Programmable High-Resolution Spectral Processor in C-band Enabled by Low-Cost Compact Light Paths
Abstract
1. Introduction
2. Materials and Methods
2.1. Principle of Operation
2.2. Implementation
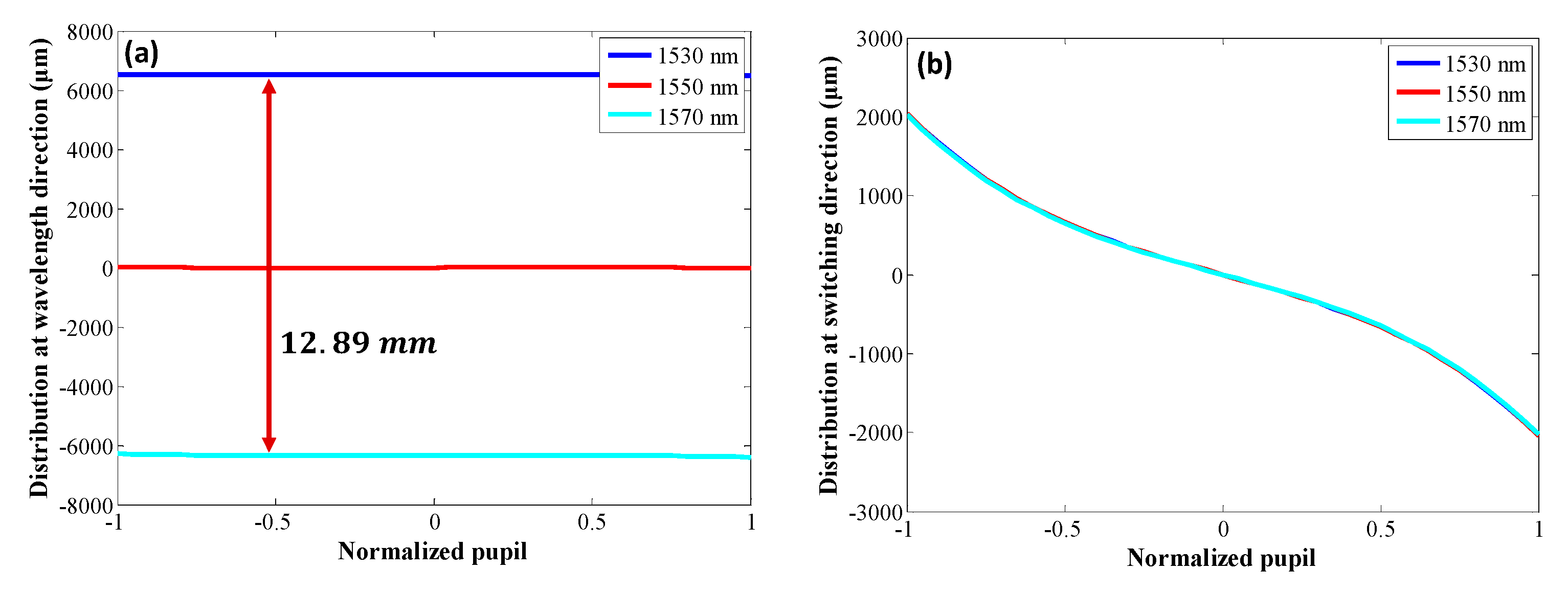
2.2.1. Optical Path Design Using Zemax
2.2.2. Experimental Setup
3. Experimental Results and Discussions
4. Conclusions
Author Contributions
Funding
Acknowledgments
Conflicts of Interest
References
- Zhang, J.; Yu, J.; Zhu, B.; Li, F.; Chien, H.; Jia, Z.; Cai, Y.; Li, X.; Xiao, X.; Fang, Y.; et al. Transmission of single-carrier 400G signals (515.2-Gb/s) based on 128.8-GBaud PDM QPSK over 10,130-and 6,078 km terrestrial fiber links. Opt. Express 2017, 23, 16540–16545. [Google Scholar] [CrossRef]
- Marom, D.M.; Colbourne, P.D.; D’Errico, A.; Fontaine, N.K.; Ikuma, Y.; Proietti, R.; Zong, L.; Moscoso, J.; Tomkos, I. Survey of photonic switching architectures and technologies in support of spatially and spectrally flexible optical networking. J. Opt. Commun. Netw. 2017, 9, 1. [Google Scholar] [CrossRef]
- Chandrasekhar, S.; Liu, X. OFDM based superchannel transmission technology. IEEE/OSA J. Lightwave Technol. 2012, 30, 3816–3823. [Google Scholar] [CrossRef]
- Xiang, M.; Fu, S.; Tang, M.; Taang, H.; Shum, P.; Liu, D. Nyquist WDM superchannel using offset-16QAM and receiver-side digital spectral shaping. Opt. Express 2014, 22, 17448. [Google Scholar] [CrossRef] [PubMed]
- Woodward, S.L.; Feuer, M.D. Benefits and requirements of flexible-grid ROADMs and networks. J. Opt. Commun. Netw. 2013, 5, A19. [Google Scholar] [CrossRef]
- Li, Y.; Zong, L.; Gao, M.; Mukherjee, B.; Shen, G. Colorless, partially directional, and contentionless architecture for high-degree ROADMs. In Proceedings of the Optical Fiber Communications Conference and Exhibition (OFC), San Diego, CA, USA, 8–12 March 2020; IEEE: Piscataway, NJ, USA, 2020; p. M4D.2. [Google Scholar]
- Yang, H.; Dolan, P.; Robertson, B.; Wilkinson, P.; Chu, D. Crosstalk spectrum optimisation for stacked wavelength selective switches based on 2D beam steering. In Proceedings of the Optical Fiber Communications Conference and Exhibition (OFC), San Diego, CA, USA, 11–15 March 2018; IEEE: Piscataway, NJ, USA, 2018; p. Th1J.2. [Google Scholar]
- Wilkinson, P.; Robertson, B.; Giltrap, S.; Snowdon, O.; Prudden, H.; Yang, H.; Chu, D. 241 × 12 wavelength-selective switches using a 312-port 3D waveguide and a single 4k LCoS. In Proceedings of the Optical Fiber Communications Conference and Exhibition (OFC), San Diego, CA, USA, 8–12 March 2020; IEEE: Piscataway, NJ, USA, 2020; p. M3F.2. [Google Scholar]
- Ma, Y.; Clarke, I.; Stewart, L. Recent progress on wavelength selective switch. In Proceedings of the Optical Fiber Communications Conference and Exhibition (OFC), San Diego, CA, USA, 8–12 March 2020; IEEE: Piscataway, NJ, USA, 2020; p. M3F.1. [Google Scholar]
- Sorimoto, K.; Tanizawa, K.; Uetsuka, H.; Kawashima, H.; Mori, M.; Hasama, T.; Ishikawa, H.; Tsuda, H. Compact and phase-error-robust multilayered AWG-based wavelength selective switch driven by a single LCOS. Opt. Express 2013, 24, 17131–17149. [Google Scholar] [CrossRef] [PubMed]
- Robertson, B.; Yang, H.; Redmond, M.; Collings, N.; Moore, J.R.; Liu, J.; Jeziorska-Chapman, A.M.; Pivnenko, M.; Lee, S.A.; Wonfor, I.H.; et al. Demonstration of multi-casting in a 1 × 9 lcos wavelength selective switch. IEEE/OSA J. Lightwave Technol. 2014, 32, 402. [Google Scholar] [CrossRef]
- Iwama, M.; Takahashi, M.; Kimura, M.; Uchida, Y.; Hasegawa, J.; Hara, R.K.; Kagi, N. LCoS-based flexible grid 1 × 40 wavelength selective switch using planar lightwave circuit as spot size converter. In Proceedings of the Optical Fiber Communications Conference and Exhibition (OFC), Los Angeles, CA, USA, 22–26 March 2015; IEEE: Piscataway, NJ, USA, 2015; p. Tu3A.8. [Google Scholar]
- Lu, T.; Collings, N.; Robertson, B.; Chu, D. Design of a low-cost and compact 1 × 5 wavelength-selective switch for access networks. OSA Appl. Opt. 2015, 54, 8844–8855. [Google Scholar] [CrossRef] [PubMed]
- Xie, D.; Wang, D.; Zhang, M.; Liu, Z.; You, Q.; Yang, Q.; Yu, S. LCoS-based wavelength-selective switch for future finer-grid elastic optical networks capable of all-optical wavelength conversion. IEEE Photonics J. 2017, 9, 7101212. [Google Scholar] [CrossRef]
- Gao, Y.; Chen, G.; Chen, X.; Zhang, Q.; Chen, Q.; Zhang, C.; Tian, K.; Tan, Z.; Yu, C. High-resolution tunable filter with flexible bandwidth and power attenuation based on an LCoS processor. IEEE Photonics J. 2018, 10, 6. [Google Scholar] [CrossRef]
- Gao, Y.; Chen, X.; Chen, G.; Tan, Z.; Chen, Q.; Dai, D.; Zhang, Q.; Yu, C. Programmable spectral filter in C-Band based on digital micromirror device. Micromachines 2019, 10, 163. [Google Scholar] [CrossRef] [PubMed]
- Rudnick, R.; Tolmachev, A.; Sinefeld, D.; Golani, O.; Ben-Ezra, S.; Nazarathy, M.; Marom, D.M. Sub-GHz resolution photonic spectral processor and its system applications. IEEE/OSA J. Lightwave Technol. 2017, 35, 2218. [Google Scholar] [CrossRef]
- Xie, D.; Liu, Z.; You, Q.; Yu, S. Demonstration of a 3 × 4 tunable bandwidth WSS with tunable attenuation using compact spatial light paths. Opt. Express 2017, 25, 11173. [Google Scholar] [CrossRef] [PubMed]
- Fontaine, N.K.; Ryf, R.; Neilson, D.T. N × M wavelength selective crossconnect with flexible passbands. In Proceedings of the Optical Fiber Communications Conference and Exhibition (OFC), Los Angeles, CA, USA, 4–8 March 2012; IEEE: Piscataway, NJ, USA, 2011; p. PDP5B.2. [Google Scholar]
- Xiao, F.; Alameh, K. Opto-VLSI-based N × M wavelength selective switch. OSA Opt. Express 2013, 21, 18160. [Google Scholar] [CrossRef] [PubMed]
- Lbsen Photonics, PING-Sample-083. Available online: https://ibsen.com/products/transmission-gratings/ping-telecom-%20gratings/telecom-c-band-gratings/ping-sample-083/ (accessed on 5 December 2020).
- Palmer, C.A.; Loewen, E.G. Diffraction Grating Handbook; Thermo RGL: New York, NY, USA, 2002. [Google Scholar]
- Born, M.; Wolf, E. Principles of optics: Electromagnetic theory of propagation, interference and diffraction of light. Phys. Today 2000, 53, 77. [Google Scholar] [CrossRef]
- Wang, M.; Zong, L.; Mao, L.; Marquez, A.; Ye, Y.; Zhao, H.; Vaquero, F.J. LCoS SLM study and its application in wavelength selective switch. Photonics 2017, 4, 22. [Google Scholar] [CrossRef]









Publisher’s Note: MDPI stays neutral with regard to jurisdictional claims in published maps and institutional affiliations. |
© 2020 by the authors. Licensee MDPI, Basel, Switzerland. This article is an open access article distributed under the terms and conditions of the Creative Commons Attribution (CC BY) license (http://creativecommons.org/licenses/by/4.0/).
Share and Cite
Liu, Z.; Li, C.; Tao, J.; Yu, S. Programmable High-Resolution Spectral Processor in C-band Enabled by Low-Cost Compact Light Paths. Photonics 2020, 7, 127. https://doi.org/10.3390/photonics7040127
Liu Z, Li C, Tao J, Yu S. Programmable High-Resolution Spectral Processor in C-band Enabled by Low-Cost Compact Light Paths. Photonics. 2020; 7(4):127. https://doi.org/10.3390/photonics7040127
Chicago/Turabian StyleLiu, Zichen, Chao Li, Jin Tao, and Shaohua Yu. 2020. "Programmable High-Resolution Spectral Processor in C-band Enabled by Low-Cost Compact Light Paths" Photonics 7, no. 4: 127. https://doi.org/10.3390/photonics7040127
APA StyleLiu, Z., Li, C., Tao, J., & Yu, S. (2020). Programmable High-Resolution Spectral Processor in C-band Enabled by Low-Cost Compact Light Paths. Photonics, 7(4), 127. https://doi.org/10.3390/photonics7040127

