A Broadband High-Diffraction-Efficiency Electro-Optic Bragg Deflector Based on Monolithic Dual-Grating Periodically-Poled Lithium Niobate
Abstract
:1. Introduction
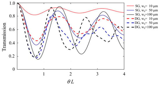
2. Device Design and Theoretical Modeling
3. Experimental Results
4. Conclusions
Author Contributions
Funding
Institutional Review Board Statement
Informed Consent Statement
Acknowledgments
Conflicts of Interest
Appendix A. Extended Model for Single Grating Based EOPBD

Appendix B. Extended Model for Dual Grating Based EOPBD

References
- Yamada, M.; Saitoh, M.; Ooki, H. Electric-field induced cylindrical lens, switching and deflection devices composed of the inverted domains in LiNbO3 crystals. Appl. Phys. Lett. 1996, 69, 3659–3661. [Google Scholar] [CrossRef]
- Myers, L.; Eckardt, R.; Fejer, M.; Byer, R.; Bosenberg, W.; Pierce, J. Quasi-phase-matched optical parametric oscillators in bulk periodically poled LiNbO3. J. Opt. Soc. Am. B 1995, 12, 2102–2116. [Google Scholar] [CrossRef]
- Gnewuch, H.; Pannell, C.N.; Ross, G.W.; Smith, P.G.R.; Geiger, H. Nanosecond Response of Bragg Deflectors in Periodically Poled LiNbO3. IEEE Photonics Technol. Lett. 1998, 10, 1730–1732. [Google Scholar] [CrossRef]
- Yamada, M. Electrically induced Bragg-diffraction grating composed of periodically inverted domains in lithium niobate crystals and its application devices. Rev. Sci. Instrum. 2000, 71, 4010–4016. [Google Scholar] [CrossRef]
- Lin, Y.Y.; Lin, S.T.; Chang, G.W.; Chiang, A.C.; Huang, Y.C.; Chen, Y.H. Electro-optic periodically poled lithium niobate Bragg modulator as a laser Q-switch. Opt. Lett. 2007, 32, 545–547. [Google Scholar] [CrossRef] [PubMed] [Green Version]
- Lin, S.T.; Chang, G.W.; Lin, Y.Y.; Huang, Y.C.; Chiang, A.C.; Chen, Y.H. Monolithically integrated laser Bragg Q-switch and wavelength converter in a PPLN crystal. Opt. Express 2007, 15, 17093–17098. [Google Scholar] [CrossRef] [PubMed] [Green Version]
- Chen, Y.H.; Chang, W.K.; Hsu, N.; Chen, C.Y.; Chang, J.W. Internal Q-switching and self-optical parametric oscillation in a two-dimensional periodically poled Nd:MgO:LiNbO3 laser. Opt. Lett. 2012, 37, 2814–2816. [Google Scholar] [CrossRef] [PubMed]
- Lin, S.T.; Hsieh, C.S. Triple-wavelength Nd-laser system by cascaded electro-optic periodically poled lithium niobate Bragg modulator. Opt. Express 2012, 20, 29659–29664. [Google Scholar] [CrossRef] [PubMed]
- Lin, S.T.; Qiu, Z.R.; Chen, C.P. Actively Q-Switched Tm:YAP laser constructed using an electro-optic periodically poled lithium niobate Bragg modulator. IEEE Photonics J. 2020, 12, 1503509. [Google Scholar] [CrossRef]
- Okazaki, M.; Chichibu, T.; Yoshimoto, S.; Inoue, T.; Suhara, T. Electro-optic Bragg deflection modulator for UV laser light using periodically poled MgO:s-LiTaO3. IEEE Photonics Technol. Lett. 2011, 23, 1709–1711. [Google Scholar] [CrossRef]
- Zheng, G.; Wang, H.; She, W. Wave coupling theory of quasi-phase-matched linear electro-optic effect. Opt. Express 2006, 14, 5535–5540. [Google Scholar] [CrossRef] [PubMed]
- Saleh, B.E.A.; Teich, M.C. Electro Optics. In Fundamentals of Photonics; Wiley: New York, NY, USA, 1991; pp. 712–720. [Google Scholar]
- De Angelis, M.; De Nicola, S.; Finizio, A.; Pierattini, G.; Ferraro, P.; Grilli, S.; Paturzo, M. Evaluation of the internal field in lithium niobate ferroelectric domains by an interferometric method. Appl. Phys. Lett. 2004, 85, 2785–2787. [Google Scholar] [CrossRef]






Publisher’s Note: MDPI stays neutral with regard to jurisdictional claims in published maps and institutional affiliations. |
© 2021 by the authors. Licensee MDPI, Basel, Switzerland. This article is an open access article distributed under the terms and conditions of the Creative Commons Attribution (CC BY) license (https://creativecommons.org/licenses/by/4.0/).
Share and Cite
Chiang, A.-C.; Lin, Y.-Y.; Lin, S.-T.; Lin, Y.-Y. A Broadband High-Diffraction-Efficiency Electro-Optic Bragg Deflector Based on Monolithic Dual-Grating Periodically-Poled Lithium Niobate. Photonics 2021, 8, 242. https://doi.org/10.3390/photonics8070242
Chiang A-C, Lin Y-Y, Lin S-T, Lin Y-Y. A Broadband High-Diffraction-Efficiency Electro-Optic Bragg Deflector Based on Monolithic Dual-Grating Periodically-Poled Lithium Niobate. Photonics. 2021; 8(7):242. https://doi.org/10.3390/photonics8070242
Chicago/Turabian StyleChiang, An-Chung, Yuan-Yao Lin, Shou-Tai Lin, and Yen-Yin Lin. 2021. "A Broadband High-Diffraction-Efficiency Electro-Optic Bragg Deflector Based on Monolithic Dual-Grating Periodically-Poled Lithium Niobate" Photonics 8, no. 7: 242. https://doi.org/10.3390/photonics8070242
APA StyleChiang, A.-C., Lin, Y.-Y., Lin, S.-T., & Lin, Y.-Y. (2021). A Broadband High-Diffraction-Efficiency Electro-Optic Bragg Deflector Based on Monolithic Dual-Grating Periodically-Poled Lithium Niobate. Photonics, 8(7), 242. https://doi.org/10.3390/photonics8070242

