Integrated Microwave Photonics for Wideband Signal Processing
Abstract
:1. Introduction
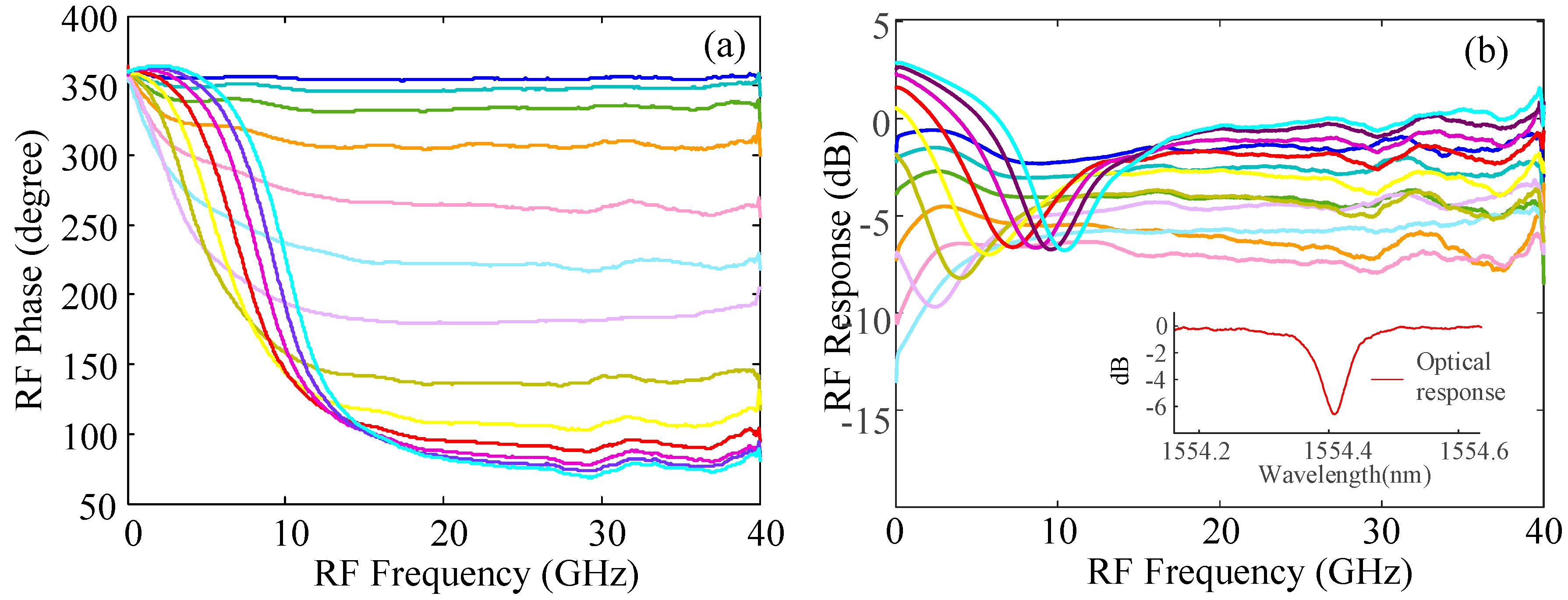
2. Integrated MWP Phase Shifter
3. Integrated MWP Delay Line
4. Integrated MWP Filter
5. Integrated MWP for Optical Sensing Applications
6. Integrated MWP for Inline Photonic Signal Processing and Full Platform Integration
7. Conclusions
Acknowledgments
Author Contributions
Conflicts of Interest
References
- Minasian, R.A.; Chan, E.H.; Yi, X. Microwave photonic signal processing. Opt. Express 2013, 21, 22918–22936. [Google Scholar] [CrossRef]
- Ridgway, R.W.; Dohrman, C.L.; Conway, J.A. Microwave Photonics Programs at DARPA. J. Lightwave Technol. 2014, 32, 3428–3439. [Google Scholar] [CrossRef]
- Capmany, J.; Novak, D. Microwave photonics combines two worlds. Nat. Photonics 2007, 1, 319–330. [Google Scholar] [CrossRef]
- Minasian, R.A. Ultra-Wideband and Adaptive Photonic Signal Processing of Microwave Signals. IEEE J. Quantum Electron. 2016, 52, 1–13. [Google Scholar] [CrossRef]
- Chen, L.R. Silicon Photonics for Microwave Photonics Applications. J. Lightwave Technol. 2017, 35, 824–835. [Google Scholar] [CrossRef]
- Zhang, W.; Yao, J.P. Silicon-based integrated microwave photonics. IEEE J. Quantum Electron. 2016, 52, 0600412. [Google Scholar] [CrossRef]
- Marpaung, D.; Roeloffzen, C.; Heideman, R.; Leinse, A.; Sales, S.; Capmany, J. Integrated microwave photonics. Laser Photonics Rev. 2013, 7, 506–538. [Google Scholar] [CrossRef]
- Fandiño, J.S.; Muñoz, P.; Doménech, D.; Capmany, J. A Monolithic Integrated Microwave Photonics Filter. Nat. Photonics 2017, 11, 124–129. [Google Scholar] [CrossRef]
- Roeloffzen, C.G.H.; Zhuang, L.; Taddei, C.; Leinse, A.; Heideman, R.G.; van Dijk, P.W.L.; Oldenbeuving, R.M.; Marpaung, D.; Burla, M.; Boller, K.J. Silicon nitride microwave photonic circuits. Opt. Express 2013, 21, 22937–22961. [Google Scholar] [CrossRef] [PubMed]
- Yi, X.; Huang, T.X.H.; Minasian, R.A. Tunable and Reconfigurable Photonic Signal Processor with Programmable All-Optical Complex Coefficients. IEEE Trans. Microw. Theory Tech. 2010, 58, 3088–3093. [Google Scholar] [CrossRef]
- Meijerink, A.; Roeloffzen, C.G.H.; Meijerink, R.; Zhuang, L.; Marpaung, D.A.I.; Bentum, M.J.; Burla, M.; Verpoorte, J.; Jorna, P.; Hulzinga, A.; et al. Novel Ring Resonator-Based Integrated Photonic Beamformer for Broadband Phased Array Receive Antennas—Part I: Design and Performance Analysis. J. Lightwave Technol. 2010, 28, 3–18. [Google Scholar] [CrossRef]
- Yi, X.; Huang, T.X.H.; Minasian, R.A. Photonic beamforming based on programmable phase shifters with amplitude and phase control. IEEE Photonics Technol. Lett. 2011, 23, 1286–1288. [Google Scholar] [CrossRef]
- Loayssa, A.; Lahoz, F.J. Broad-band RF photonic phase shifter based on stimulated Brillouin scattering and single-sideband modulation. IEEE Photonics Technol. Lett. 2006, 18, 208–210. [Google Scholar] [CrossRef]
- Lee, K.H.; Jhon, Y.M.; Choi, W.Y. Photonic phase shifters based on a vector-sum technique with polarization-maintaining fibers. Opt. Lett. 2005, 30, 702–704. [Google Scholar] [CrossRef] [PubMed]
- Adams, D.B.; Madsen, C.K. A Novel Broadband Photonic RF Phase Shifter. J. Lightwave Technol. 2008, 26, 2712–2717. [Google Scholar] [CrossRef]
- Sancho, J.; Lloret, J.; Gasulla, I.; Sales, S.; Capmany, J. Fully tunable 360° microwave photonic phase shifter based on a single semiconductor optical amplifier. Opt. Express 2011, 19, 17421–17426. [Google Scholar] [CrossRef] [PubMed]
- Shahoei, H.; Yao, J. Tunable microwave photonic phase shifter based on slow and fast light effects in a tilted fiber Bragg grating. Opt. Express 2012, 20, 14009–14014. [Google Scholar] [CrossRef] [PubMed]
- Wang, X.; Chan, E.H.W.; Minasian, R.A. All-Optical Photonic Microwave Phase Shifter Based on an Optical Filter with a Nonlinear Phase Response. J. Lightwave Technol. 2013, 31, 3323–3330. [Google Scholar] [CrossRef]
- Pan, S.; Zhang, Y. Tunable and wideband microwave photonic phase shifter based on a single-sideband polarization modulator and a polarizer. Opt. Lett. 2012, 37, 4483–4485. [Google Scholar] [CrossRef] [PubMed]
- Li, W.; Sun, W.H.; Wang, W.T.; Wang, L.X.; Liu, J.G.; Zhu, N.H. Photonic-assisted microwave phase shifter using a DMZM and an optical bandpass filter. Opt. Express 2014, 22, 5522–5527. [Google Scholar] [CrossRef] [PubMed]
- Burla, M.; Cortés, L.R.; Li, M.; Wang, X.; Chrostowski, L.; Azaña, J. On-chip programmable ultra-wideband microwave photonic phase shifter and true time delay unit. Opt. Lett. 2014, 39, 6181–6184. [Google Scholar] [CrossRef] [PubMed]
- Chew, S.X.; Nguyen, L.; Yi, X.; Song, S.; Li, L.; Bian, P.; Minasian, R. Distributed optical signal processing for microwave photonics subsystems. Opt. Express 2016, 24, 4730–4739. [Google Scholar] [CrossRef] [PubMed]
- Chang, Q.; Li, Q.; Zhang, Z.; Qiu, M.; Ye, T.; Su, Y. A tunable broadband photonic RF phase shifter based on a silicon microring resonator. IEEE Photonics Technol. Lett. 2009, 21, 60–62. [Google Scholar] [CrossRef]
- Pu, M.; Liu, L.; Xue, W.; Ding, Y.; Ou, H.; Yvind, K.; Hvam, J.M. Widely tunable microwave phase shifter based on silicon-on-insulator dual-microring resonator. Opt. Express 2010, 18, 6172–6182. [Google Scholar] [CrossRef] [PubMed]
- Pagani, M.; Marpaung, D.; Choi, D.Y.; Madden, S.J.; Luther-Davies, B.; Eggleton, B.J. Tunable wideband microwave photonic phase shifter using on-chip stimulated Brillouin scattering. Opt. Express 2014, 22, 28810–28818. [Google Scholar] [CrossRef] [PubMed]
- Capmany, J.; Domenech, D.; Muñoz, P. Silicon graphene waveguide tunable broadband microwave photonics phase shifter. Opt. Express 2014, 22, 8094–8100. [Google Scholar] [CrossRef] [PubMed]
- Hervás, J.; Suárez, I.; Pérez, J.; Cantó, P.J.R.; Abargues, R.; Martínez-Pastor, J.P.; Sales, S.; Capmany, J. MWP phase shifters integrated in PbS-SU8 waveguides. Opt. Express 2015, 23, 14351–14359. [Google Scholar] [CrossRef] [PubMed]
- Liu, X.; Sun, C.; Xiong, B.; Wang, J.; Wang, L.; Han, Y.; Hao, Z.; Li, H.; Luo, Y.; Yan, J.; et al. Broadband tunable microwave photonic phase shifter with low RF power variation in a high-Q AlN microring. Opt. Lett. 2016, 41, 3599–3602. [Google Scholar] [CrossRef] [PubMed]
- Lloret, J.; Morthier, G.; Ramos, F.; Sales, S.; van Thourhout, D.; Spuesens, T.; Olivier, N.; Fédéli, J.; Capmany, J. Broadband microwave photonic fully tunable filter using a single heterogeneously integrated III-V/SOI-microdisk-based phase shifter. Opt. Express 2012, 20, 10796–10806. [Google Scholar] [CrossRef] [PubMed]
- Zhang, J.; Yao, J.P. Photonic dispersive delay line for broadband microwave signal processing. IEEE Trans. Microw. Theory Tech. 2017, 65, 1891–1903. [Google Scholar] [CrossRef]
- Yi, X.; Li, L.; Huang, T.X.H.; Minasian, R.A. Programmable multiple true-time-delay elements based on a Fourier-domain optical processor. Opt. Lett. 2012, 37, 608–610. [Google Scholar] [CrossRef] [PubMed]
- Lee, H.; Chen, T.; Li, J.; Painter, O.; Vahala, K.J. Ultra-low-loss optical delay line on a silicon chip. Nat. Commun. 2012, 3, 1–7. [Google Scholar] [CrossRef] [PubMed]
- Bauters, J.F.; Heck, M.J.R.; John, D.D.; Barton, J.S.; Bruinink, C.M.; Leinse, A.; Heideman, R.G.; Blumenthal, D.J.; Bowers, J.E. Planar waveguides with less than 0.1 dB/m propagation loss fabricated with wafer bonding. Opt. Express 2011, 19, 24090–24101. [Google Scholar] [CrossRef] [PubMed]
- Bauters, J.F.; Heck, M.J.; John, D.; Dai, D.; Tien, M.C.; Barton, J.S.; Leinse, A.; Heideman, R.G.; Blumenthal, D.J.; Bowers, J.E. Ultra-low-loss high-aspect-ratio Si3N4 waveguides. Opt. Express 2011, 19, 3163–3174. [Google Scholar] [CrossRef] [PubMed]
- Rangarajan, B.; Kovalgin, A.Y.; Wörhoff, K.; Schmitz, J. Low-temperature deposition of high-quality silicon oxynitride films for CMOS-integrated optics. Opt. Lett. 2013, 38, 941–943. [Google Scholar] [CrossRef] [PubMed]
- Belt, M.; Davenport, M.L.; Bowers, J.E.; Blumenthal, D.J. Ultra-low-loss tantalum pentoxide(Ta2O5)-core/SiO2-clad planar waveguides on Si substrates. Optica 2017, 4, 532–536. [Google Scholar] [CrossRef]
- Ilchenko, V.S.; Matsko, A.B. Optical resonators with whispering-gallery modes-part II: Applications. IEEE J. Sel. Top. Quantum Electron. 2006, 12, 15–32. [Google Scholar] [CrossRef]
- Asano, M.; Özdemir, Ş.K.; Chen, W.; Ikuta, R.; Yang, L.; Imoto, N.; Yamamoto, T. Controlling slow and fast light and dynamic pulse-splitting with tunable optical gain in a whispering-gallery-mode microcavity. Appl. Phys. Lett. 2016, 108, 181105. [Google Scholar] [CrossRef]
- Xie, Y.; Zhuang, L.; Boller, K.; Lowery, A.J. Lossless microwave photonic delay line using a ring resonator with an integrated semiconductor optical amplifier. J. Opt. 2017, 19, 065802. [Google Scholar] [CrossRef]
- Bogaerts, W.; de Heyn, P.; van Vaerenbergh, T.; de Vos, K.; Selvaraja, S.K.; Claes, T.; Dumon, P.; Bienstman, P.; van Thourhout, D.; Baets, R. Silicon microring resonators. Laser Photonics Rev. 2012, 6, 47–73. [Google Scholar] [CrossRef]
- Morichetti, F.; Ferrari, C.; Canciamilla, A.; Melloni, A. The first decade of coupled resonator optical waveguide: Bringing slow light to applications. Laser Photonics Rev. 2012, 6, 74–76. [Google Scholar] [CrossRef]
- Cooper, M.L.; Gupta, G.; Schneider, M.A.; Green, W.M.J.; Assefa, S.; Xia, F.; Gifford, D.K.; Mookherjea, S. Waveguide dispersion effects in silicon-on-insulator coupled-resonator optical waveguides. Opt. Lett. 2010, 35, 3030–3032. [Google Scholar] [CrossRef] [PubMed]
- Cardenas, J.; Foster, M.A.; Sherwood-Droz, N.; Poitras, C.B.; Lira, H.L.R.; Zhang, B.; Gaeta, A.L.; Khurgin, J.B.; Morton, P.; Lipson, M. Wide-bandwidth continuously tunable optical delay line using silicon microring resonators. Opt. Express 2010, 18, 26525–26534. [Google Scholar] [CrossRef] [PubMed]
- Hui, A.T.L.; Yi, X.; Song, S.; Nguyen, L. Continuously Tunable Delay Line Based on Eye-Like Ring Resonator. In Proceedings of the 2016 International Conference on Electromagnetics in Advanced Applications (ICEAA), Cairns, Australia, 19–23 September 2016; pp. 655–658. [Google Scholar]
- Moreira, R.L.; Garcia, J.; Li, W.; Bauters, J.; Barton, J.S.; Heck, M.J.R.; Bowers, J.E.; Blumenthal, D. Integrated ultra-low-loss 4-bit tunable delay for broadband phased array antenna applications. IEEE Photonics Technol. Lett. 2013, 25, 1165–1168. [Google Scholar] [CrossRef]
- Melati, D.; Waqas, A.; Mushtaq, Z.; Melloni, A. Wideband Integrated Optical Delay Line Based on a Continuously Tunable Mach–Zehnder Interferometer. IEEE J. Sel. Top. Quantum Electron. 2018, 24, 4400108. [Google Scholar] [CrossRef]
- Wang, X.; Zhou, L.; Li, R.; Xie, J.; Lu, L.; Wu, K.; Chen, J. Continuously tunable ultra-thin silicon waveguide optical delay line. Optica 2017, 4, 507–515. [Google Scholar] [CrossRef]
- Tatoli, T.; Conteduca, D.; Dell’Olio, F.; Ciminelli, C.; Armenise, M.N. Graphene-based fine-tunable optical delay line for optical beamforming in phased-array antennas. Appl. Opt. 2016, 55, 4342–4349. [Google Scholar] [CrossRef] [PubMed]
- Chen, C.J.; Husko, C.A.; Meric, I.; Shepard, K.L.; Wong, C.W.; Green, W.M.J.; Vlasov, Y.A.; Assefa, S. Deterministic tuning of slow-light in photonic-crystal waveguides through the C and L bands by atomic layer deposition. Appl. Phys. Lett. 2010, 96, 081107. [Google Scholar] [CrossRef]
- Sancho, J.; Bourderionnet, J.; Lloret, J.; Combrié, S.; Gasulla, I.; Xavier, S.; Sales, S.; Colman, P.; Lehoucq, G.; Dolfi, D.; et al. Integrable microwave filter based on a photonic crystal delay line. Nat. Commun. 2012, 3, 1075. [Google Scholar] [CrossRef] [PubMed]
- Li, L.; Yi, X.; Huang, T.X.H.; Minasian, R.A. High-resolution single bandpass microwave photonic filter with shape-invariant tenability. IEEE Photonics Technol. Lett. 2014, 26, 82–85. [Google Scholar] [CrossRef]
- Capmany, J.; Munoz, P. Integrated Microwave Photonics for Radio Access Networks. J. Lightwave Technol. 2014, 32, 2849–2861. [Google Scholar] [CrossRef]
- Yu, H.; Li, P.; Chen, M.; Chen, H.; Yang, S.; Xie, S. Analog photonic link based on the Aulter-Townes splitting induced dual-band filter for OCS and the SOI signal processor. Opt. Lett. 2015, 40, 2225–2228. [Google Scholar] [CrossRef] [PubMed]
- Leitner, P.; Yi, X.; Li, L.; Huang, T.X.H. Fully programmable spectrum sliced chirped microwave photonic filter. Opt. Express 2015, 23, 4033–4045. [Google Scholar] [CrossRef] [PubMed]
- Norberg, E.J.; Guzzon, R.S.; Parker, J.S.; Johansson, L.A.; Coldren, L.A. Programmable photonic microwave filters monolithically integrated in InP/InGaAsP. J. Lightwave Technol. 2011, 29, 1611–1619. [Google Scholar] [CrossRef]
- Liao, S.; Ding, Y.; Peucheret, C.; Yang, T.; Dong, J.; Zhang, X. Integrated programmable photonic filter on the silicon-on-insulator platform. Opt. Express 2014, 22, 31993–31998. [Google Scholar] [CrossRef] [PubMed]
- Chen, H.W.; Fang, A.W.; Peters, J.D.; Wang, Z.; Bovington, J.; Di, L.; Bowers, J.E. Integrated Microwave Photonic Filter on a Hybrid Silicon Platform. IEEE Trans. Microw. Theory Tech. 2010, 58, 3213–3219. [Google Scholar] [CrossRef]
- Xue, X.; Xuan, Y.; Kim, H.; Wang, J.; Leaird, D.E.; Qi, M.; Weiner, A.M. Programmable Single-Bandpass Photonic RF Filter Based on Kerr Comb from a Microring. J. Lightwave Technol. 2014, 32, 3557–3565. [Google Scholar] [CrossRef]
- Li, W.; Li, M.; Yao, J. A Narrow-Passband and Frequency-Tunable RF Filter Based on Phase-Modulation to Intensity-Modulation Conversion Using a Phase-Shifted Fiber Bragg Grating. IEEE Trans. Microw. Theory Tech. 2012, 60, 1287–1296. [Google Scholar] [CrossRef]
- Yi, X.; Minasian, R.A. RF filter with single bandpass response. Electron. Lett. 2009, 45, 362–363. [Google Scholar] [CrossRef]
- Chen, T.; Yi, X.; Li, L.; Minasian, R. Single passband RF filter with wideband tunability and adjustable bandwidth. Opt. Lett. 2012, 37, 4699–4701. [Google Scholar] [CrossRef] [PubMed]
- Zhang, W.; Minasian, R.A. Widely tunable single-passband RF filter based on stimulated brillouin scattering. IEEE Photonics Technol. Lett. 2011, 23, 1775–1777. [Google Scholar] [CrossRef]
- Hu, S.; Li, L.; Yi, X.; Yu, C. Ultra-flat Widely Tuned Single Bandpass Filter Based on Stimulated Brillouin Scattering. IEEE Photonics Technol. Lett. 2014, 26, 1466–1469. [Google Scholar] [CrossRef]
- Palaci, J.; Villanueva, G.E.; Galan, J.V.; Marti, J.; Vidal, B. Single Bandpass Photonic Microwave Filter Based on a Notch Ring Resonator. IEEE Photonics Technol. Lett. 2010, 22, 1276–1278. [Google Scholar] [CrossRef]
- Ehteshami, N.; Zhang, W.; Yao, J. Optically Tunable Single Passband RF Tilter Based on Phase-Modulation to Intensity-Modulation Conversion in a Silicon-on-Insulator Microring Resonator. In Proceedings of the 2015 International Topical Meeting on RFs (MWP), Paphos, Cyprus, 26–29 October 2015; pp. 1–4. [Google Scholar]
- Yang, W.; Yi, X.; Song, S.; Chew, S.X.; Li, L.; Nguyen, L. Tunable Single Bandpass Microwave Photonic Filter Based on Phase Compensated Silicon-on-Insulator Microring Resonator. In Proceedings of the 2016 21st OptoElectronics and Communications Conference (OECC) Held Jointly with 2016 International Conference on Photonics in Switching (PS), Niigata, Japan, 3–7 July 2016; pp. 1–3. [Google Scholar]
- Song, S.; Chew, S.X.; Yi, X.; Nguyen, L.; Minasian, R. Tunable Single Passband Microwave Photonic Filter using a Cascaded Pair of Microring Resonators. In Proceedings of the 2017 International Topical Meeting on RFs (MWP), Beijing, China, 23–26 October 2017. [Google Scholar]
- Li, L.; Yi, X.; Huang, T.X.H.; Minasian, R.A. Directly Synthesized Complex Impulse Response Technique in Microwave Photonic Signal Processor and Its Experimental Characterization. IEEE Microw. Wirel. Compon. Lett. 2017, 27, 602–604. [Google Scholar] [CrossRef]
- Yi, L.; Wei, W.; Jaouën, Y.; Shi, M.; Han, B.; Morvan, M.; Hu, W. Polarization-Independent Rectangular Microwave Photonic Filter Based on Stimulated Brillouin Scattering. J. Lightwave Technol. 2016, 34, 669–675. [Google Scholar] [CrossRef]
- Xue, X.; Zheng, X.; Zhang, H.; Zhou, B. Highly reconfigurable microwave photonic single-bandpass filter with complex continuous-time impulse responses. Opt. Express 2012, 20, 26929–26934. [Google Scholar] [CrossRef] [PubMed]
- Song, S.; Yi, X.; Chew, S.X.; Li, L.; Nguyen, L.; Bian, P. Integrated SOI Stagger-Tuned Optical Filter with Flat-Top Response. J. Lightwave Technol. 2016, 34, 2318–2323. [Google Scholar] [CrossRef]
- Gao, L.; Chen, X.; Yao, J. Tunable Microwave Photonic Filter with a Narrow and Flat-Top Passband. IEEE Microw. Wirel. Compon. Lett. 2013, 23, 362–364. [Google Scholar] [CrossRef]
- Tian, Y.; Song, S.; Powell, K.; Lee, K.L.; Lim, C.; Nirmalathas, A.; Yi, X. A 60-GHz Radio-Over-Fiber Fronthaul Using Integrated Microwave Photonics Filters. IEEE Photonics Technol. Lett. 2017, 29, 1663–1666. [Google Scholar] [CrossRef]
- Hervás, J.; Ricchiuti, A.L.; Li, W.; Zhu, N.H.; Fernández-Pousa, C.R.; Sales, S.; Li, M.; Capmany, J. Microwave photonics for optical fiber sensors. IEEE J. Quantum Electron. 2017, 23, 327–339. [Google Scholar] [CrossRef]
- Yao, J. Optoelectronic Oscillator for High Speed and High Resolution Optical Sensing. J. Lightwave Technol. 2016, 35, 3489–3497. [Google Scholar] [CrossRef]
- Zou, X.; Liu, X.; Li, W.; Li, P.; Pan, W.; Yan, L.; Shao, L. Optoelectronic oscillators (OEOs) to sensing, measurement, and detection. IEEE J. Quantum Electron. 2016, 52, 0601116. [Google Scholar] [CrossRef]
- Chew, S.X.; Yi, X.; Yang, W.; Wu, C.; Li, L.; Nguyen, L.; Minasian, R. Optoelectronic Oscillator Based Sensor Using an On-Chip Sensing Probe. IEEE Photonics J. 2017, 9, 5500809. [Google Scholar] [CrossRef]
- Vivien, L.; Osmond, J.; Fédéli, J.; Marris-Morini, D.; Crozat, P.; Damlencourt, J.; Cassan, E.; Lecunff, Y.; Laval, S. 42 GHz p.i.n germanium photodetector integrated in a silicon-on-insulator waveguide. Opt. Express 2009, 17, 6252–6257. [Google Scholar] [CrossRef] [PubMed]
- Ramaswamy, A.; Piels, M.; Nunoya, N.; Yin, T.; Bowers, J.E. High power silicon-germanium photodiodes for microwave photonic applications. IEEE Trans. Microw. Theory Tech. 2010, 58, 3336–3343. [Google Scholar] [CrossRef]
- Komljenovic, T.; Davenport, M.; Hulme, J.; Liu, A.Y.; Santis, C.T.; Spott, A.; Srinivasan, S.; Stanton, E.J.; Zhang, C.; Bowers, J.E. Heterogeneous Silicon Photonic Integrated Circuits. J. Lightwave Technol. 2016, 34, 20–35. [Google Scholar] [CrossRef]
- Davenport, M.L.; Skendžić, S.; Volet, N.; Hulme, J.C.; Heck, M.J.R.; Bowers, J.E. Heterogeneous Silicon/III–V Semiconductor Optical Amplifiers. IEEE J. Sel. Top. Quantum Electron. 2016, 22, 3100111. [Google Scholar] [CrossRef]
- Pintus, P.; Huang, D.; Zhang, C.; Shoji, Y.; Mizumoto, T.; Bowers, J.E. Microring-Based Optical Isolator and Circulator with Integrated Electromagnet for Silicon Photonics. J. Lightwave Technol. 2017, 35, 1429–1437. [Google Scholar] [CrossRef]
- Iezekiel, S. Integrated Microwave Photonics: A Key Enabling Technology for Radio-over-Fiber. In Proceedings of the SPIE 10128, Broadband Access Communication Technologies XI, San Francisco, CA, USA, 28 January 2017. [Google Scholar]
- Liu, W.; Li, M.; Guzzon, R.S.; Norberg, E.J.; Parker, J.S.; Lu, M.; Coldren, L.A.; Yao, J. A fully reconfigurable photonic integrated signal processor. Nat. Photonics 2016, 10, 190–195. [Google Scholar] [CrossRef]






© 2017 by the authors. Licensee MDPI, Basel, Switzerland. This article is an open access article distributed under the terms and conditions of the Creative Commons Attribution (CC BY) license (http://creativecommons.org/licenses/by/4.0/).
Share and Cite
Yi, X.; Chew, S.X.; Song, S.; Nguyen, L.; Minasian, R. Integrated Microwave Photonics for Wideband Signal Processing. Photonics 2017, 4, 46. https://doi.org/10.3390/photonics4040046
Yi X, Chew SX, Song S, Nguyen L, Minasian R. Integrated Microwave Photonics for Wideband Signal Processing. Photonics. 2017; 4(4):46. https://doi.org/10.3390/photonics4040046
Chicago/Turabian StyleYi, Xiaoke, Suen Xin Chew, Shijie Song, Linh Nguyen, and Robert Minasian. 2017. "Integrated Microwave Photonics for Wideband Signal Processing" Photonics 4, no. 4: 46. https://doi.org/10.3390/photonics4040046
APA StyleYi, X., Chew, S. X., Song, S., Nguyen, L., & Minasian, R. (2017). Integrated Microwave Photonics for Wideband Signal Processing. Photonics, 4(4), 46. https://doi.org/10.3390/photonics4040046

