Development of a Temperature-Controlled Optical Planar Waveguide Sensor with Lossy Mode Resonance for Refractive Index Measurement
Abstract
1. Introduction
2. Materials and Methods
2.1. Materials
2.2. ITO Thin-Film Coating
2.3. LMR Experiment Setup
3. Results and Discussion
3.1. Temperature
3.1.1. Heat Transfer
3.1.2. Applied Voltage
3.2. LMR Spectrum
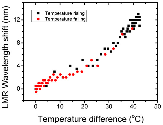
3.2.1. Temperature for a Shift in the LMR Wavelength
3.2.2. Current for a Shift in the LMR Wavelength
4. Conclusions
Author Contributions
Funding
Institutional Review Board Statement
Informed Consent Statement
Data Availability Statement
Acknowledgments
Conflicts of Interest
References
- Gupta, B.D.; Kant, R. [INVITED] Recent advances in surface plasmon resonance based fiber optic chemical and biosensors utilizing bulk and nanostructures. Opt. Laser Technol. 2018, 101, 144–161. [Google Scholar] [CrossRef]
- Nylander, C.; Liedberg, B.; Lind, T. Gas detection by means of surface plasmon resonance. Sens. Actuators 1982, 3, 79–88. [Google Scholar] [CrossRef]
- Daniyal, W.; Saleviter, S.; Fen, Y.W. Development of surface plasmon resonance spectroscopy for metal ion detection. Sens. Mater. 2018, 30, 2023–2038. [Google Scholar] [CrossRef]
- Qian, S.; Liang, Y.; Ma, J.; Zhang, Y.; Zhao, J.; Peng, W. Boronic acid modified fiber optic SPR sensor and its application in saccharide detection. Sens. Actuators B Chem. 2015, 220, 1217–1223. [Google Scholar] [CrossRef]
- Piliarik, M.; Homola, J. Surface plasmon resonance (SPR) sensors: Approaching their limits? Opt. Express 2009, 17, 16505–16517. [Google Scholar] [CrossRef]
- Sinibaldi, A.; Fieramosca, A.; Rizzo, R.; Anopchenko, A.; Danz, N.; Munzert, P.; Magistris, C.; Barolo, C.; Michelotti, F. Combining label-free and fluorescence operation of Bloch surface wave optical sensors. Opt. Lett. 2014, 39, 2947–2950. [Google Scholar] [CrossRef] [PubMed]
- Goyal, A.K.; Pal, S. Design analysis of Bloch surface wave based sensor for haemoglobin concentration measurement. Appl. Nanosci. 2020, 10, 3639–3647. [Google Scholar] [CrossRef]
- Kong, W.; Zheng, Z.; Wan, Y.; Li, S.; Liu, J. High-sensitivity sensing based on intensity-interrogated Bloch surface wave sensors. Sens. Actuators B Chem. 2014, 193, 467–471. [Google Scholar] [CrossRef]
- Gryga, M.; Ciprian, D.; Hlubina, P. Bloch surface wave resonance based sensors as an alternative to surface plasmon resonance sensors. Sensors 2020, 20, 5119. [Google Scholar] [CrossRef] [PubMed]
- Marciniak, M.; Grzegorzewski, J.; Szustakowski, M. Analysis of lossy mode cut-off conditions in planar waveguides with semiconductor guiding layer. IEE Proc. J. Optoelectron. 1993, 140, 247–252. [Google Scholar] [CrossRef]
- Villar, I.D.; Zamarreno, C.R.; Hernaez, M.; Arregui, F.J.; Matias, I.R. Lossy Mode Resonance Generation With Indium-Tin-Oxide-Coated Optical Fibers for Sensing Applications. J. Lightwave Technol. 2010, 28, 111–117. [Google Scholar] [CrossRef]
- Del Villar, I.; Hernaez, M.; Zamarreño, C.R.; Sánchez, P.; Fernández-Valdivielso, C.; Arregui, F.J.; Matias, I.R. Design rules for lossy mode resonance based sensors. Appl. Opt. 2012, 51, 4298–4307. [Google Scholar] [CrossRef] [PubMed]
- Zubiate, P.; Zamarreño, C.R.; Sánchez, P.; Matias, I.R.; Arregui, F.J. High sensitive and selective C-reactive protein detection by means of lossy mode resonance based optical fiber devices. Biosens. Bioelectron. 2017, 93, 176–181. [Google Scholar] [CrossRef]
- Paliwal, N.; John, J. Design and Modeling of Highly Sensitive Lossy Mode Resonance-Based Fiber-Optic Pressure Sensor. IEEE Sens. J. 2018, 18, 209–215. [Google Scholar] [CrossRef]
- Bohorquez, D.L.; Del Villar, I.; Corres, J.M.; Matias, I.R. Generation of lossy mode resonances in a broadband range with multilayer coated coverslips optimized for humidity sensing. Sens. Actuators B Chem. 2020, 325, 128795. [Google Scholar] [CrossRef]
- Jin, X.-P.; Sun, H.-Z.; Jin, S.-W.; Zhao, W.-M.; Tang, J.-R.; Jiang, C.-Q.; Wang, Q. High-sensitivity fiber optic magnetic field sensor based on lossy mode resonance and hollow core-offset structure. Instrum. Sci. Technol. 2021, 1–12. [Google Scholar] [CrossRef]
- Kuznetsov, P.I.; Sudas, D.P.; Savelyev, E.A. Fiber optic Lossy Mode Resonance based sensor for aggressive liquids. Sens. Actuators A Phys. 2021, 321, 112576. [Google Scholar] [CrossRef]
- Qiu, H.; Zhao, C.; Hu, X.; Chen, H.; Yu, Q.; Lian, Z.; Qu, H. Glycerol–Water Solution-Assisted Mach–Zehnder Temperature Sensor in Specialty Fiber with Two Cores and One Channel. Photonics 2021, 8, 103. [Google Scholar] [CrossRef]
- Monfared, Y.E.; Ahmadian, A.; Dhasarathan, V.; Liang, C. Liquid-Filled Highly Asymmetric Photonic Crystal Fiber Sagnac Interferometer Temperature Sensor. Photonics 2020, 7, 33. [Google Scholar] [CrossRef]
- Pathak, A.K.; Singh, V.K. Theoretical assessment of D-shaped optical fiber chemical sensor associated with nanoscale silver strip operating in near-infrared region. Opt. Quantum Electron. 2020, 52, 199. [Google Scholar] [CrossRef]
- Del Villar, I.; Bohorquez, D.L.; Caputo, D.; Buzzin, A.; Chiavaioli, F.; Baldini, F.; Zamarreño, C.R.; Matias, I.R. Lossy Mode Resonance Sensors based on Tungsten Oxide Thin Films. In Proceedings of the 2020 IEEE Sensors, Rotterdam, The Netherlands, 25–28 October 2020; pp. 1–4. [Google Scholar]
- Fuentes, O.; Corres, J.M.; Domínguez, I.; Villar, I.D.; Matias, I.R. Simultaneous Measurement of Refractive Index and Temperature using LMR on planar waveguide. In Proceedings of the 2020 IEEE Sensors, Rotterdam, The Netherlands, 25–28 October 2020; pp. 1–4. [Google Scholar]
- Dominguez, I.; Del Villar, I.; Fuentes, O.; Corres, J.M.; Matias, I.R. Dually nanocoated planar waveguides towards multi-parameter sensing. Sci. Rep. 2021, 11, 1–8. [Google Scholar] [CrossRef]
- Liu, A.-C.; Chen, L.-Y.; Chiou, C.-F.; Su, H.-J.R.; Chan, Y.-C.; Tasi, P.-H.; Chen, S.-J.; Chen, W.-Y. Thermodynamics and mechanism of ssDNA hybridization below the melting temperature by isothermal titration calorimetry. Thermochim. Acta 2005, 433, 83–87. [Google Scholar] [CrossRef]
- Stein, J.A.; Ianeselli, A.; Braun, D. Kinetic Microscale Thermophoresis for Simultaneous Measurement of Binding Affinity and Kinetics. Angew. Chem. 2021. [Google Scholar] [CrossRef]
- Kleppe, K.; Ohtsuka, E.; Kleppe, R.; Molineux, I.; Khorana, H. Studies on polynucleotides: XCVI. Repair replication of short synthetic DNA’s as catalyzed by DNA polymerases. J. Mol. Biol. 1971, 56, 341–361. [Google Scholar] [CrossRef]
- Farhoosh, R.; Hoseini-Yazdi, S.-Z. Shelf-life prediction of olive oils using empirical models developed at low and high temperatures. Food Chem. 2013, 141, 557–565. [Google Scholar] [CrossRef]
- Kovacs, Z.; Szöllősi, D.; Zaukuu, J.-L.Z.; Bodor, Z.; Vitális, F.; Aouadi, B.; Zsom-Muha, V.; Gillay, Z. Factors influencing the long-term stability of electronic tongue and application of improved drift correction methods. Biosensors 2020, 10, 74. [Google Scholar] [CrossRef] [PubMed]
- Shah, K.; Sharma, N.K.; Sajal, V. SPR based fiber optic sensor with bi layers of indium tin oxide and platinum: A theoretical evaluation. Opt. Int. J. Light Electron. Opt. 2017, 135, 50–56. [Google Scholar] [CrossRef]
- Lin, Y.C.; Chen, L.Y.; Chiu, F.C. Lossy Mode Resonance-Based Glucose Sensor with High-kappa Dielectric Film. Crystals 2019, 9, 450. [Google Scholar] [CrossRef]
- Lin, Y.C.; Chen, L.Y. Subtle Application of Electrical Field-Induced Lossy Mode Resonance to Enhance Performance of Optical Planar Waveguide Biosensor. Biosensors 2021, 11, 86. [Google Scholar] [CrossRef]
- Vitoria, I.; Ruiz Zamarreño, C.; Ozcariz, A.; Matias, I.R. Fiber Optic Gas Sensors Based on Lossy Mode Resonances and Sensing Materials Used Therefor: A Comprehensive Review. Sensors 2021, 21, 731. [Google Scholar] [CrossRef] [PubMed]
- Demeke, A.; Samaddar, M.; Alharbi, M.G.; Al-Hindi, R.R.; Bhunia, A.K. Biosensor and molecular-based methods for the detection of human coronaviruses: A review. Mol. Cell. Probes 2020, 101662. [Google Scholar] [CrossRef] [PubMed]
- Wang, Q.; Zhao, W.-M. A comprehensive review of lossy mode resonance-based fiber optic sensors. Opt. Lasers Eng. 2018, 100, 47–60. [Google Scholar] [CrossRef]
- Chiavaioli, F. Recent Development of Resonance-Based Optical Sensors and Biosensors; Multidisciplinary Digital Publishing Institute: Basel, Switzerland, 2020. [Google Scholar]
- Ozcariz, A.; Ruiz-Zamarreño, C.; Arregui, F.J. A Comprehensive Review: Materials for the Fabrication of Optical Fiber Refractometers Based on Lossy Mode Resonance. Sensors 2020, 20, 1972. [Google Scholar] [CrossRef]
- Paliwal, N.; John, J. Lossy Mode Resonance (LMR) Based Fiber Optic Sensors: A Review. IEEE Sens. J. 2015, 15, 5361–5371. [Google Scholar] [CrossRef]
- Rubin, M. Optical properties of soda lime silica glasses. Sol. Energy Mater. 1985, 12, 275–288. [Google Scholar] [CrossRef]
- Ramesh, R.; Kumar, R.K.; Kumar, T.V. Heat generation in 1–3 piezoceramic—polymer composites. J. Electroceram. 2013, 30, 251–257. [Google Scholar] [CrossRef]
- Missenard, A. Conductivité Thermique Des Solides, Liquides, Gaz et de Leurs Mélanges; Eyrolles: Paris, France, 1965. [Google Scholar]
- Atalla, S.; El-Sharkawy, A.; Gasser, F. Measurement of thermal properties of liquids with an AC heated-wire technique. Int. J. Thermophys. 1981, 2, 155–162. [Google Scholar] [CrossRef]
- Zubiate, P.; Zamarreño, C.; Del Villar, I.; Matias, I.; Arregui, F. High sensitive refractometers based on lossy mode resonances (LMRs) supported by ITO coated D-shaped optical fibers. Opt. Express 2015, 23, 8045–8050. [Google Scholar] [CrossRef]
- Usha, S.P.; Gupta, B.D. Performance analysis of zinc oxide-implemented lossy mode resonance-based optical fiber refractive index sensor utilizing thin film/nanostructure. Appl. Opt. 2017, 56, 5716–5725. [Google Scholar] [CrossRef]
- Koohyar, F.; Rostami, A.A.; Chaichi, M.J.; Kiani, F. Study on Thermodynamic Properties for Binary Systems of Water + L-Cysteine Hydrochloride Monohydrate, Glycerol, and D-Sorbitol at Various Temperatures. J. Chem. 2013, 2013, 601751. [Google Scholar] [CrossRef]









| Analyte | Water | Glycerol | ||||
|---|---|---|---|---|---|---|
| Voltage | 1 V | 4 V | 8 V | 1 V | 4 V | 8 V |
| (°C) | 1.52 | 24.64 | 53.89 | 4.72 | 36.34 | 101.12 |
| (s) | 142.86 | 89.29 | 50.33 | 106.38 | 66.89 | 38.50 |
| R-squared | 0.828 | 0.925 | 0.996 | 0.979 | 0.996 | 0.998 |
Publisher’s Note: MDPI stays neutral with regard to jurisdictional claims in published maps and institutional affiliations. |
© 2021 by the authors. Licensee MDPI, Basel, Switzerland. This article is an open access article distributed under the terms and conditions of the Creative Commons Attribution (CC BY) license (https://creativecommons.org/licenses/by/4.0/).
Share and Cite
Lin, Y.-C.; Chen, L.-Y. Development of a Temperature-Controlled Optical Planar Waveguide Sensor with Lossy Mode Resonance for Refractive Index Measurement. Photonics 2021, 8, 199. https://doi.org/10.3390/photonics8060199
Lin Y-C, Chen L-Y. Development of a Temperature-Controlled Optical Planar Waveguide Sensor with Lossy Mode Resonance for Refractive Index Measurement. Photonics. 2021; 8(6):199. https://doi.org/10.3390/photonics8060199
Chicago/Turabian StyleLin, Yu-Cheng, and Liang-Yü Chen. 2021. "Development of a Temperature-Controlled Optical Planar Waveguide Sensor with Lossy Mode Resonance for Refractive Index Measurement" Photonics 8, no. 6: 199. https://doi.org/10.3390/photonics8060199
APA StyleLin, Y.-C., & Chen, L.-Y. (2021). Development of a Temperature-Controlled Optical Planar Waveguide Sensor with Lossy Mode Resonance for Refractive Index Measurement. Photonics, 8(6), 199. https://doi.org/10.3390/photonics8060199

