A Pixel-Dependent Finite Element Model for Spatial Frequency Domain Imaging Using NIRFAST
Abstract
:1. Introduction
2. Theory
2.1. SFDI
2.2. NIRFAST
3. Methods and Results
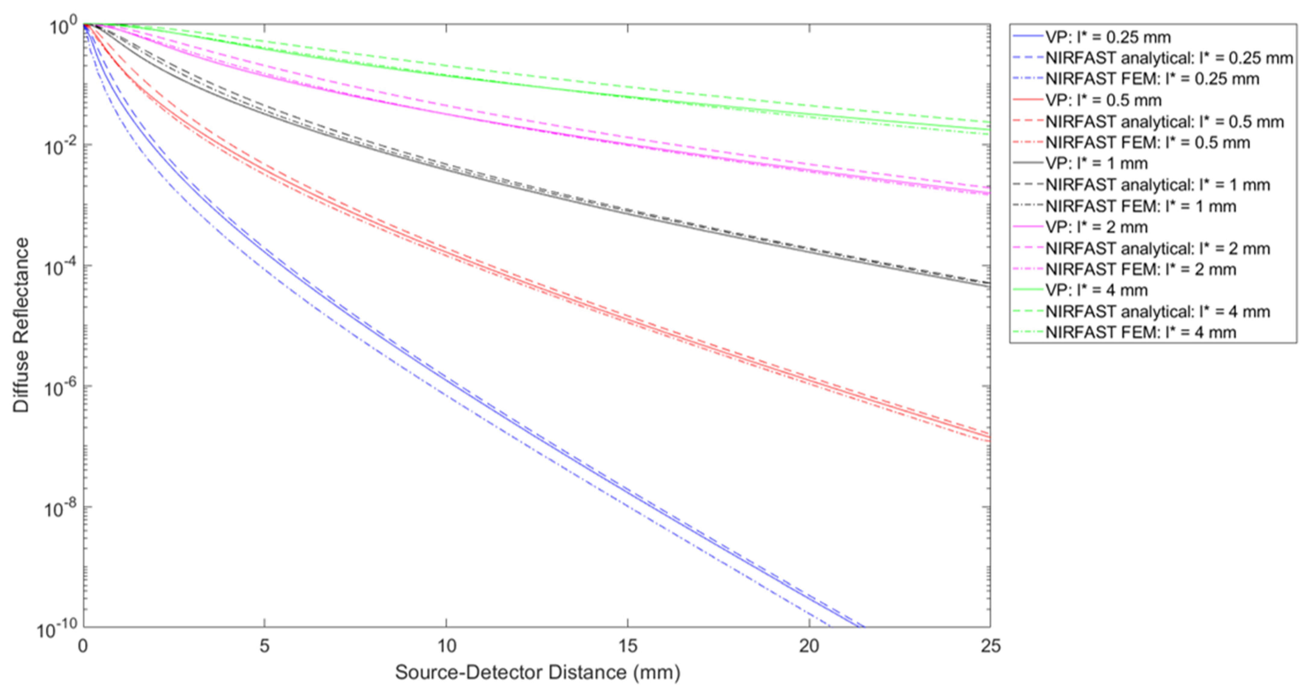
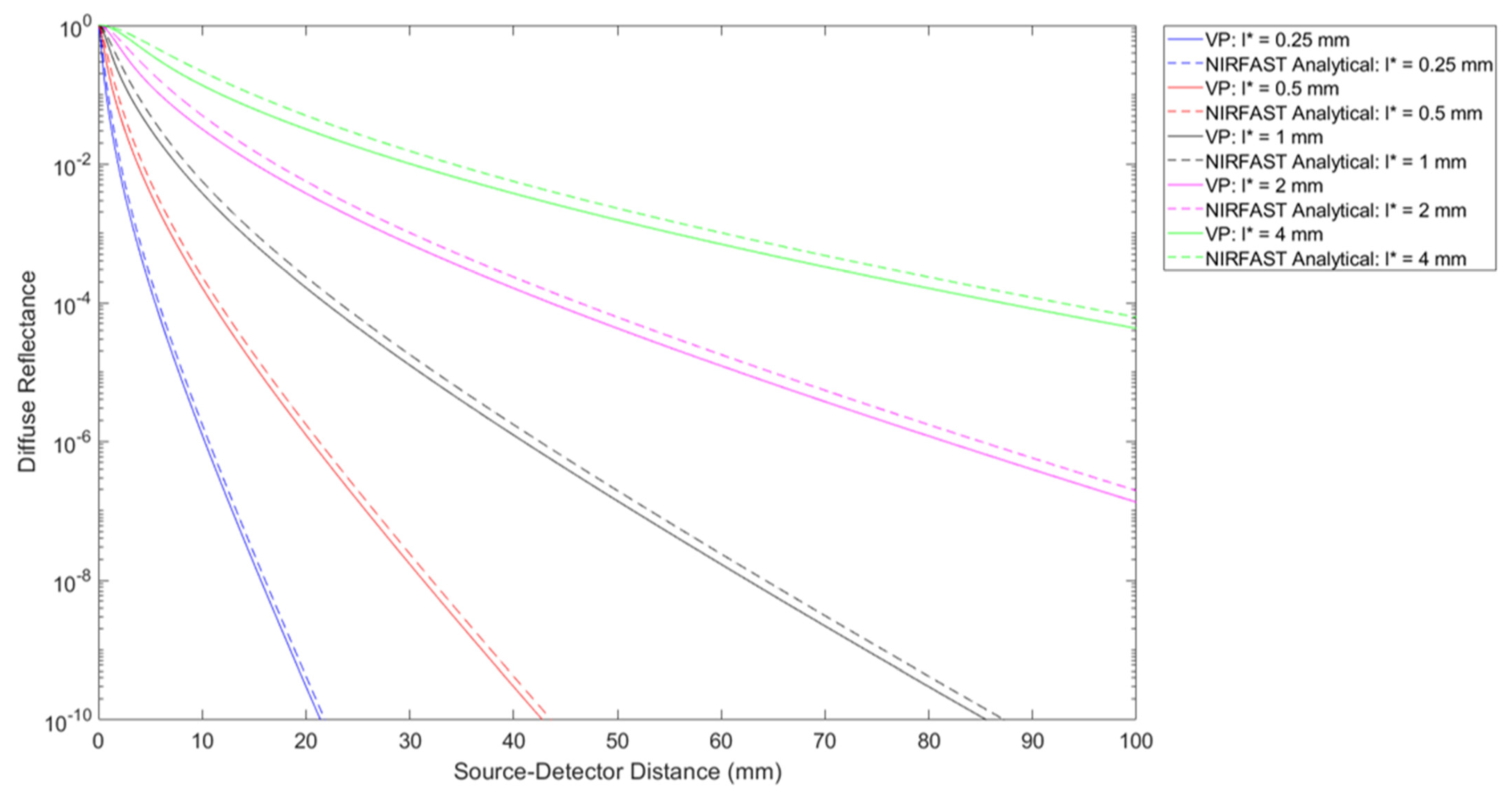
3.1. SRS Semi-Infinite Model
3.2. SRS FEM Model
3.3. Structured Illumination
3.3.1. Homogenous Slab
- Generate the 3D mesh of desired optical properties and model the structured illumination, as described previously.
 - Extract the model fluence from the mesh surface within the white bounding box of Figure 4 to obtain the SFDI 2D images, I(x,y).
 - Demodulate to obtain the resulting demodulated images (AC/DC) for all frequencies of illumination using Equations (1) and (2).
 - Calibrate using Equation (3) and a phantom simulation of known optical properties.
 - Extract the optical properties using the pixel-independent model from Cuccia et al. [1]. The central nodal value from the bounding box surface is used for comparison.
 
3.3.2. Heterogenous Anomaly Slabs
4. Discussion
5. Conclusions
Author Contributions
Funding
Data Availability Statement
Acknowledgments
Conflicts of Interest
References
- Cuccia, D.J.; Bevilacqua, F.; Durkin, A.J.; Ayers, F.R.; Tromberg, B.J. Quantitation and mapping of tissue optical properties using modulated imaging. J. Biomed. Opt. 2009, 14, 024012. [Google Scholar] [CrossRef] [PubMed]
 - Gioux, S.; Mazhar, A.; Lee, B.T.; Lin, S.J.; Tobias, A.M.; Cuccia, D.J.; Stockdale, A.; Oketokoun, R.; Ashitate, Y.; Kelly, E.; et al. First-in-human pilot study of a spatial frequency domain oxygenation imaging system. J. Biomed. Opt. 2011, 16, 086015. [Google Scholar] [CrossRef] [PubMed] [Green Version]
 - Applegate, M.; Karrobi, K.; Angelo, J.; Austin, W.; Tabassum, S.; Aguénounon, E.; Tilbury, K.; Saager, R.; Gioux, S.; Roblyer, D. OpenSFDI: An open-source guide for constructing a spatial frequency domain imaging system. J. Biomed. Opt. 2020, 25, 016002. [Google Scholar] [CrossRef] [PubMed]
 - Angelo, J.P.; van de Giessen, M.; Gioux, S. Real-time endoscopic optical properties imaging. Biomed. Opt. Express 2017, 8, 5113–5126. [Google Scholar] [CrossRef] [PubMed] [Green Version]
 - Mellors, B.O.L.; Bentley, A.; Spear, A.M.; Howle, C.R.; Dehghani, H. Applications of compressive sensing in spatial frequency domain imaging. J. Biomed. Opt. 2020, 25, 112904. [Google Scholar] [CrossRef] [PubMed]
 - Gioux, S.; Mazhar, A.; Cuccia, D.J. Spatial frequency domain imaging in 2019: Principles, applications, and perspectives. J. Biomed. Opt. 2019, 24, 1–18. [Google Scholar] [CrossRef] [PubMed] [Green Version]
 - Fang, Q.; Boas, D.A.J. Monte Carlo simulation of photon migration in 3D turbid media accelerated by graphics processing units. Opt. Express 2009, 17, 20178–20190. [Google Scholar] [CrossRef] [PubMed] [Green Version]
 - Yao, R.; Intes, X.; Fang, Q. Generalized mesh-based Monte Carlo for wide-field illumination and detection via mesh retessellation. Biomed. Opt. Express 2016, 7, 171–184. [Google Scholar] [CrossRef] [PubMed] [Green Version]
 - Syeda, T.; Vivian, P.; Gage, G.; Timothy, J.M.; Darren, R. Two-layer inverse model for improved longitudinal preclinical tumor imaging in the spatial frequency domain. J. Biomed. Opt. 2018, 23, 1–12. [Google Scholar] [CrossRef] [Green Version]
 - Dehghani, H.; Eames, M.E.; Yalavarthy, P.K.; Davis, S.C.; Srinivasan, S.; Carpenter, C.M.; Pogue, B.W.; Paulsen, K.D. Near infrared optical tomography using NIRFAST: Algorithm for numerical model and image reconstruction. Commun. Numer. Methods Eng. 2008, 25, 711–732. [Google Scholar] [CrossRef] [PubMed]
 - Doulgerakis, M.; Eggebrecht, A.T.; Dehghani, H.J.N. High-density functional diffuse optical tomography based on frequency-domain measurements improves image quality and spatial resolution. Neurophotonics 2019, 6, 035007. [Google Scholar] [CrossRef] [PubMed]
 - Lighter, D.; Filer, A.; Dehghani, H. Detecting inflammation in rheumatoid arthritis using Fourier transform analysis of dorsal optical transmission images from a pilot study. J. Biomed. Opt. 2019, 24, 1–12. [Google Scholar] [CrossRef] [PubMed] [Green Version]
 - Bentley, A.; Rowe, J.E.; Dehghani, H. Single pixel hyperspectral bioluminescence tomography based on compressive sensing. Biomed. Opt. Express 2019, 10, 5549–5564. [Google Scholar] [CrossRef] [PubMed]
 - Hu, D.; Lu, R.; Ying, Y.; Fu, X. A stepwise method for estimating optical properties of two-layer turbid media from spatial-frequency domain reflectance. Opt. Express 2019, 27, 1124–1141. [Google Scholar] [CrossRef] [PubMed]
 - Aguénounon, E.; Smith, J.T.; Al-Taher, M.; Diana, M.; Intes, X.; Gioux, S. Real-time, wide-field and high-quality single snapshot imaging of optical properties with profile correction using deep learning. Biomed. Opt. Express 2020, 11, 5701–5716. [Google Scholar] [CrossRef] [PubMed]
 - Haskell, R.C.; Svaasand, L.O.; Tsay, T.-T.; Feng, T.-C.; McAdams, M.S.; Tromberg, B.J. Boundary conditions for the diffusion equation in radiative transfer. JOSA A 1994, 11, 2727–2741. [Google Scholar] [CrossRef] [PubMed] [Green Version]
 - Durduran, T.; Choe, R.; Baker, W.B.; Yodh, A.G. Diffuse optics for tissue monitoring and tomography. Rep. Prog. Phys. 2010, 73, 076701. [Google Scholar] [CrossRef] [PubMed] [Green Version]
 










Publisher’s Note: MDPI stays neutral with regard to jurisdictional claims in published maps and institutional affiliations.  | 
© 2021 by the authors. Licensee MDPI, Basel, Switzerland. This article is an open access article distributed under the terms and conditions of the Creative Commons Attribution (CC BY) license (https://creativecommons.org/licenses/by/4.0/).
Share and Cite
Mellors, B.O.L.; Dehghani, H. A Pixel-Dependent Finite Element Model for Spatial Frequency Domain Imaging Using NIRFAST. Photonics 2021, 8, 310. https://doi.org/10.3390/photonics8080310
Mellors BOL, Dehghani H. A Pixel-Dependent Finite Element Model for Spatial Frequency Domain Imaging Using NIRFAST. Photonics. 2021; 8(8):310. https://doi.org/10.3390/photonics8080310
Chicago/Turabian StyleMellors, Ben O. L., and Hamid Dehghani. 2021. "A Pixel-Dependent Finite Element Model for Spatial Frequency Domain Imaging Using NIRFAST" Photonics 8, no. 8: 310. https://doi.org/10.3390/photonics8080310
APA StyleMellors, B. O. L., & Dehghani, H. (2021). A Pixel-Dependent Finite Element Model for Spatial Frequency Domain Imaging Using NIRFAST. Photonics, 8(8), 310. https://doi.org/10.3390/photonics8080310
        