First Demonstration and Comparison of 5 kW Monolithic Fiber Laser Oscillator Pumped by 915 nm and 981 nm LDs
Abstract
:1. Introduction
2. Experimental Setup
3. Results and Discussion
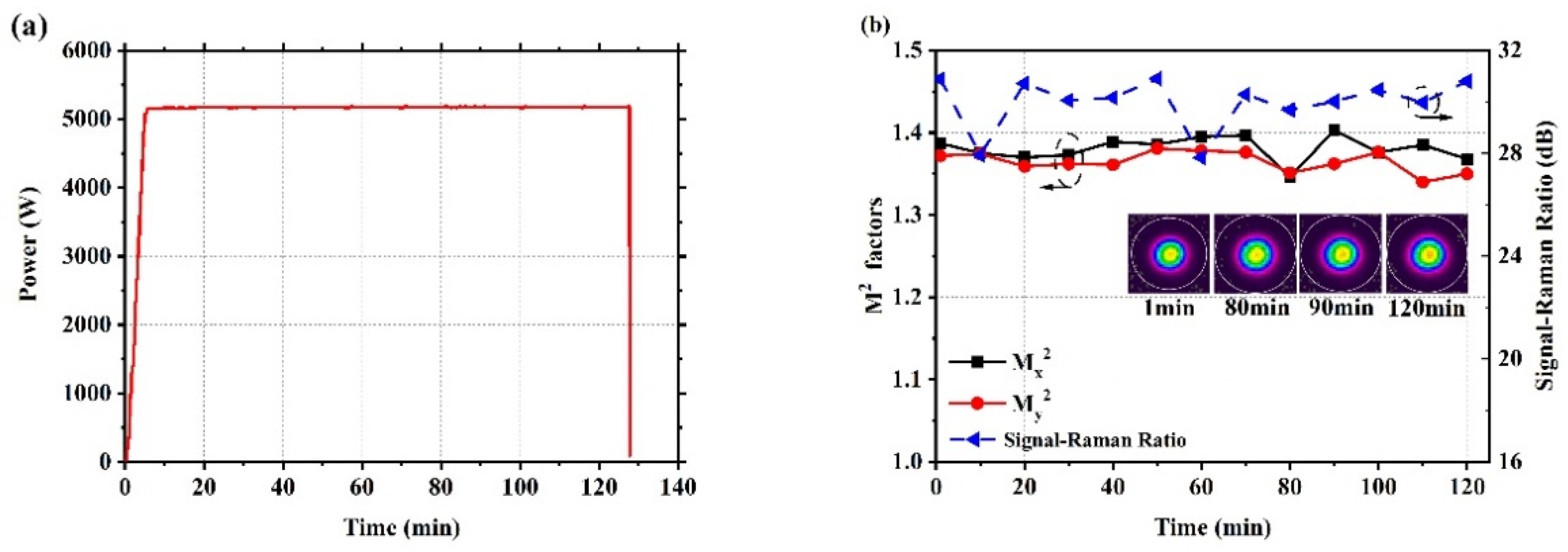
3.1. Laser Output Performance Pumped with 915 nm LDs
3.2. Laser Output Performance Pumped with 981 nm LDs
3.3. Discussion
| YDF | Pump Wavelength | Output | Efficiency | M2 | Relative Brightness | Signal-Raman Ratio | |
|---|---|---|---|---|---|---|---|
| 25/400 | 981 nm | 5120 W | 87% | <1.4 | 22.40 | 32.5 dB | This work |
| 25/400 | 915 nm | 5070 W | 77.3% | <1.4 | 22.18 | 28.3 dB | This work |
| 25/400 | 915 nm | 5070 W | 60.7% | 1.62 | 16.56 | 35 dB | Ref. [7] |
| 30/600 | 915 nm | 6070 W | 65.8% | 2.6 | 7.70 | 21.6 dB | Ref. [22] |
4. Conclusions
Author Contributions
Funding
Institutional Review Board Statement
Informed Consent Statement
Data Availability Statement
Acknowledgments
Conflicts of Interest
Appendix A
References
- Zervas, M.N.; Codemard, C.A. High power fiber lasers: A review. IEEE J. Sel. Top. Quantum Electron. 2014, 20, 219–241. [Google Scholar] [CrossRef]
- Richardson, D.J.; Nilsson, J.; Clarkson, W.A. High power fiber lasers: Current status and future perspectives. J. Opt. Soc. Am. B 2010, 27, B63–B92. [Google Scholar] [CrossRef]
- Zervas, M.N. High power ytterbium-doped fiber lasers—Fundamentals and applications. Int. J. Mod. Phys. B 2014, 28, 1442009. [Google Scholar] [CrossRef]
- Jauregui, C.; Limpert, J.; Tünnermann, A. High-power fibre lasers. Nat. Photonics 2013, 7, 861–867. [Google Scholar] [CrossRef]
- Shima, K.; Ikoma, S.; Uchiyama, K.; Takubo, Y.; Kashiwagi, M.; Tanaka, D. 5-KW single stage all-fiber Yb-doped single-mode fiber laser for materials processing. In Proceedings of the Fiber Lasers XV: Technology and Systems, San Francisco, CA, USA, 27 January–1 February 2018. [Google Scholar] [CrossRef]
- Yang, B.; Shi, C.; Zhang, H.; Ye, Q.; Pi, H.; Tao, R.; Wang, X.; Ma, P.; Leng, J.; Chen, Z.; et al. Monolithic fiber laser oscillator with record high power. Laser Phys. Lett. 2018, 15, 75106. [Google Scholar] [CrossRef]
- Ye, Y.; Xi, X.; Shi, C.; Zhang, H.; Yang, B.; Wang, X.; Zhou, P.; Xu, X. Experimental study of 5-kW High-Stability monolithic fiber laser oscillator with or without external feedback. IEEE Photonics J. 2019, 11, 1503508. [Google Scholar] [CrossRef]
- Krämer, R.G.; Möller, F.; Matzdorf, C.; Goebel, T.A.; Strecker, M.; Heck, M.; Richter, D.; Plötner, M.; Schreiber, T.; Tünnermann, A.; et al. Extremely robust femtosecond written fiber Bragg gratings for an ytterbium-doped fiber oscillator with 5 kW output power. Opt. Lett. 2020, 45, 1447–1450. [Google Scholar] [CrossRef] [PubMed]
- Yan, D.; Guo, C.; Zhao, P.; Tao, R.; Shu, Q.; Lin, H.; Wang, J.; Liao, R. A simple O-shaped cylinder fiber laser without inter-cladding-power-strippers. In Proceedings of the Advanced Lasers, High-Power Lasers, and Applications XII, Nantong, China, 10–20 October 2021. [Google Scholar] [CrossRef]
- Leidner, J.P.; Marciante, J.R. Three fiber designs for mitigating thermal mode instability in high-power fiber amplifiers. Opt. Express 2020, 28, 28502. [Google Scholar] [CrossRef] [PubMed]
- Naderi, S.; Dajani, I.; Madden, T.; Robin, C. Investigations of modal instabilities in fiber amplifiers through detailed numerical simulations. Opt. Express 2013, 21, 16111. [Google Scholar] [CrossRef] [PubMed]
- Chu, Q.; Tao, R.; Li, C.; Lin, H.; Wang, Y.; Guo, C.; Wang, J.; Jing, F.; Tang, C. Experimental study of the influence of mode excitation on mode instability in high power fiber amplifier. Sci. Rep. 2019, 9, 9396. [Google Scholar] [CrossRef] [PubMed]
- Jauregui, C.; Stihler, C.; Limpert, J. Transverse mode instability. Adv. Opt. Photonics 2020, 12, 429–484. [Google Scholar] [CrossRef]
- Jianjun, W.; Yu, L.; Min, L.; Xi, F.; Qiuhui, C.; Chun, Z.; Cong, G.; Rumao, T.; Honghuan, L.; Feng, J. Ten-year review and prospect on mode instability research of fiber lasers. High Power Laser Part. Beams 2020, 32, 49–60. [Google Scholar] [CrossRef]
- Khush, B.; Matthias, S.; Jason, H.; Sean, C.; Christian, D.; Robert, A.; Eric, H. Threshold power and fiber degradation induced modal instabilities in high-power fiber amplifiers based on large mode area fibers. In Proceedings of the Fiber Lasers XI: Technology, Systems, and Applications, San Francisco, CA, USA, 1–6 February 2014. [Google Scholar]
- Wan, Y.; Xi, X.; Yang, B.; Zhang, H.; Wang, X. Enhancement of TMI threshold in Yb-Doped fiber laser by optimizing pump wavelength. IEEE Photonics Technol. Lett. 2021, 33, 656–659. [Google Scholar] [CrossRef]
- Yang, B.; Wang, P.; Zhang, H.; Xi, X.; Shi, C.; Wang, X.; Xu, X. 6 kW single mode monolithic fiber laser enabled by effective mitigation of the transverse mode instability. Opt. Express 2021, 29, 26366. [Google Scholar] [CrossRef] [PubMed]
- Hejaz, K.; Shayganmanesh, M.; Rezaei-Nasirabad, R.; Roohforouz, A.; Azizi, S.; Abedinajafi, A.; Vatani, V. Modal instability induced by stimulated Raman scattering in high-power Yb-doped fiber amplifiers. Opt. Lett. 2017, 42, 5274–5277. [Google Scholar] [CrossRef] [PubMed]
- Wan, Y.; Yang, B.; Xi, X.; Zhang, H.; Wang, P.; Wang, X.; Xu, X. Comparison and Optimization on Transverse Mode Instability of Fiber Laser Amplifier Pumped by Wavelength-Stabilized and Non-Wavelength-Stabilized 976 nm Laser Diode. IEEE Photonics J. 2022, 14, 1503905. [Google Scholar] [CrossRef]
- Wallace, J. High-Power Fiber Lasers Techniques and Accessories. Available online: https://www.ipgphotonics.com/cn/619/Widget/High-power+fiber+lasers%3A+techniques+and+accessories.pdf (accessed on 20 September 2022).
- Fan, T.Y. Laser beam combining for high-power, high-radiance sources. IEEE J. Sel. Top. Quantum Electron. 2005, 11, 567–577. [Google Scholar] [CrossRef]
- Ye, Y.; Yang, B.; Wang, P.; Zeng, L.; Xi, X.; Shi, C.; Zhang, H.; Wang, X.; Zhou, P.; Xu, X. Industrial 6 kW high-stability single-stage all-fiber laser oscillator based on conventional large mode area ytterbium-doped fiber. Laser Phys. 2021, 31, 35104. [Google Scholar] [CrossRef]





| Symbol | Physical Quantity | Symbol | Physical Quantity |
|---|---|---|---|
| N | Numbers of signal light wavelengths | Effective mode area | |
| n | Ordinal number of signal light wavelengths | m | Ordinal number of pump light wavelengths |
| Emission cross section of the nth signal light | Emission cross section of the mth pump light | ||
| Absorption cross section of the nth signal light | Absorption cross section of the mth pump light | ||
| Loss coefficient of signal light | Loss coefficient of pump light | ||
| Number of ground state particles | Number of excited particles | ||
| Signal light wavelength | Pump wavelength | ||
| Pump light filling factor | Signal light filling factor | ||
| Planck constant | Light speed | ||
| Frequency of pump light | Frequency of signal light | ||
| Inner cladding area for transmitting pump light | Dopant concentration of ytterbium ion | ||
| Luminous intensity of signal light |
Publisher’s Note: MDPI stays neutral with regard to jurisdictional claims in published maps and institutional affiliations. |
© 2022 by the authors. Licensee MDPI, Basel, Switzerland. This article is an open access article distributed under the terms and conditions of the Creative Commons Attribution (CC BY) license (https://creativecommons.org/licenses/by/4.0/).
Share and Cite
Wen, Y.; Wang, P.; Yang, B.; Zhang, H.; Xi, X.; Wang, X.; Xu, X. First Demonstration and Comparison of 5 kW Monolithic Fiber Laser Oscillator Pumped by 915 nm and 981 nm LDs. Photonics 2022, 9, 716. https://doi.org/10.3390/photonics9100716
Wen Y, Wang P, Yang B, Zhang H, Xi X, Wang X, Xu X. First Demonstration and Comparison of 5 kW Monolithic Fiber Laser Oscillator Pumped by 915 nm and 981 nm LDs. Photonics. 2022; 9(10):716. https://doi.org/10.3390/photonics9100716
Chicago/Turabian StyleWen, Yujun, Peng Wang, Baolai Yang, Hanwei Zhang, Xiaoming Xi, Xiaolin Wang, and Xiaojun Xu. 2022. "First Demonstration and Comparison of 5 kW Monolithic Fiber Laser Oscillator Pumped by 915 nm and 981 nm LDs" Photonics 9, no. 10: 716. https://doi.org/10.3390/photonics9100716
APA StyleWen, Y., Wang, P., Yang, B., Zhang, H., Xi, X., Wang, X., & Xu, X. (2022). First Demonstration and Comparison of 5 kW Monolithic Fiber Laser Oscillator Pumped by 915 nm and 981 nm LDs. Photonics, 9(10), 716. https://doi.org/10.3390/photonics9100716

