Modal Analysis of Pseudo-Schell Model Sources
Abstract
1. Introduction
2. Mode Evaluation
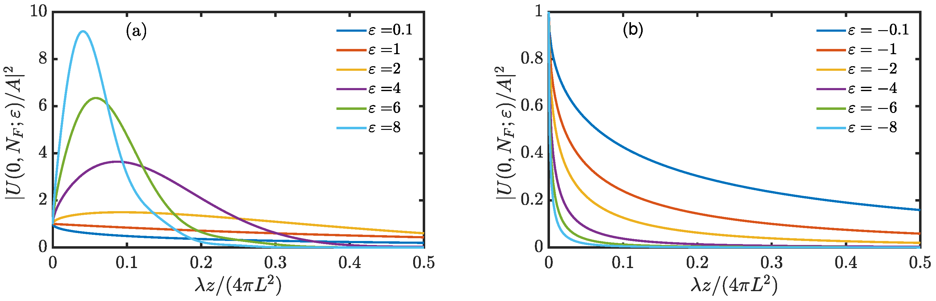
3. Mode Propagation in Near Zone
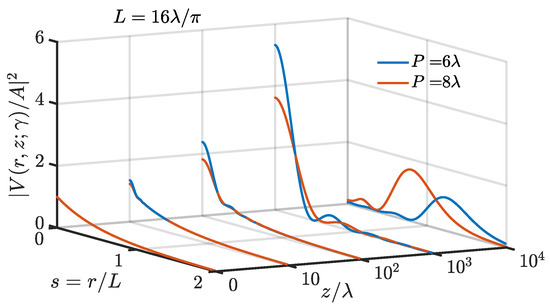
4. Mode Propagation in Far Zone
5. Discussion
Author Contributions
Funding
Institutional Review Board Statement
Informed Consent Statement
Data Availability Statement
Conflicts of Interest
Abbreviations
| CSD | Cross spectral density |
| FT | Fourier Transform |
References
- Mandel, L.; Wolf, E. Optical Coherence and Quantum Optics; Cambridge University Press: Cambridge, UK, 1995. [Google Scholar] [CrossRef]
- Ponomarenko, S.A. A class of partially coherent beams carrying optical vortices. J. Opt. Soc. Am. A 2001, 18, 150–156. [Google Scholar] [CrossRef]
- Lajunen, H.; Saastamoinen, T. Propagation characteristics of partially coherent beams with spatially varying correlations. Opt. Lett. 2011, 36, 4104–4106. [Google Scholar] [CrossRef] [PubMed]
- Cai, Y.; Chen, Y.; Wang, F. Generation and propagation of partially coherent beams with nonconventional correlation functions: A review [Invited]. J. Opt. Soc. Am. A 2014, 31, 2083–2096. [Google Scholar] [CrossRef] [PubMed]
- Cai, Y.; Chen, Y.; Yu, J.; Liu, X.; Liu, L. Generation of Partially Coherent Beams. Prog. Opt. 2017, 62, 157–223. [Google Scholar] [CrossRef]
- Santarsiero, M.; Martínez-Herrero, R.; Maluenda, D.; de Sande, J.C.G.; Piquero, G.; Gori, F. Partially coherent sources with circular coherence. Opt. Lett. 2017, 42, 1512–1515. [Google Scholar] [CrossRef] [PubMed]
- Santarsiero, M.; Martínez-Herrero, R.; Maluenda, D.; de Sande, J.C.G.; Piquero, G.; Gori, F. Synthesis of circularly coherent sources. Opt. Lett. 2017, 42, 4115–4118. [Google Scholar] [CrossRef] [PubMed]
- Hyde, M.W., IV. Controlling the Spatial Coherence of an Optical Source Using a Spatial Filter. Appl. Sci. 2018, 8, 1465. [Google Scholar] [CrossRef]
- Piquero, G.; Santarsiero, M.; Martínez-Herrero, R.; de Sande, J.C.G.; Alonzo, M.; Gori, F. Partially coherent sources with radial coherence. Opt. Lett. 2018, 43, 2376–2379. [Google Scholar] [CrossRef]
- Wu, D.; Wang, F.; Cai, Y. High-order nonuniformly correlated beams. Opt. Laser Technol. 2018, 99, 230–237. [Google Scholar] [CrossRef]
- de Sande, J.C.G.; Martínez-Herrero, R.; Piquero, G.; Santarsiero, M.; Gori, F. Pseudo-Schell model sources. Opt. Express 2019, 27, 3963–3977. [Google Scholar] [CrossRef]
- Martínez-Herrero, R.; Piquero, G.; de Sande, J.C.G.; Santarsiero, M.; Gori, F. Besinc Pseudo-Schell Model Sources with Circular Coherence. Appl. Sci. 2019, 9, 2716. [Google Scholar] [CrossRef]
- Hyde, M.W. Stochastic complex transmittance screens for synthesizing general partially coherent sources. J. Opt. Soc. Am. A 2020, 37, 257–264. [Google Scholar] [CrossRef] [PubMed]
- Wang, R.; Zhu, S.; Chen, Y.; Huang, H.; Li, Z.; Cai, Y. Experimental synthesis of partially coherent sources. Opt. Lett. 2020, 45, 1874–1877. [Google Scholar] [CrossRef]
- Dong, M.; Zhao, C.; Cai, Y.; Yang, Y. Partially coherent vortex beams: Fundamentals and applications. Sci. China Phys. Mech. Astron. 2020, 64, 224201. [Google Scholar] [CrossRef]
- Hyde, M.W. Independently Controlling Stochastic Field Realization Magnitude and Phase Statistics for the Construction of Novel Partially Coherent Sources. Photonics 2021, 8, 60. [Google Scholar] [CrossRef]
- Mei, Z.; Korotkova, O. Linear Combinations of the Complex Degrees of Coherence. Photonics 2021, 8, 146. [Google Scholar] [CrossRef]
- Li, P.; Yin, Y.; Zhu, S.; Wang, Q.; Li, Z.; Cai, Y. Constructing light with high precision using source coherence. Appl. Phys. Lett. 2021, 119, 041102. [Google Scholar] [CrossRef]
- Zhao, C.; Cai, Y. Trapping two types of particles using a focused partially coherent elegant Laguerre-Gaussian beam. Opt. Lett. 2011, 36, 2251–2253. [Google Scholar] [CrossRef]
- Korotkova, O.; Andrews, L.C.; Phillips, R.L. Model for a partially coherent Gaussian beam in atmospheric turbulence with application in Lasercom. Opt. Eng. 2004, 43, 330–341. [Google Scholar] [CrossRef]
- Ma, L.; Ponomarenko, S.A. Free-space propagation of optical coherence lattices and periodicity reciprocity. Opt. Express 2015, 23, 1848–1856. [Google Scholar] [CrossRef]
- Tong, Z.; Korotkova, O. Beyond the classical Rayleigh limit with twisted light. Opt. Lett. 2012, 37, 2595–2597. [Google Scholar] [CrossRef]
- Liang, C.; Wu, G.; Wang, F.; Li, W.; Cai, Y.; Ponomarenko, S.A. Overcoming the classical Rayleigh diffraction limit by controlling two-point correlations of partially coherent light sources. Opt. Express 2017, 25, 28352–28362. [Google Scholar] [CrossRef]
- Liang, C.; Monfared, Y.E.; Liu, X.; Qi, B.; Wang, F.; Korotkova, O.; Cai, Y. Optimizing illumination’s complex coherence state for overcoming Rayleigh’s resolution limit. Chin. Opt. Lett. 2021, 19, 052601. [Google Scholar] [CrossRef]
- Martínez-Herrero, R.; Santarsiero, M.; Piquero, G.; González de Sande, J.C. A New Type of Shape-Invariant Beams with Structured Coherence: Laguerre-Christoffel-Darboux Beams. Photonics 2021, 8, 134. [Google Scholar] [CrossRef]
- McLeod, J.H. The Axicon: A New Type of Optical Element. J. Opt. Soc. Am. 1954, 44, 592–597. [Google Scholar] [CrossRef]
- Riesz, F.; Sz-Nagy, B. Functional Analysis; Dover Publications: Mignola, NY, USA, 1955. [Google Scholar]
- Martínez-Herrero, R.; Mejías, P.M.; Gori, F. Genuine cross-spectral densities and pseudo-modal expansions. Opt. Lett. 2009, 34, 1399–1401. [Google Scholar] [CrossRef] [PubMed]
- Ronchi, V. Das Okularinterferometer und das Objektivinterferometer bei der Auflösung der Doppelsterne. Z. Phys. 1926, 37, 732–757. [Google Scholar] [CrossRef]
- Dyson, J. Circular and spiral diffraction gratings. Proc. R. Soc. Lond. A 1958, 248, 93–106. [Google Scholar] [CrossRef]
- Tichenor, D.; Bracewell, R.N. Fraunhofer diffraction of concentric annular slits. J. Opt. Soc. Am. 1973, 63, 1620–1622. [Google Scholar] [CrossRef]
- Fedotowsky, A.; Lehovec, K. Far Field Diffraction Patterns of Circular Gratings. Appl. Opt. 1974, 13, 2638–2642. [Google Scholar] [CrossRef]
- Khonina, S.; Kotlyar, V.; Soifer, V.; Shinkaryev, M.; Uspleniev, G. Trochoson. Opt. Commun. 1992, 91, 158–162. [Google Scholar] [CrossRef]
- Friberg, A.T. Stationary-phase analysis of generalized axicons. J. Opt. Soc. Am. A 1996, 13, 743–750. [Google Scholar] [CrossRef]
- Amidror, I. Fourier spectrum of radially periodic images. J. Opt. Soc. Am. A 1997, 14, 816–826. [Google Scholar] [CrossRef]
- Topuzoski, S.; Janicijevic, L. Diffraction characteristics of optical elements designed as phase layers with cosine-profiled periodicity in the azimuthal direction. J. Opt. Soc. Am. A 2011, 28, 2465–2472. [Google Scholar] [CrossRef] [PubMed][Green Version]
- Wang, Y.; Yan, S.; Friberg, A.T.; Kuebel, D.; Visser, T.D. Electromagnetic diffraction theory of refractive axicon lenses. J. Opt. Soc. Am. A 2017, 34, 1201–1211. [Google Scholar] [CrossRef] [PubMed]
- Yu, J.; Miao, C.; Wu, J.; Zhou, C. Circular Dammann gratings for enhanced control of the ring profile of perfect optical vortices. Photon. Res. 2020, 8, 648–658. [Google Scholar] [CrossRef]
- Gori, F. Far-zone approximation for partially coherent sources. Opt. Lett. 2005, 30, 2840–2842. [Google Scholar] [CrossRef]
- Whittaker, E.T.; Watson, G.N. A Course of Modern Analysis; Cambridge University Press: Cambridge, UK, 1996. [Google Scholar] [CrossRef]
- Gradshteiin, I.S.; Ryzhik, I.M. Table of Integrals, Series, And Products, 4th ed.; Academic Press: Cambridge, MA, USA, 1965. [Google Scholar]
- Gori, F.; Santarsiero, M. Devising genuine spatial correlation functions. Opt. Lett. 2007, 32, 3531–3533. [Google Scholar] [CrossRef]
- Gori, F.; Martínez-Herrero, R. Reproducing Kernel Hilbert spaces for wave optics: Tutorial. J. Opt. Soc. Am. A 2021, 38, 737–748. [Google Scholar] [CrossRef]
- Born, M.; Wolf, E. Principles of Optics, 6th ed.; Cambridge University Press: Cambridge, UK, 1980. [Google Scholar]
- Bracewell, R.N. The Fourier Transform and Its Applications; McGraw-Hill: New York, NY, USA, 1978. [Google Scholar]





Publisher’s Note: MDPI stays neutral with regard to jurisdictional claims in published maps and institutional affiliations. |
© 2021 by the authors. Licensee MDPI, Basel, Switzerland. This article is an open access article distributed under the terms and conditions of the Creative Commons Attribution (CC BY) license (https://creativecommons.org/licenses/by/4.0/).
Share and Cite
Santarsiero, M.; Martínez-Herrero, R.; Piquero, G.; de Sande, J.C.G.; Gori, F. Modal Analysis of Pseudo-Schell Model Sources. Photonics 2021, 8, 449. https://doi.org/10.3390/photonics8100449
Santarsiero M, Martínez-Herrero R, Piquero G, de Sande JCG, Gori F. Modal Analysis of Pseudo-Schell Model Sources. Photonics. 2021; 8(10):449. https://doi.org/10.3390/photonics8100449
Chicago/Turabian StyleSantarsiero, Massimo, Rosario Martínez-Herrero, Gemma Piquero, Juan Carlos González de Sande, and Franco Gori. 2021. "Modal Analysis of Pseudo-Schell Model Sources" Photonics 8, no. 10: 449. https://doi.org/10.3390/photonics8100449
APA StyleSantarsiero, M., Martínez-Herrero, R., Piquero, G., de Sande, J. C. G., & Gori, F. (2021). Modal Analysis of Pseudo-Schell Model Sources. Photonics, 8(10), 449. https://doi.org/10.3390/photonics8100449

