., . This constraint is to ensure successful decoding during SIC [45].
Since the indoor VLC attocells have small coverage area and due to the fact that the users may have the same horizontal distance, the users in an attocell typically have close or similar channel gains [46]. Although the performance of NOMA is degraded when the channel gains are close or similar, it is shown that NOMA can always increase the sum rate of VLC systems even if the users have similar channel gains. However, using NOMA for pairing users with close or similar channel gains may increase the effect of multi-user interference on decoding the signals of the users.
To solve the previous issue, we propose a low-complexity PA method that guarantees different powers allocated to the users in all cases even if the users have similar channel gains. The proposed PA method is a decoding-order-based PA (DOPA) in which the powers are allocated to the users based on their indices in the decoding order and their channel gains. In DOPA, the power allocated to user k is given by:
where is an optimization parameter that should be predetermined to maximize the target performance metric such as the system sum rate, the fairness among the users or the energy efficiency. The powers allocated to the users with DOPA satisfy the following constraints:
- and
The first point represents the first PA constraint in NOMA-based VLC. The sum of all powers allocated to the users using DOPA can be calculated as:
Let and , then:
Therefore, the total power of DOPA is always constant. The second point states that the powers allocated to the users by DOPA are distinctive and follow the optimal decoding order, i.e., . Using (34), can be calculated by:
Since is given and , it is clear from (40) that is always greater than for all possible values of and as long as . Therefore, the proposed DOPA satisfies the PA constraints of NOMA-based VLC.
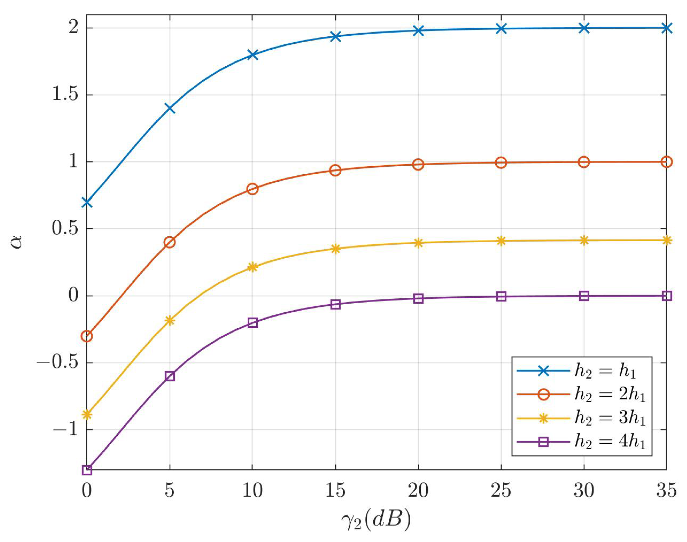
Figure 7 shows the PA coefficients of the first user () and the second user () using DOPA with different values of the optimization parameter (). Whether the users have similar or different horizontal distances, i.e., similar or different channel gains, the power allocated to is always higher than the power allocated to except when both users have similar horizontal distances and . As increases, the powers allocated to the users become more distinct. However, for high values of , the power of becomes very low. Consequently, becomes more susceptible to the AWGN. Therefore, the value of should be determined carefully.
Figure 7.
PA coefficients using DOPA with the optimization parameter.
The optimal value of that minimizes is infinity since reduces as the power allocated for the first user is increased. On the other hand, to get the optimal value of the optimization parameter that minimizes the SER of the second user in a 2-user NOMA, the previous SER analysis is used. The problem can be formulated as follows:
where is given by (25). Using in (34), we obtain:
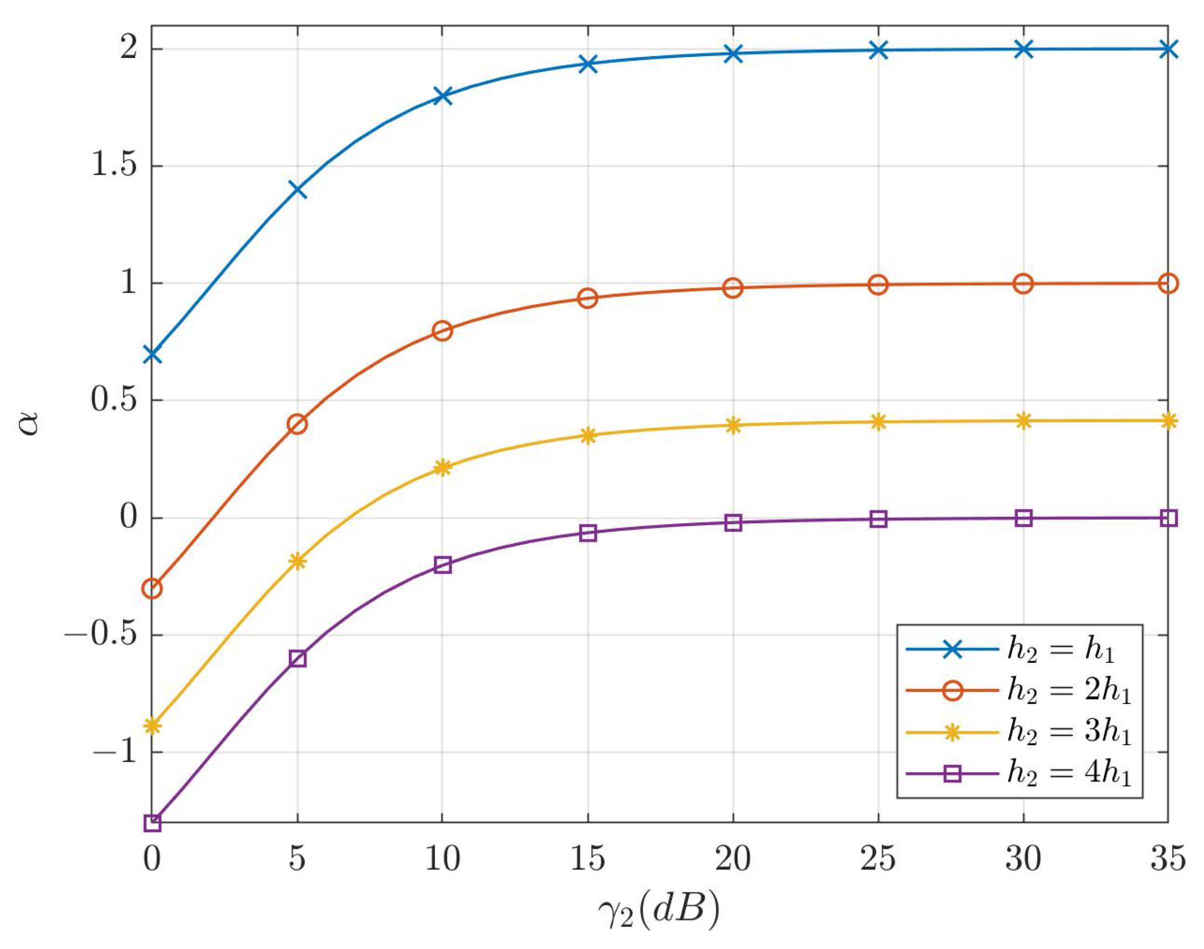
Although the problem (43) cannot be solved easily by setting the first derivative (with respect to ) of (43) equal to zero and finding the solution of the resulting equation, it is convex and can be solved numerically or using optimization software. Figure 8, presents the optimal values of that minimize . The Golden Section Search and Parabolic Interpolation algorithm [47] are used to find that satisfies (43). As can be seen, the optimal value of for high is almost fixed. For example, when , , and when , .
Figure 8.
Optimal values of the optimization parameter that minimize .
It is worth noting that both GRPA, NGDPA, and proposed DOPA depend on the channel gains of the users, which can be obtained through channel estimation. In the proposed DOPA, the decoding order of the users is included to guarantee different powers allocated to the users. Moreover, the proposed DOPA is more flexible than GRPA and NGDPA since it has the optimization parameter which could be predetermined for minimizing the symbol error rate or maximizing the target performance metric, such as the system sum rate, the fairness, or the energy efficiency.
In terms of complexity, both GRPA, NGDPA, and proposed DOPA with fixed have nearly the same complexity. For the optimal , the complexity of the proposed DOPA increases depending on the applied optimization algorithm to find optimal . Nonetheless, the complexity of the proposed DOPA, in this case, can be significantly reduced by pre-determining the values for different SNR values and channel gain differences. Then, the predetermined values can be stored in lookup tables instead of optimizing during runtime.
7. Performance Evaluation
In this section, analytical and simulation results are presented for the SER performance of a NOMA-based VLC system. DOPA is compared with GRPA and NGDPA. Table 1 displays the simulation parameters.
Table 1.
Simulation Parameters.
The simulation for SERs computation is performed as follows. First, a frame of 1000 uniformly-distributed random symbols is generated for each user. Then, the generated symbols are modulated using M-PAM, depending on the modulation order of each user. After that, the modulated signals are normalized and the PA is applied to the normalized signals. Then, the signals are superimposed into one signal and the channel effect is added to the superimposed signal depending on the signal-to-noise ratio (SNR). User 1 signal is demodulated directly from the received signal. In the case of User 2, SIC is performed on the received signal by decoding User 1 signal and then subtracting it from the received signal. Then, User 2 signal is demodulated from the resulting signal. The demodulated signals are compared to the corresponding generated signals and the errors are computed. Finally, the above steps are repeated for 1000 iterations and the cumulative errors are used to find the SER for each user.
7.1. SER Evaluation
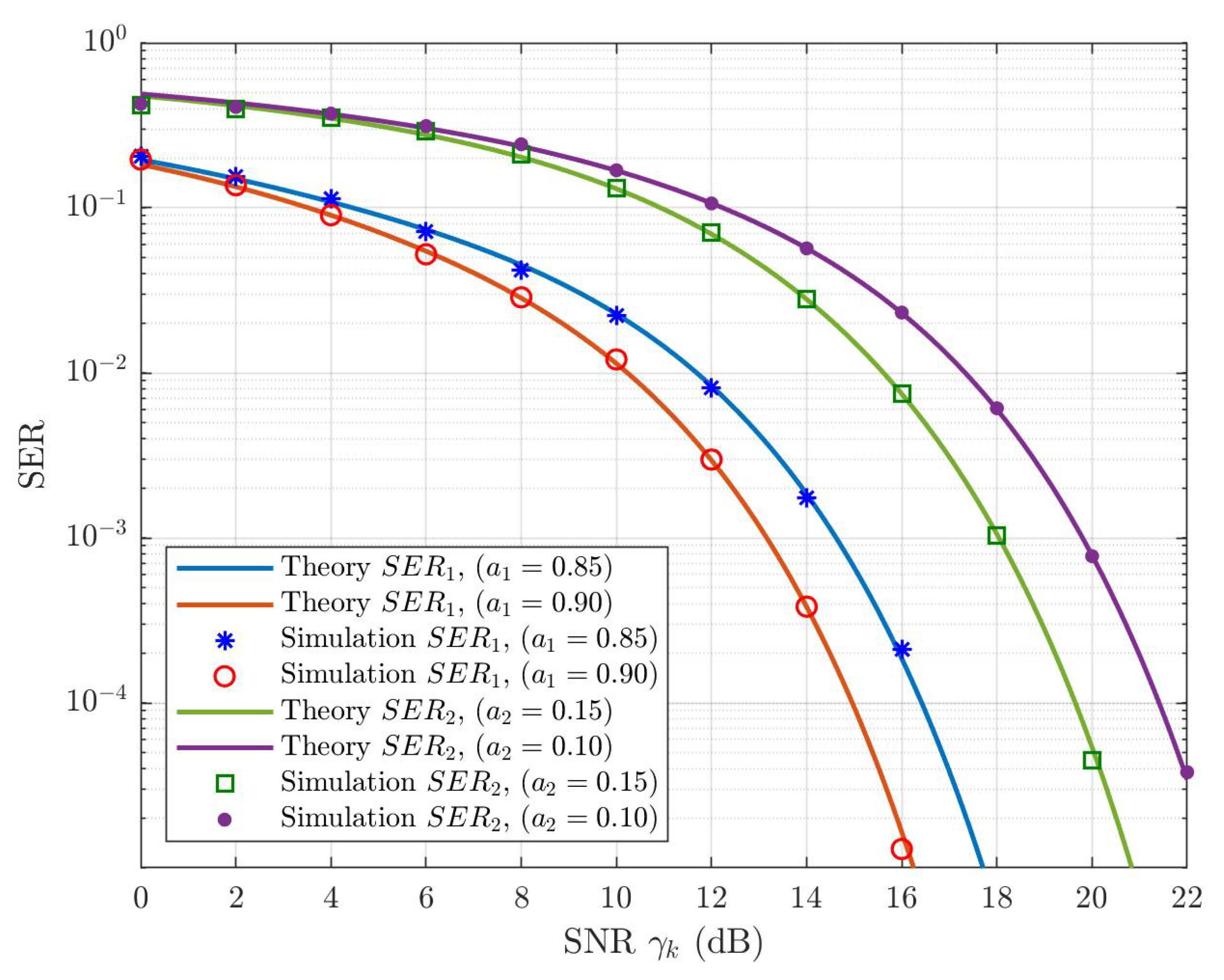
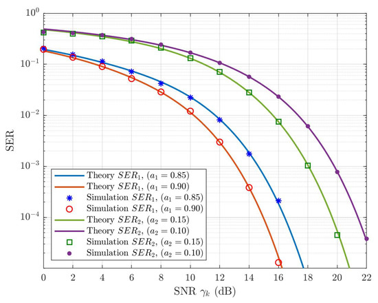
In Figure 9, theoretical and simulated SER of two users, and , in a NOMA-based VLC system are plotted in two cases. In the first case, the power allocation coefficients of and are and , respectively, while in the second case and . From Figure 6, it is obevious that simulation outcomes match well with theoretical analysis, which validates and confirms the derived SER expressions. Moreover, it can be observed that the SER of is higher than the SER of at the same SNR value because the power allocated to is lower and needs to decode signal first before decoding its own signal.
Figure 9.
Theoretical and simulated SER of two users in a NOMA−based VLC system.
Figure 10 and Figure 11 show the comparison of DOPA, GRPA, and NGDPA in terms of and , respectively. When both users have similar channel gains, GRPA allocates equal power level to both users. Hence, the interference generated by the second user on the first user is very high and cannot be neglected. Similarly, the second user cannot successfully cancel the interference inserted by the first user. This explains the bad performance of GRPA in this case for both users. On the other hand, NGDPA allocates zero power to the second user when both users have similar channel gains. In this case, there is no interference at the first user which explains its good performance. However, the second signal is lost. Unlike GRPA and NGDPA, DOPA offers better performance for both users because it allocates different non-zero power levels to the users.
Figure 10.
using DOPA, GRPA and NGDPA. for similar channel gains and for different channel gains.
Figure 11.
using DOPA, GRPA and NGDPA. for similar channel gains and for different channel gains.
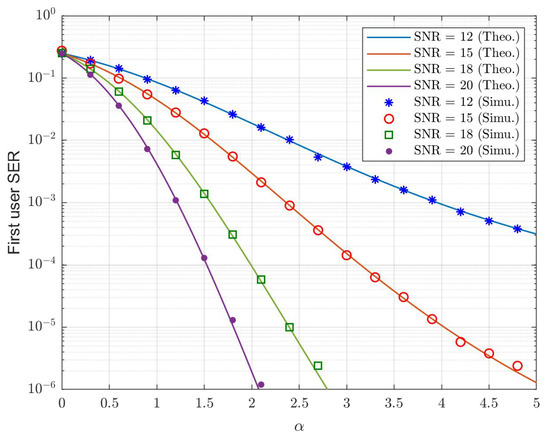
Figure 12 shows how the SER of varies with at different SNR values. Without loss of generality, the horizontal distances of the users are assumed to be m (i.e., both users are on the circumference of a circle with a radius r of ). From Figure 12, as increases, is decreased. This is because of that the higher the value of , the higher the power allocated to and the lower the power allocated to , which means the multi-user interference is decreased. Therefore, is also decreased. Moreover, decreases as the SNR increases and the value of that gives a specific is also decreased. For example, when the SNR is 15 dB, the value of is about 3.2 to achieve of , whereas the value of is about 2 when the SNR is 18 dB to achieve the same .
Figure 12.
with at different SNR values.
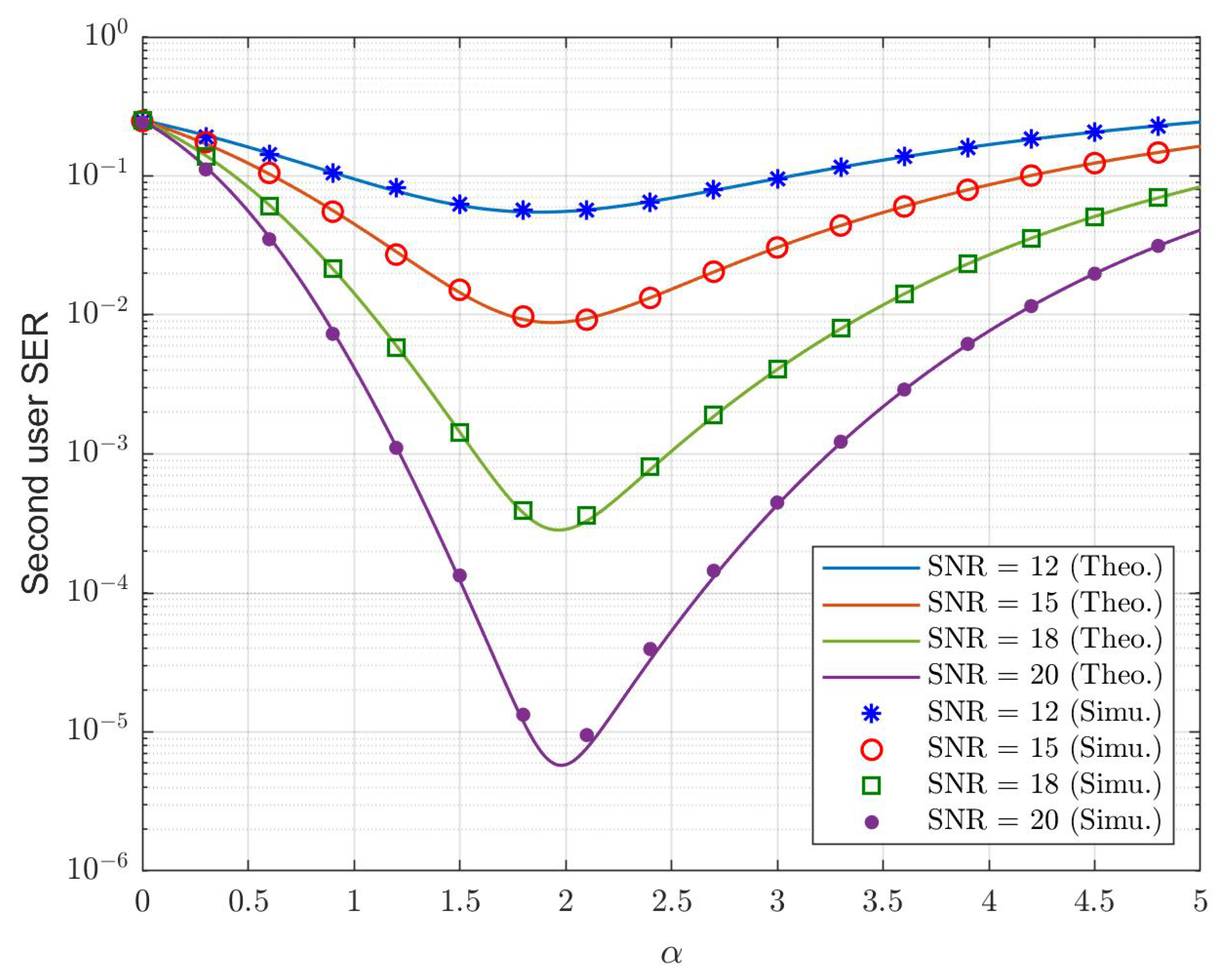
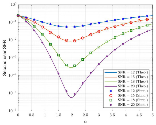
Figure 13, shows how the SER of varies with at different SNR values. As the value of increases, the starts to decrease until it reaches a minimum value and then increases again. When the SNR value increases, the decreases faster and reaches a lower minimum value and increases faster again. The initially decreases because the multi-user interference is reduced when increases. Hence, can more accurately cancel the interference from during the SIC process. However, as increases, the power allocated to decreases. Thus, the AWGN added to the signal of increases. Therefore, the finally increases again. From Figure 13, we can also notice that the optimal value of that gives the minimum value of the is roughly the same regardless of the SNR value.
Figure 13.
with at different SNR values.
7.2. Achievable Rate
The sum rate is an important metric to show the performance of the VLC network. In Figure 14, the achievable sum rate of the proposed DOPA against different values of the SNR ranging from 10 dB to 20 dB is depicted. The aim of this figure is showing the effectiveness of formulating the optimization problem considering the SER of the second user in comparison with benchmarking schemes, i.e., GRPA and NGDPA. It is shown that the DOPA scheme provides a greater sum rate, which is increased considerably as the value of the SNR increases, due to allocating the power among the users of each group, i.e., the first and second users, considering the minimization of the interference between them. It is worth mentioning that the interference among groups is avoided by implementing BIA. On the other hand, the GRPA scheme achieves a poor sum rate compared with the DOPA, due to the fact that the power is allocated equally between the first and second users, and therefore, the users of each group generate severe interference between them resulting in the degradation of the sum rate. The worst scenario is shown by the NGDPA scheme, it is easy to see that the sum rate is slightly increased as the SNR increases. Where for the highest value of the SNR, which equals to 20 dB, a low sum-rate around [bits/s/Hz] is achieved. This is because, the NGDPA allocates a zero power level for the second user belonging to each group contradicting the concept of NOMA, i.e, the second users in the network achieve zero rates. As a result, allocating the power based on the objective function of the proposed DOPA scheme makes NOMA more suitable for the VLC network achieving high rates.
Figure 14.
The sum rate of the proposed DOPA against the SNR for and users, in comparison with the benchmark GRPA and NGDPA schemes.
The achievable user rate of the proposed DOPA scheme is derived after considering the approach used for inter-group interference management in Section 3 power allocation approach in Section 6. Note that, after the formation of multiple groups, the bandwidth is divided according to the transmission block of BIA aiming to dedicate resources for each group, while inter-group interference is aligned into less dimensions than the useful information (please see the motivational example and general case in Section 3). It is worth mentioning that inter-group interference in the proposed scheme is aligned at the cost of increasing the noise that results from interference cancellation. In other words, a given user in a certain group must cancel the signals intended to other groups. Following this methodology, the overall noise in our work is given by inter-group interference cancellation noise, background noise and successive interference cancellation (SIC) noise. Subsequently, the useful signal intended to each user belonging to a certain group is determined after performing power allocation according to our approach reported in detail in Section 6. Finally, Shannon capacity is used to calculate the data rate received by each user. Note that the user rates of all the counterparts schemes considered in the paper are calculated following the same fashion, while they differ in power allocation between the weak and strong users.
7.3. Transmitting an Image
To further show the impact of the multi-user interference on the system performance, we assume that an image is sent for each user simultaneously. These images have the same size and there is no data or channel encryption. Furthermore, it is assumed that the users have similar channel gains and have SNR = 16 dB. The impact of the multi-user interference on the received images is shown in Figure 15. The top row images are for and the second-row images are for . The transmitted images for and are shown in Figure 15a. The received images are shown in different cases. In Figure 15b, the received images are shown when GRPA is used. In this case, the multi-user interference can be clearly observed in both images, which means that the interference from is too high to be ignored by and the interference from can also be observed in image because of the unsuccessful SIC. The high multi-user interference, in this case, is due to the equal powers allocated to the users by GRPA.
Figure 15.
The impact of multi-user interference on the received images. The top row images are for and the second-row images are for . (a) Transmitted images. (b–f) Received images with: (b) GRPA, (c) NGDPA, (d) DOPA (), (e) DOPA (), and (f) DOPA ().
In Figure 15c, the received images are shown when NGDPA is used. In this case, the multi-user interference has been totally eliminated from image; however, image has become just noise since NGDPA allocates zero power to the second user when the users’ channel gains are equal. Figure 15d–f show the received images when the proposed DOPA is used with , , and , respectively. When , the multi-user interference has been reduced compared with GRPA case because DOPA allocates different powers to the users even if they have similar channel gains. When , which is the optimal value in this case as shown in Figure 13, the multi-user interference has been significantly reduced in both images. When , the interference in image has been reduced further, however, the effect of the AWGN on image has been increased, which is expected because the power allocated to decreases as is increased.
8. Conclusions
In this paper, the effect of multi-user interference on the performance of a downlink NOMA-besed VLC system has been presented. A closed-form expression for the user symbol error rate has been derived and verified by computer simulation. A low-complexity power allocation (PA) scheme has been proposed to reduce the inevitable multi-user interference. The proposed PA method is a decoding-order-based PA (DOPA) scheme in which the powers are allocated to the users based on their indices in the decoding order and their channel gains. It has been demonistrated that DOPA is able to reduce the interference in NOMA-based VLC systems, and achieve better sum rate compared to GRPA and NGDPA schemes.
Author Contributions
Conceptualization, A.H.A., M.T.A. and J.E.; methodology, E.M.A. and A.-A.Q.; software, E.M.A. and A.-A.Q.; validation, J.E., M.T.A., A.F.A. and A.H.A.; formal analysis, A.H.A., A.-A.Q. and M.T.A.; investigation, E.M.A., A.H.A., and A.-A.Q.; resources, E.M.A. and A.-A.Q.; data curation, E.M.A. and A.-A.Q.; writing—original draft preparation, A.H.A. and E.M.A.; writing—review and editing, A.H.A. and E.M.A.; visualization, M.T.A., J.E. and A.H.A.; supervision, J.E., A.H.A. and M.T.A.; project administration, M.T.A.; funding acquisition, M.T.A. All authors have read and agreed to the published version of the manuscript.
Funding
This work was supported by King Saud University, Kingdom of Saudi Arabia under Researchers Supporting Project number (RSP-2021/336).
Institutional Review Board Statement
Not applicable.
Informed Consent Statement
Not applicable.
Data Availability Statement
All data are provided in full in the results section of this paper.
Acknowledgments
The authors would like to thank King Saud University for supporting this research under the Researchers Supporting Project number (RSP-2021/336).
Conflicts of Interest
The authors declare no conflict of interest.
References
- Pathak, P.H.; Feng, X.; Hu, P.; Mohapatra, P. Visible Light Communication, Networking, and Sensing: A Survey, Potential and Challenges. IEEE Commun. Surv. Tutor. 2015, 17, 2047–2077. [Google Scholar] [CrossRef]
- Al Hammadi, A.; Sofotasios, P.C.; Muhaidat, S.; Al-Qutayri, M.; Elgala, H. Non-Orthogonal Multiple Access for Hybrid VLC-RF Networks with Imperfect Channel State Information. IEEE Trans. Veh. Technol. 2021, 70, 398–411. [Google Scholar] [CrossRef]
- Chowdhury, M.Z.; Hossan, M.T.; Islam, A.; Jang, Y.M. A Comparative Survey of Optical Wireless Technologies: Architectures and Applications. IEEE Access 2018, 6, 9819–9840. [Google Scholar] [CrossRef]
- Chen, J.; Wang, Z.; Jiang, R. Downlink Interference Management in Cell-Free VLC Network. IEEE Trans. Veh. Technol. 2019, 68, 9007–9017. [Google Scholar] [CrossRef]
- Albraheem, L.I.; Alhudaithy, L.H.; Aljaser, A.A.; Aldhafian, M.R.; Bahliwah, G.M. Toward Designing a Li-Fi-Based Hierarchical IoT Architecture. IEEE Access 2018, 6, 40811–40825. [Google Scholar] [CrossRef]
- Hussein, A.T.; Alresheedi, M.T.; Elmirghani, J.M.H. 20 Gb/s Mobile Indoor Visible Light Communication System Employing Beam Steering and Computer Generated Holograms. J. Light. Technol. 2015, 33, 5242–5260. [Google Scholar] [CrossRef]
- Karbalayghareh, M.; Miramirkhani, F.; Eldeeb, H.B.; Kizilirmak, R.C.; Sait, S.M.; Uysal, M. Channel Modelling and Performance Limits of Vehicular Visible Light Communication Systems. IEEE Trans. Veh. Technol. 2020, 69, 6891–6901. [Google Scholar] [CrossRef]
- Amjad, M.S.; Tebruegge, C.; Memedi, A.; Kruse, S.; Kress, C.; Scheytt, J.C.; Dressler, F. Towards an IEEE 802.11 Compliant System for Outdoor Vehicular Visible Light Communications. IEEE Trans. Veh. Technol. 2021, 70, 5749–5761. [Google Scholar] [CrossRef]
- Memedi, A.; Dressler, F. Vehicular Visible Light Communications: A Survey. IEEE Commun. Surv. Tutor. 2021, 23, 161–181. [Google Scholar] [CrossRef]
- Abdelhady, A.M.; Amin, O.; Chaaban, A.; Shihada, B.; Alouini, M. Downlink Resource Allocation for Dynamic TDMA-Based VLC Systems. IEEE Trans. Wirel. Commun. 2019, 18, 108–120. [Google Scholar] [CrossRef]
- Chen, Z.; Haas, H. Space division multiple access in visible light communications. In Proceedings of the 2015 IEEE International Conference on Communications (ICC), London, UK, 8–12 June 2015; pp. 5115–5119. [Google Scholar] [CrossRef]
- Qiu, Y.; Chen, S.; Chen, H.; Meng, W. Visible Light Communications Based on CDMA Technology. IEEE Wirel. Commun. 2018, 25, 178–185. [Google Scholar] [CrossRef]
- Bawazir, S.S.; Sofotasios, P.C.; Muhaidat, S.; Al-Hammadi, Y.; Karagiannidis, G.K. Multiple Access for Visible Light Communications: Research Challenges and Future Trends. IEEE Access 2018, 6, 26167–26174. [Google Scholar] [CrossRef]
- Saito, Y.; Kishiyama, Y.; Benjebbour, A.; Nakamura, T.; Li, A.; Higuchi, K. Non-Orthogonal Multiple Access (NOMA) for Cellular Future Radio Access. In Proceedings of the 2013 IEEE 77th Vehicular Technology Conference (VTC Spring), Dresden, Germany, 2–5 June 2013; pp. 1–5. [Google Scholar] [CrossRef]
- Zhang, Y.; Wang, H.M.; Zheng, T.X.; Yang, Q. Energy-Efficient Transmission Design in Non-orthogonal Multiple Access. IEEE Trans. Veh. Technol. 2017, 66, 2852–2857. [Google Scholar] [CrossRef]
- Wu, Q.; Chen, W.; Ng, D.W.K.; Schober, R. Spectral and Energy-Efficient Wireless Powered IoT Networks: NOMA or TDMA? IEEE Trans. Veh. Technol. 2018, 67, 6663–6667. [Google Scholar] [CrossRef]
- Liu, X.; Chen, Z.; Wang, Y.; Zhou, F.; Luo, Y.; Hu, R.Q. BER Analysis of NOMA-Enabled Visible Light Communication Systems with Different Modulations. IEEE Trans. Veh. Technol. 2019, 68, 10807–10821. [Google Scholar] [CrossRef]
- Benjebbour, A.; Saito, Y.; Kishiyama, Y.; Li, A.; Harada, A.; Nakamura, T. Concept and practical considerations of non-orthogonal multiple access (NOMA) for future radio access. In Proceedings of the 2013 International Symposium on Intelligent Signal Processing and Communication Systems, Naha, Japan, 12–15 November 2013; pp. 770–774. [Google Scholar] [CrossRef]
- Marshoud, H.; Kapinas, V.M.; Karagiannidis, G.K.; Muhaidat, S. Non-Orthogonal Multiple Access for Visible Light Communications. IEEE Photonics Technol. Lett. 2016, 28, 51–54. [Google Scholar] [CrossRef]
- Chen, C.; Zhong, W.; Yang, H.; Du, P. On the Performance of MIMO-NOMA-Based Visible Light Communication Systems. IEEE Photonics Technol. Lett. 2018, 30, 307–310. [Google Scholar] [CrossRef]
- Fu, Y.; Hong, Y.; Chen, L.; Sung, C.W. Enhanced Power Allocation for Sum Rate Maximization in FDM-NOMA VLC Systems. IEEE Photonics Technol. Lett. 2018, 30, 1218–1221. [Google Scholar] [CrossRef]
- Zhao, Q.; Jiang, J.; Wang, Y.; Du, J. A low complexity power allocation scheme for NOMA-based indoor VLC systems. Opt. Commun. 2020, 463, 125383. [Google Scholar] [CrossRef]
- Lopez, C.A.; Reguera, V.A. Simple Fair Power Allocation for NOMA-Based Visible Light Communication (VLC) Systems. arXiv 2021, arXiv:2112.04410. [Google Scholar]
- Marshoud, H.; Sofotasios, P.C.; Muhaidat, S.; Karagiannidis, G.K.; Sharif, B.S. On the Performance of Visible Light Communication Systems with Non-Orthogonal Multiple Access. IEEE Trans. Wirel. Commun. 2017, 16, 6350–6364. [Google Scholar] [CrossRef]
- Kizilirmak, R.C.; Rowell, C.R.; Uysal, M. Non-orthogonal multiple access (NOMA) for indoor visible light communications. In Proceedings of the 2015 4th International Workshop on Optical Wireless Communications (IWOW), Istanbul, Turkey, 7–8 September 2015; pp. 98–101. [Google Scholar] [CrossRef]
- Yin, L.; Popoola, W.O.; Wu, X.; Haas, H. Performance Evaluation of Non-Orthogonal Multiple Access in Visible Light Communication. IEEE Trans. Commun. 2016, 64, 5162–5175. [Google Scholar] [CrossRef]
- Kafafy, M.; Fahmy, Y.; Khairy, M. Minimizing the driving power for Non Orthogonal Multiple Access in Indoor Visible Light Communication. Opt. Switch. Netw. 2019, 33, 169–176. [Google Scholar] [CrossRef]
- Almohimmah, E.M.; Alresheedi, M.T.; Abas, A.F.; Elmirghani, J. A Simple User Grouping and Pairing Scheme for Non-Orthogonal Multiple Access in VLC System. In Proceedings of the 2018 20th International Conference on Transparent Optical Networks (ICTON), Bucharest, Romania, 1–5 July 2018; pp. 1–4. [Google Scholar] [CrossRef]
- Chen, C.; Zhong, W.; Yang, H.; Du, P.; Yang, Y. Flexible-Rate SIC-Free NOMA for Downlink VLC Based on Constellation Partitioning Coding. IEEE Wirel. Commun. Lett. 2019, 8, 568–571. [Google Scholar] [CrossRef]
- Tahira, Z.; Asif, H.M.; Khan, A.A.; Baig, S.; Mumtaz, S.; Al-Rubaye, S. Optimization of Non-Orthogonal Multiple Access Based Visible Light Communication Systems. IEEE Commun. Lett. 2019, 23, 1365–1368. [Google Scholar] [CrossRef]
- Shi, J.; Hong, Y.; Deng, R.; He, J.; Chen, L.K.; Chang, G.K. Demonstration of Real-Time Software Reconfigurable Dynamic Power-and-Subcarrier Allocation Scheme for OFDM-NOMA-Based Multi-User Visible Light Communications. J. Light. Technol. 2019, 37, 4401–4409. [Google Scholar] [CrossRef]
- Shi, J.; He, J.; Wu, K.; Ma, J. Enhanced Performance of Asynchronous Multi-Cell VLC System Using OQAM/OFDM-NOMA. J. Light. Technol. 2019, 37, 5212–5220. [Google Scholar] [CrossRef]
- Eltokhey, M.W.; Khalighi, M.A.; Ghassemlooy, Z. Dimming-Aware Interference Mitigation for NOMA-Based Multi-Cell VLC Networks. IEEE Commun. Lett. 2020, 24, 2541–2545. [Google Scholar] [CrossRef]
- Almohimmah, E.M.; Alresheedi, M.T. Error Analysis of NOMA-Based VLC Systems with Higher Order Modulation Schemes. IEEE Access 2020, 8, 2792–2803. [Google Scholar] [CrossRef]
- Komine, T.; Nakagawa, M. Fundamental analysis for visible-light communication system using LED lights. IEEE Trans. Consum. Electron. 2004, 50, 100–107. [Google Scholar] [CrossRef]
- Ding, Z.; Fan, P.; Poor, H.V. Impact of User Pairing on 5G Nonorthogonal Multiple-Access Downlink Transmissions. IEEE Trans. Veh. Technol. 2016, 65, 6010–6023. [Google Scholar] [CrossRef]
- Liang, W.; Ding, Z.; Li, Y.; Son, L. User Pairing for Downlink Non-Orthogonal Multiple Access Networks Using Matching Algorithm. IEEE Trans. Commun. 2017, 65, 5319–5332. [Google Scholar] [CrossRef]
- Gou, T.; Wang, C.; Jafar, S.A. Aiming Perfectly in the Dark-Blind Interference Alignment through Staggered Antenna Switching. IEEE Trans. Signal Process. 2011, 59, 2734–2744. [Google Scholar] [CrossRef]
- Adnan-Qidan, A.; Cespedes, M.M.; Armada, A.G. User-Centric Blind Interference Alignment Design for Visible Light Communications. IEEE Access 2019, 7, 21220–21234. [Google Scholar] [CrossRef]
- Adnan-Qidan, A.; Cespedes, M.M.; Armada, A.G. Load Balancing in Hybrid VLC and RF Networks Based on Blind Interference Alignment. IEEE Access 2020, 8, 72512–72527. [Google Scholar] [CrossRef]
- Cespedes, M.M.; Dobre, O.A.; Armada, A.G. Semi-Blind Interference Aligned NOMA for Downlink MU-MISO Systems. IEEE Trans. Commun. 2020, 68, 1852–1865. [Google Scholar] [CrossRef]
- Dimitrov, S.; Haas, H. Principles of LED Light Communications: Towards Networked Li-Fi; Cambridge University Press: Cambridge, UK, 2015. [Google Scholar]
- Armstrong, J. OFDM for optical communications. J. Light. Technol. 2009, 27, 189–204. [Google Scholar] [CrossRef]
- Dissanayake, S.D.; Armstrong, J. Comparison of aco-ofdm, dco-ofdm and ado-ofdm in im/dd systems. J. Light. Technol. 2013, 31, 1063–1072. [Google Scholar] [CrossRef]
- Yang, Z.; Xu, W.; Pan, C.; Pan, Y.; Chen, M. On the Optimality of Power Allocation for NOMA Downlinks with Individual QoS Constraints. IEEE Commun. Lett. 2017, 21, 1649–1652. [Google Scholar] [CrossRef]
- Marshoud, H.; Muhaidat, S.; Sofotasios, P.C.; Hussain, S.; Imran, M.A.; Sharif, B.S. Optical Non-Orthogonal Multiple Access for Visible Light Communication. IEEE Wirel. Commun. 2018, 25, 82–88. [Google Scholar] [CrossRef]
- Brent, R.P. Algorithms for Minimization without Derivatives; Courier Corporation: North Chelmsford, MA, USA, 2013. [Google Scholar]
Publisher’s Note: MDPI stays neutral with regard to jurisdictional claims in published maps and institutional affiliations. |
© 2022 by the authors. Licensee MDPI, Basel, Switzerland. This article is an open access article distributed under the terms and conditions of the Creative Commons Attribution (CC BY) license (https://creativecommons.org/licenses/by/4.0/).














