Next Article in Journal
Continuous Domain Quasi-Bound State Enhances the Nonlinear Effects of Silicon Carbide
Previous Article in Journal
SMS Fiber-Optic Sensing System for Real-Time Train Detection and Railway Monitoring
 
 
Font Type:
Arial Georgia Verdana
Font Size:
Aa Aa Aa
Line Spacing:
Column Width:
Background:
Article

The Super Phase Sensitivity of an SU(1,1) Interferometer with a Two-Mode Squeezed Coherent State via Balanced Homodyne and Intensity Detection

1
School of Science, Jiangsu University of Science and Technology, Zhenjiang 212003, China
2
Quantum Information Research Center, Shangrao Normal University, Shangrao 334001, China
*
Author to whom correspondence should be addressed.
Photonics 2026, 13(3), 309; https://doi.org/10.3390/photonics13030309
Submission received: 4 February 2026 / Revised: 11 March 2026 / Accepted: 19 March 2026 / Published: 23 March 2026
(This article belongs to the Section Quantum Photonics and Technologies)

Abstract

We propose a novel scheme that is used for the enhancement of phase sensitivity. The SU(1,1) interferometer with a two-mode squeezed coherent state input, using balanced homodyne detection (BHD) and intensity detection (ID), is shown. Our results demonstrate that the phase sensitivity achieved via BHD outperforms that of ID. The optimal phase sensitivity via BHD surpasses the Heisenberg limit (HL) and approaches the quantum Cramér–Rao bound. A larger photon number and parameter strength can make the phase sensitivity better. Furthermore, we show the effects of internal and external losses on phase sensitivity in detail. When external loss reaches 10%, the phase sensitivity can reach the HL. Next, we have a detailed discussion on the impact of the squeezing parameter and photon number on phase sensitivity, which shows that our scheme has better phase sensitivity and enhanced robustness. This interferometer system thus holds significant potential for applications in quantum precision measurement.

1. Introduction

Quantum technology and quantum information have received significant attention and witnessed substantial developments in recent decades [1,2]. Quantum metrology, as a part of quantum technology, has drawn much attention and been applied extensively in numerous practical domains [3,4,5,6]. The purpose of quantum metrology is to enhance measurement precision. Usually, optical interferometers are utilized to improve phase measurement precision [7]. One typical optical interferometer is the Mach–Zehnder interferometer (MZI), which is a type of linear interferometer described by the SU(2) group [8]. It consists of two beam splitters (BSs) and a phase shifter. The BSs play an important role in the measurement process. The first BS is used to split the beam, while the other one integrates two beams after propagating on different paths. The phase sensitivity is limited to 1 N L , where N L is the input photon number in the MZI. 1 N L is named as shot noise limit (SNL) or standard quantum limit. In order to obtain the better phase sensitivity, many quantum states have been proposed, such as the N00N state [9,10], two-mode squeezed vacuum state [11], entangled coherent state [12] and Fock state [13]. However, these quantum states have many drawbacks. For the N00N state, its photon number is extremely low and it is also very sensitive to losses. Without the boost of the coherent state, the total photon number of the two-mode squeezed vacuum state is also very small. Moreover, the squeezing degree of the current experiment technology cannot surpass 20 dB [14,15,16]. Therefore, to achieve the practical application of quantum metrology, more methods need to be employed.
A useful method is to modify the structure of the optical interferometer. A novel type of interferometer is named as an SU(1,1) interferometer because the transformation relationship is described by the SU(1,1) group, which was first proposed by Yurke et al. in 1986 [8]. Contrary to MZI, the SU(1,1) interferometer consists of positive nonlinear elements, such as an optical parametric amplifier (OPA) and four-wave mixing (FWM) [17,18]. The input beams experience the first OPA, and the photon number inside the SU(1,1) interferometer will be increased due to the amplification of the OPA [19,20]. Then, one of the beams undergoes a phase shift and carries the phase information. For the phase sensitivity measurement, Li et al. proposed that the phase sensitivity can approach the Heisenberg limit (HL) with the input of a coherent state and the squeezed vacuum state by balanced homodyne detection (BHD) [21]. Ou et al. pointed out that with the input of the vacuum state the phase sensitivity can also reach the HL [22]. The HL is defined as Δ ϕ HL = 1 N H , where N H is the total photon number inside the SU(1,1) interferometer.
Meanwhile, a modified SU(1,1) interferometer is proposed by Zhang et al. [23]. It has the advantage of a simple structure and high precision phase sensitivity. The modified SU(1,1) interferometer, which is also named as the hybrid interferometer (HI), has been investigated by many groups [24,25]. Nevertheless, when the intensities of the two arms are different, it will lead to a decrease in phase sensitivity. And the optimal phase sensitivity can be achieved with different transmissivities of the BS when the squeezing parameter is changed. Therefore, more groups have focused on the SU(1,1) interferometer [26,27]. By adjusting the parameter ratio of the two OPAs, super phase sensitivity can still be achieved with detection losses as high as 80% [26]. By performing non-Gaussian operations in two arms of an SU(1,1) interferometer, the phase sensitivity is further improved, and the photon losses are also effectively reduced [27].
In addition to a different structure for the optical interferometer, another method to have better phase sensitivity is to employ different detection methods, such as intensity detection (ID), BHD and parity detection. ID has the advantage of a simple structure [28]. BHD has been widely employed in phase sensitivity measurement, such as in LIGO [7]. With the employment of parity detection, the phase sensitivity can reach the HL when the input is a two-mode squeezed vacuum state [11]. Therefore, all possible methods need to be employed to have the optimal phase sensitivity. Nevertheless, considering endless detection methods is impractical. Fortunately, this challenge can be effectively tackled by employing quantum Fisher information (QFI) and quantum Cramér–Rao bounds (QCRB), Δ ϕ QCRB 2 = 1 F [19,29,30]. Jarzyna et al. discussed the QFI of MZI when the phase shifter is placed in two arms [31]. Lang and Caves also proposed a two-parameter estimation of QFI for MZI [32]. Ataman and Preda considered single QFI and double QFI with the same input [33].
Recently, QFI with a two-mode squeezed coherent state based on the HI has been proposed and can be utilized for the improvement of phase sensitivity [24]. The photon number of the two-mode squeezed coherent state can be large enough due to the boost of the coherent state. However, the transmissivity of the BS in the HI needs to be dynamic when the squeezing parameter of the FWM is different. Additionally, only the degenerate FWM can be applied in the HI. For these reasons, instead of using the HI scheme, in this paper we investigate the phase sensitivity by combining the use of the SU(1,1) interferometer with an input represented by a two-mode squeezed coherent state. Meanwhile, considering that the effect of photon losses is inevitable in the measurement process, we analyze the phase sensitivity in detail under ideal and photon loss conditions.
This paper is structured as follows: In Section 2, the scheme employing a two-mode squeezed coherent state as the input of an SU(1,1) interferometer is introduced. In Section 3, we calculate the QFI, SNL and HL. In Section 4, we analyze the phase sensitivity via BHD and ID. In Section 5, the effects of photon losses in the scheme are shown. In Section 6, we have a detailed discussion on the phase sensitivity and robustness. The conclusion is drawn in the last section.

2. Model

The structure of an SU(1,1) interferometer is shown in the Figure 1, which contains three FWMs and a phase shifter. A coherent beam and a vacuum beam enter the FWM1, which is used to generate a two-mode squeezed coherent state. It is a phase insensitive process [34]. Then, the two output beams are injected into the SU(1,1) interferometer, which consists of the FWM2 and the FWM3. Without the FWM1 process, this structure of an SU(1,1) interferometer will reduce to an ordinary SU(1,1) interferometer, which was experimentally realized in 2011 [35]. The phase sensitivity can reach sub-SNL. After the SU(1,1) interferometer, this beam will enter photon detection. The transformation of the FWM1 can be described as
a ^ 1 = G 1 a ^ 0 + e i θ 1 G 1 1 b ^ 0 , b ^ 1 = G 1 b ^ 0 + e i θ 1 G 1 1 a ^ 0 ,
where G 1 and θ 1 are the gain and phase of the FWM1. G 1 = cosh 2 r 1 , r 1 is the parametric strength of FWM1. a ^ i ( a ^ i ) and b ^ i ( b ^ i ) ( i = 0 , 1 , 2 , 3 , 4 ) are annihilation (creation) operators of the mode A(B), respectively. As illustrated in Figure 1, the FWM process corresponds to a cyclic sequence: one pump photon is annihilated, a probe photon is generated, a second pump photon is annihilated, and a conjugate photon is subsequently created. The annihilation operators corresponding to the probe and the conjugate fields are designated as a ^ and b ^ , respectively. The interaction Hamiltonian can be written as H ^ = i ζ e i θ b ^ a ^ + h . c . , where ζ denotes the interaction strength, which is proportional to the pump light intensity. Moreover, the parameter ζ exhibits a strong dependence on both the one-photon detuning Δ and the two-photon detuning δ . Usually, Δ is about 800 MHz and δ is around 4 MHz. Here, θ = 2 ϕ pump , where ϕ pump stands for the phase of the pump field [34]. For the coherent beam, it has a ^ 0 = | α | e i θ α . θ α is the phase of the coherent state. α is the amplitude. N = | α | 2 , N is the photon number of the coherent state input. For the vacuum state, b ^ 0 = | β | e i θ β , θ β is the phase of the vacuum state. | β | = 0 .
The transformation relationship of FWM2 process is
a ^ 2 = G 2 a ^ 1 + e i θ 2 G 2 1 b ^ 1 , b ^ 2 = G 2 b ^ 1 + e i θ 2 G 2 1 a ^ 1 ,
where G 2 = cosh 2 r 2 and θ 2 are the gain and phase of the FWM2 and r 2 is the parametric strength. The input photon number of the SU(1,1) interferometer can be expressed as < N ^ i n > = < a ^ 1 a ^ 1 > + < b ^ 1 b ^ 1 > . N i n = ( 2 G 1 1 ) N + 2 ( G 1 1 ) . According to the transformation relationship, the photon number of the upper arm can be expressed as
N u = < a ^ 2 a ^ 2 > = [ G 1 G 2 + ( G 1 1 ) ( G 2 1 ) ] N + 2 G 1 G 2 ( G 1 1 ) ( G 2 1 ) cos ( θ 1 θ 2 ) ( N + 1 ) + [ G 2 ( G 1 1 ) + G 1 ( G 2 1 ) ] .
The photon number of the lower arm can be expressed as
N l = < b ^ 2 b ^ 2 > = [ G 2 ( G 1 1 ) + G 1 ( G 2 1 ) ] ( N + 1 ) + 2 G 1 G 2 ( G 1 1 ) ( G 2 1 ) cos ( θ 1 θ 2 ) ( N + 1 ) .
The total photon number inside the SU(1,1) interferometer is N H = N u + N l .
N H = [ G 1 G 2 + ( G 1 1 ) ( G 2 1 ) ] N + 4 G 1 G 2 ( G 1 1 ) ( G 2 1 ) cos ( θ 1 θ 2 ) ( N + 1 ) + [ G 2 ( G 1 1 ) + G 1 ( G 2 1 ) ] ( N + 2 ) .
Then, the SNL and HL can be defined as Δ ϕ SNL = 1 N H and Δ ϕ HL = 1 N H . Equation (5) shows that the larger gains G 1 and G 2 represent a higher photon number.
For our scheme, the total input-output relation after the FWM3 process can be written as a ^ 4 = G 3 a ^ 3 + e i θ 3 G 3 1 b ^ 3 . For simplifying, we assume that θ 1 = θ 2 = θ 3 = 0 and θ α = π 4 . Combining Equations (1) and (2), the total input-output relation is as follows
a ^ 4 = A 1 a ^ 0 + A 2 b ^ 0 ,
where A 1 = e i ϕ ( G 1 G 2 G 3 + G 3 G 1 1 G 2 1 ) + G 2 G 1 1 G 3 1 + G 1 G 2 1 G 3 1 , and A 2 = e i ϕ ( G 2 G 3 G 1 1 + G 1 G 3 G 2 1 ) + G 1 G 2 G 3 1 + G 1 1 G 2 1 G 3 1 .

3. Quantum Cramér–Rao Bounds

As a powerful tool, QFI is employed to estimate the optimal value of unknown parameters [36], and it is irrelevant to specific measurement methods [18]. It contains the maximum amount of information about the unknown phase shift ϕ , indicating the lower bound of the QCRB, that is Δ ϕ QCRB 1 F . In this section, a single QFI is calculated. Here, the unitary operator U ^ ϕ = e i H ^ ϕ , where H ^ = a ^ 2 a ^ 2 is the photon number operator on mode a. In the absence of losses, for the pure state, the corresponding QFI can be calculated as [18,37]
F = 4 Re ( ϕ ψ ϕ | ϕ ψ ϕ ϕ ψ ϕ | ψ ϕ 2 ) ,
where | ϕ ψ ϕ = | ψ ϕ / ϕ , and | ψ ϕ = U ^ ϕ S ^ OPA 2 | ψ i n . | ψ ϕ is the state after passing through the phase shifter. The notation Re means the real-part. The state | ψ i n is the input state of the FWM2, where | ψ in = S ^ OPA 1 ( ζ 1 ) D ^ ( α ) | 0 a , 0 b . | 0 a , 0 b represents the two-mode vacuum state. D ^ ( α ) is the displacement operator. The S ^ OPA 1 ( ζ 1 ) is the two-mode squeezing operator defined as S ^ OPA 1 ( ζ 1 ) = e ζ 1 a ^ 0 b ^ 0 ζ 1 a ^ 0 b ^ 0 , with ζ 1 = r 1 e i θ 1 . The operator S ^ OPA 2 is expressed as S ^ OPA 2 ( ζ 2 ) = e ζ 2 a ^ 1 b ^ 1 ζ 2 a ^ 1 b ^ 1 , with ζ 2 = r 2 e i θ 2 . The QFI is calculated using Equation (7) and it is
F = 4 Δ 2 H ^ = 4 [ s N + n ( N + 1 ) ] ,
where the coefficient is n = 8 G 1 2 G 2 2 8 G 1 2 G 2 8 G 2 2 G 1 + 8 G 1 G 2 + G 1 2 + G 2 2 G 1 G 2 + 2 G 1 ( G 1 1 ) G 2 ( G 2 1 ) ( 4 G 1 G 2 2 G 2 2 G 1 + 1 ) , and s = n + 2 G 1 G 2 G 1 G 2 + 1 + 2 G 1 ( G 1 1 ) G 2 ( G 2 1 ) . Then, the QCRB is Δ ϕ QCRB = 1 F .
To investigate the impact of the unbalanced input state on QCRB, we introduce the photon number difference η , defined by η = N H N i n ( η 0 ). The total photon number inside the SU(1,1) interferometer is significantly enhanced due to the squeezing effect of the FWM, which leads to a further improvement in the precision bound. We present the photon number difference η to analyze the relationships among the QCRB, the SNL, and the HL. A lower phase value implies superior phase sensitivity. As Figure 2a shows, the QCRB can surpass the HL when η < 2.78 . With the increase of η , the QCRB, which represents an optimal theoretical precision, can be restricted to the sub-SNL. Additionally, the effects of r 1 , r 2 and N on phase sensitivity Δ ϕ QCRB are also extremely significant. We set r 1 as a fixed value to investigate the variation of Δ ϕ QCRB with respect to r 2 and N. In Figure 2b, three scenarios are considered where r 2 < r 1 , r 2 = r 1 and r 2 > r 1 . With the increase in r 2 , the phase sensitivity Δ ϕ QCRB improves—this is due to the enhancement of the total photon number N H . As the photon number N increases, the Δ ϕ QCRB is improved. However, the optimal phase sensitivity is achieved when both r 2 and N are in the high-value range and Δ ϕ QCRB approaches a constant value.

4. Detection Methods

Next, we investigate the phase sensitivity of the SU(1,1) interferometer with different detection methods. The ID, as an ordinary detection method in the measurement process, is applied to measure the signal of the output port a. The detection operator in the scenario is given by
I ^ = a ^ out a ^ out = A 1 A 3 a ^ 0 a ^ 0 + A 1 A 4 a ^ 0 b ^ 0 + A 2 A 3 b ^ 0 a ^ 0 + A 2 A 4 b ^ 0 b ^ 0 + A 2 A 4 .
A 1 = A 3 , A 2 = A 4 . The slope of I ^ is displayed as
| I ^ ϕ | = | 2 ( 2 G 1 1 ) G 2 ( G 2 1 ) G 3 ( G 3 1 ) ( N + 1 ) sin ϕ + 2 ( 2 G 2 1 ) G 1 ( G 1 1 ) G 3 ( G 3 1 ) ( N + 1 ) sin ϕ | .
The variance is given by
Δ 2 I ^ = ( 2 m 2 + 3 m + 1 ) N + m 2 + m ,
where m = 4 G 1 G 2 G 3 2 G 1 G 2 2 G 1 G 3 2 G 3 G 2 + G 1 + G 2 + G 3 1 + 2 ( 2 G 3 1 ) G 1 ( G 1 1 ) G 2 ( G 2 1 ) + 2 ( 2 G 1 1 ) G 2 ( G 2 1 ) G 3 ( G 3 1 ) cos ϕ + 2 ( 2 G 2 1 ) G 1 ( G 1 1 ) G 3 ( G 3 1 ) cos ϕ . According to the error-propagation formula, the phase sensitivity with ID can be calculated, which is
Δ ϕ = Δ 2 I ^ | I ^ / ϕ | = ( 2 m 2 + 3 m + 1 ) N + m 2 + m | 2 G 3 ( G 3 1 ) ( N + 1 ) sin ϕ ( 2 G 1 1 ) G 2 ( G 2 1 ) + ( 2 G 2 1 ) G 1 ( G 1 1 ) | .
Additionally, BHD is applied in the SU(1,1) interferometer with the same input. In this scenario, the detection operator is given by
X ^ = a ^ out + a ^ out = A 1 a ^ 0 + A 2 b ^ 0 + A 3 a ^ 0 + A 4 b ^ 0 .
The slope of X ^ is displayed as
| X ^ ϕ | = | 2 N G 1 G 2 G 3 sin ( ϕ + θ α ) + 2 N G 3 G 2 1 G 1 1 sin ( ϕ + θ α ) | ,
and the variance is given by
Δ 2 X ^ = 2 m + 1 .
The corresponding phase sensitivity can be obtained
Δ ϕ = Δ 2 X ^ | X ^ / ϕ | = 2 m + 1 | 2 N sin ( ϕ + θ α ) G 1 G 2 G 3 + ( G 1 1 ) ( G 2 1 ) G 3 ) | .
In Figure 3, we compare the phase sensitivity of ID with that of BHD and consider its variation with the photon number N. In Figure 3a, the phase sensitivity with ID can only reach the sub-SNL. In contrast, for BHD, the optimal phase sensitivity can outperform the HL when ϕ is near π . Figure 3b illustrates the variation of phase sensitivity with photon number N. As the N increases, the phase sensitivity gradually improves. In the low-photon number region, both phase sensitivities can surpass the SNL. When N continues to increase, the phase sensitivity with BHD approaches the QCRB.
Furthermore, the effects of the squeezed parameters r 1 , r 2 and r 3 on sensitivity have been displayed in Figure 4. The phase sensitivity with ID can beat the SNL when 0.24 < r 1 < 2.05 , as shown in Figure 4a. When r 1 < 0.45 , the phase sensitivity with BHD can beat the HL. It is even worse than the SNL when r 1 > 2.31 . With the increase in r 1 , the phase sensitivity with ID gradually approaches the phase sensitivity with BHD. The QCRB also degrades to the HL. In Figure 4b, we obtain identical results due to the fact that FWM1 and FWM2 play the same role. If r 1 = 0 , the SU(1,1) interferometer will become an ordinary SU(1,1) interferometer with the input of the coherent beam plus the vacuum beam [22]. Meanwhile, it is easy to find that it is also the ordinary SU(1,1) interferometer when r 2 = 0 . In Figure 4c, the total photon number inside the SU(1,1) interferometer is related to the FWM1 and the FWM2. The SNL, HL and QCRB remain unchanged with the increase in r 3 , as displayed in Figure 4c. The phase sensitivity with ID can reach the sub-SNL region when r 3 > 1.11 and the optimal phase sensitivity with BHD can surpass the HL when r 3 is larger than 0.87.

5. Losses on the Phase Sensitivity

In realistic scenarios, a variety of factors will reduce the phase sensitivity [22,38,39]. We focus on the impact of photon losses on the optimal phase sensitivity. The photon losses can be divided into two types: the internal loss and the external loss. In the experiments, the internal loss can be transmission loss inside the interferometer, and the external loss is due to the imperfect photon detector [40]. Here, the fictitious beam splitters 1 (FBS1) and FBS2 represent the internal loss and FBS3 represents the external loss in Figure 5.
The transmission of the FBSi (i = 1, 2, 3) is T i , and the relationship of the FBSs can be shown as
a ^ 3 = T 1 e i ϕ a ^ 2 + 1 T 1 v ^ 1 , b ^ 3 = T 2 b ^ 2 + 1 T 2 v ^ 2 , a ^ 5 = T 3 a ^ 4 + 1 T 3 v ^ 3 .
The phase sensitivities with ID and BHD are shown in Appendix A.
Figure 6 shows the phase sensitivity Δ ϕ loss with different transmissions T i via ID and BHD. In Figure 6a,c,e, the phase sensitivity via ID is shown. It is not difficult to find that the phase sensitivity can reach the sub-SNL with T i = 1 , r 1 = r 2 = 0.35 , r 3 = 1.5 and N = 1 . Figure 6b,d,f show the phase sensitivity via BHD. Without the loss, the optimal phase sensitivity can reach the sub-HL. In Figure 6a, when T 1 is lower than 0.7, the phase sensitivity with ID is worse than the SNL. According to Figure 6c, the phase sensitivity is better than the SNL when the transmission T 2 is larger than 0.9. As Figure 6e shows, the phase sensitivity can reach the sub-SNL when the transmission T 3 is 0.5. In Figure 6b, we study the effect of T 1 on phase sensitivity with T 2 = T 3 = 1 . The result indicates that the phase sensitivity can reach the SNL when T 1 = 0.5 . In Figure 6d, we study the effect of T 2 with T 1 = T 3 = 1 . In this situation, the phase sensitivity is improved. It can beat the SNL when the loss is up to 0.5 . As Figure 6f shows, better phase sensitivity can be achieved, and it can surpass the HL when the transmission T 3 reaches 0.9 .
In Figure 7, we indicate the effects of the internal and external losses on the phase sensitivity. The phase sensitivity with BHD is better than that with ID when the loss is the same. In addition, for the phase sensitivity with BHD and ID, better phase sensitivity can be obtained by the larger transmission. For Figure 7a, with T 1 = 0.1 or T 2 = 0.1 , increasing the transmission cannot improve the phase sensitivity. In the Figure 7b, the optimal phase sensitivity can be followed when T 1 is larger than 0.8. In Figure 7c,d, better phase sensitivity can be realized when T 1 and T 3 are larger. And they have the same trend. In Figure 7e, when T 2 = 0.2 , increasing the transmission T 3 cannot boost the phase sensitivity. When T 2 is larger, the phase sensitivity is better. In Figure 7f, with T 3 > 0.2 , increasing T 2 will lead to better phase sensitivity. When the transmissivity T 3 is 0.02, increasing the value of T 2 does not help in improving phase sensitivity.
In addition, to compare the robustness of the scheme with ID and BHD, Figure 8 is displayed. Here, the internal and external losses are the same ( T i = 0.7 , i = 1 , 2 , 3 ). In Figure 8a, the phase sensitivities via BHD are always better than the SNL with increasing the photon number. And the phase sensitivity via ID is worse than the SNL. For Figure 8b,c, with the increase in the squeezing parameters r 1 and r 2 , the phase sensitivity with BHD is better than that with ID. It can beat the SNL when r i > 1.12 ( i = 1 , 2 ) . Meanwhile, the phase sensitivity with ID cannot surpass the SNL. According to Figure 8d, the phase sensitivity achieved via BHD can beat the SNL when r 3 is larger than 0.5. The phase sensitivity via ID is always worse than the SNL. In this case, the scheme with BHD has better robustness.

6. Discussion

In this section, we have a detailed discussion that shows the advantage of our scheme. The HIs with the same input (two-mode squeezed coherent state) and the same detection method (BHD) are displayed in Figure 9 [24]. The structure in Figure 9 contains two FWMs and one BS. The total photon number inside the interferometer remains consistent with ours under the same parameters. This implies that the two schemes can obtain the same SNL and HL. According to the error-propagation formula, the phase sensitivity is
Δ ϕ = Δ 2 H ^ loss | H ^ loss / ϕ | ,
the variance is
Δ 2 H ^ loss = 1 2 T 3 ( T 1 + T 2 ) ( ( 2 G 1 1 ) ( 2 G 2 1 ) + 4 G 1 G 2 ( G 1 1 ) ( G 2 1 ) ) + 2 T 3 T 1 T 2 ( ( 2 G 1 1 ) G 2 ( G 2 1 ) + ( 2 G 2 1 ) G 1 ( G 1 1 ) ) cos ϕ + 1 2 T 3 ( 2 T 1 T 2 ) + ( 1 T 3 ) ,
and the slope becomes
H ^ loss ϕ = | 2 N T 1 T 3 ( G 1 1 ) ( G 2 1 ) + G 1 G 2 sin ( ϕ + θ a ) | .
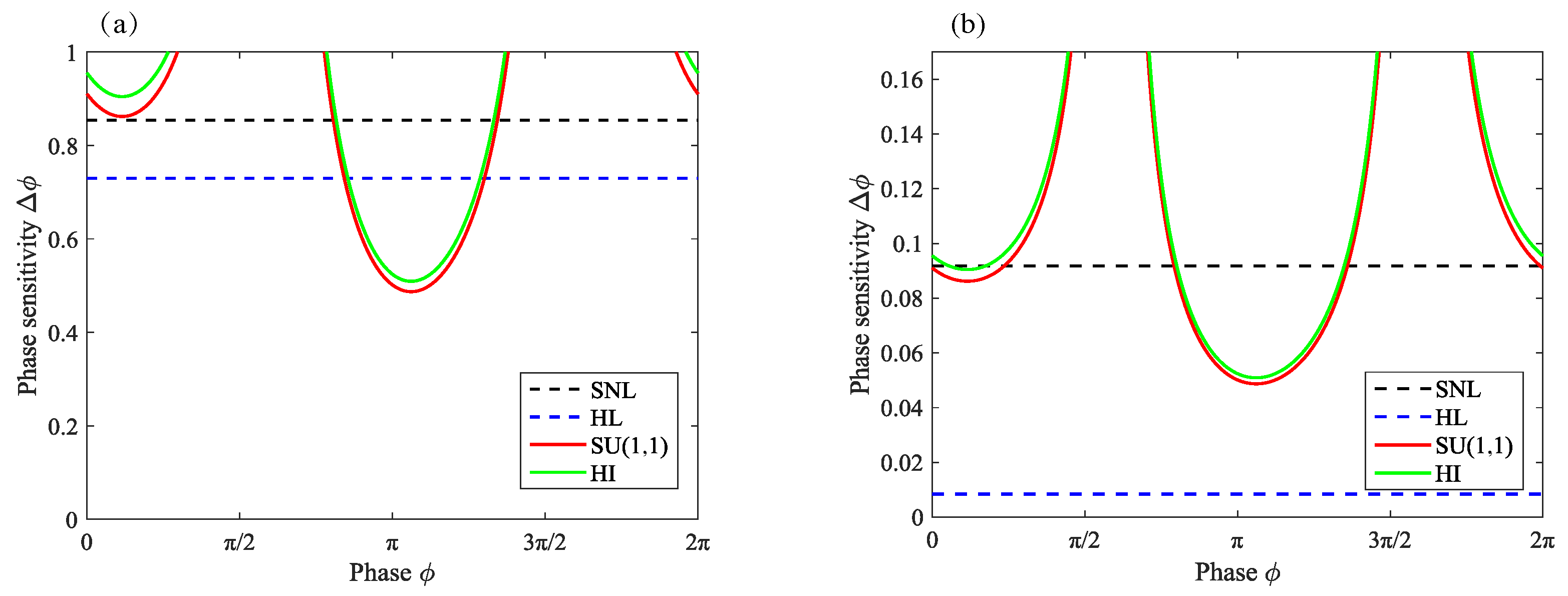
Subsequently, we discuss the phase sensitivity with different parameters. In Figure 10, the phase sensitivity versus the phase shift is displayed. In Figure 10, the HI is used to represent the phase sensitivity with the two-mode squeezed state as input via BHD based on the hybrid interferometer. In addition, the SU(1,1) in the figures represents the phase sensitivity based on the SU(1,1) interferometer with the two-mode squeezed state as input via BHD. In Figure 10a, the optimal phase sensitivities based on the HI and the SU(1,1) interferometer can beat the HL with N = 1 , r 1 = r 2 = 0.15 and r 3 = 1.5 . Our scheme demonstrates a 4% improvement in phase sensitivity compared with the HI. In Figure 10b, with N = 100 , r 1 = r 2 = 0.15 and r 3 = 1.5 , the phase sensitivity can reach the sub-SNL.
In Figure 11a, as the photon number increases, the phase sensitivities based on the HI and SU(1,1) interferometer are further enhanced. In the low-photon-number regime, both schemes can surpass the HL. And the phase sensitivity based on the SU(1,1) interferometer is always better than that of the HI. In Figure 11b,c, with lower squeezing parameters, the phase sensitivity of the SU(1,1) interferometer has better performance. With larger r 1 and r 2 values, the HI shows better phase sensitivity. According to Figure 11d, the phase sensitivity of the SU(1,1) interferometer can have the better performance when r 3 is larger than 0.04. The optimal phase sensitivity can be realized when r 3 is 0.58.
Next, the robustness of the two schemes against losses are indicated. With the increase in the transmission efficiency T 1 , our scheme exhibits stronger robustness compared to the HI scheme, as shown in Figure 12a. When T 1 is larger than 0.41, our scheme can beat the SNL, and the HI scheme can beat SNL when T 1 > 0.44 . In Figure 12b, it can be noted that when the transmission efficiency T 2 is higher, the phase sensitivity can always beat the HL. For the external detecting losses, our scheme exhibits stronger robustness, as Figure 12c shows. When T 3 is larger than 0.08, the phase sensitivity of the SU(1,1) interferometer can reach the sub-SNL. For the HI scheme, the robustness is 0.5.

7. Conclusions

In summary, we focus on the phase sensitivity of an SU(1,1) interferometer with a two-mode squeezed coherent state via BHD and ID. The QCRB can surpass the HL when the photon number is low. When the input photon number is larger, we find that the phase sensitivity with BHD can reach the sub-SNL. The optimal phase sensitivity with BHD is significantly superior to that with ID. The phase sensitivity with BHD can approach the QCRB. We also investigate the effects of internal and external losses on phase sensitivity. When the external loss reaches 10%, the optimal phase sensitivity achieved via BHD can beat the HL. The BHD has the better robustness than the ID. The external losses play a more significant role than the internal losses in our scheme. Next, we have a detailed discussion on the phase sensitivity. The optimal phase sensitivity of the proposed scheme is better than that of the HI when the input photon number is the same. In addition, our scheme has better robustness when the squeezing parameters are the same. The innovative SU(1,1) interferometer structure forms a new scheme that provides an effective approach for assessing phase sensitivity.

Author Contributions

Conceptualization, C.X. and L.W.; methodology, C.X. and S.K.; validation, C.X. and L.W.; investigation, C.X. and J.L.; writing—original draft preparation, C.X. and J.L.; writing—review and editing, C.X. and D.C. All authors have read and agreed to the published version of the manuscript.

Funding

National Natural Science Foundation of China (NSFC) under grants 12104190 and 12204312. Natural Science Foundation of Jiangsu Province BK20210874. Natural Science Foundation of Jiangxi Province 20224BAB211014 and 20232BAB201042. General project of natural science research in colleges and universities of Jiangsu Province (20KJB140008).

Data Availability Statement

All data that support the findings of this study are included within the article.

Conflicts of Interest

No potential conflicts of interest are reported by the authors.

Appendix A

In the lossy scenario, we rewrite the phase sensitivity with ID as
Δ ϕ loss = Δ 2 I ^ loss I ^ ϕ loss .
Here,
Δ 2 I ^ loss = ( k + T 1 T 3 G 3 ) 2 k + 2 T 3 ( G 3 1 ) + 1 N + k + T 2 T 3 ( G 3 1 ) T 3 G 3 ( 1 T 1 ) + 1 T 3 + ( k + T 1 T 3 G 3 ) k + T 2 T 3 ( G 3 1 ) + T 3 ( G 3 1 ) ( 1 T 2 ) k + T 1 T 3 G 3 + G 3 ( 1 T 1 ) + 1 T 3 ,
and
| I ^ ϕ | loss = 2 T 3 T 1 T 2 | ( 2 G 1 1 ) G 2 G 3 ( G 2 1 ) ( G 3 1 ) ( N + 1 ) sin ϕ + ( 2 G 2 1 ) G 1 G 3 ( G 1 1 ) ( G 3 1 ) ( N + 1 ) sin ϕ | .
For the phase sensitivity with BHD, we can rewrite Equation (14) as
| X ^ ϕ | loss = T 1 T 3 | X ^ ϕ | .
The variance can be simulated
Δ 2 X ^ loss = 2 k + 2 T 3 G 3 2 T 3 + 1 ,
where k = m G 3 + 1 under the condition T 1 = T 2 = T 3 = 1 (ideal case). Here, k = G 1 G 2 G 3 ( 2 T 1 T 3 + 2 T 2 T 3 ) 2 T 2 T 3 G 1 G 2 G 1 G 3 ( T 1 T 3 + T 2 T 3 ) G 2 G 3 ( T 1 T 3 + T 2 T 3 ) + T 2 T 3 G 1 + T 2 T 3 G 2 + 2 G 1 G 2 ( G 1 1 ) ( G 2 1 ) ( T 1 T 3 G 3 + T 2 T 3 ( G 3 1 ) ) + 2 T 3 T 1 T 2 ( 2 G 1 1 ) G 2 G 3 ( G 2 1 ) ( G 3 1 ) cos ϕ + 2 T 3 T 1 T 2 ( 2 G 2 1 ) G 1 G 3 ( G 1 1 ) ( G 3 1 ) cos ϕ . The phase sensitivity in a lossy scenario can be expressed as
Δ ϕ loss = 2 k + 2 T 3 G 3 2 T 3 + 1 | 2 T 1 T 3 G 3 N sin ( ϕ + θ α ) ( G 1 G 2 + G 2 1 G 1 1 ) | .

References

  1. Scully, M.O.; Zubairy, M.S. Quantum Optics; Cambridge University Press: Cambridge, UK, 1997. [Google Scholar]
  2. Dowran, M.; Kumar, A.; Lawrie, B.J.; Pooser, R.C.; Marino, A.M. Quantum-enhanced plasmonic sensing. Optica 2018, 5, 628–633. [Google Scholar] [CrossRef]
  3. Taylor, M.A.; Bowen, W.P. Quantum metrology and its application in biology. Phys. Rep. 2016, 615, 1–59. [Google Scholar] [CrossRef]
  4. Joo, J.; Munro, W.J.; Spiller, T.P. Quantum metrology with entangled coherent states. Phys. Rev. Lett. 2011, 107, 083601. [Google Scholar] [CrossRef] [PubMed]
  5. Ma, X.P.; You, C.L.; Adhikari, S.; Matekole, E.S.; Glasser, R.T.; Lee, H.; Dowling, J.P. Sub-shot-noise-limited phase estimation via SU (1, 1) interferometer with thermal states. Opt. Express 2018, 26, 18492–18504. [Google Scholar] [CrossRef] [PubMed]
  6. Gkortsilas, N.; Cooper, J.J.; Dunningham, J.A. Measuring a completely unknown phase with sub-shot-noise precision in the presence of loss. Phys. Rev. A 2012, 85, 063827. [Google Scholar] [CrossRef]
  7. Aasi, J.; Abadie, J.; Abbott, B.P.; Abbott, R.; Abbott, T.D.; Abernathy, M.R.; Adams, C.; Adams, T.; Addesso, P.; Adhikari, R.X.; et al. Enhanced sensitivity of the LIGO gravitational wave detector by using squeezed states of light. Nat. Photonics 2013, 7, 613–619. [Google Scholar] [CrossRef]
  8. Yurke, B.; McCall, S.L.; Klauder, J.R. SU (2) and SU (1, 1) interferometers. Phys. Rev. A 1986, 33, 4033. [Google Scholar] [CrossRef]
  9. Dowling, J.P. Quantum optical metrology—The lowdown on high-NOON states. Contemp. Phys. 2008, 49, 125–143. [Google Scholar] [CrossRef]
  10. Rao, Z.X.; Yang, J.W.; Liu, L.Y.; Yu, Y. High-performance NOON state from a quantum dot single photon for supersensitive optical phase measurement. Photonics 2024, 11, 512. [Google Scholar] [CrossRef]
  11. Anisimov, P.M.; Raterman, G.M.; Chiruvelli, A.; Plick, W.N.; Huver, S.D.; Lee, H.; Dowling, J.P. Quantum Metrology with Two-Mode Squeezed Vacuum: Parity Detection Beats the Heisenberg Limit. Phys. Rev. Lett. 2010, 104, 103602. [Google Scholar] [CrossRef]
  12. Mitchell, M.W.; Lundeen, J.S.; Steinberg, A.M. Super-resolving phase measurements with a multiphoton entangled state. Nature 2004, 429, 161–164. [Google Scholar] [CrossRef]
  13. Hou, L.L.; Wang, S.; Xu, X.F. Optical enhanced interferometry with two-mode squeezed twin-Fock states and parity detection. Chin. Phys. B 2020, 29, 034203. [Google Scholar] [CrossRef]
  14. Vahlbruch, H.; Mehmet, M.; Danzmann, K.; Schnabel, R. Detection of 15 dB squeezed states of light and their application for the absolute calibration of photoelectric quantum efficiency. Phys. Rev. Lett. 2016, 117, 110801. [Google Scholar] [CrossRef] [PubMed]
  15. Heng, X.; Zhang, L.C.; Yin, Q.Y.; Liu, W.; Tang, L.L.; Zhai, Y.Y.; Wei, K. Quantum-Enhanced Sensing with Squeezed Light: From Fundamentals to Applications. Appl. Sci. 2025, 15, 10179. [Google Scholar] [CrossRef]
  16. Jia, W.X.; Xu, V.; Kuns, K.; Nakano, M.; Barsotti, L.; Evans, M.; Mavalvala, N.; Collaboration, L.S.; Abbott, R.; Abouelfettouh, I.; et al. Squeezing the quantum noise of a gravitational-wave detector below the standard quantum limit. Science 2024, 385, 1318–1321. [Google Scholar] [CrossRef]
  17. Xu, Y.K.; Chang, S.K.; Liu, C.J.; Hu, L.Y.; Liu, S.Q. Phase estimation of an SU (1, 1) interferometer with a coherent superposition squeezed vacuum in a realistic case. Opt. Express 2022, 30, 38178–38193. [Google Scholar] [CrossRef]
  18. Guo, L.L.; Yu, Y.F.; Zhang, Z.M. Improving the phase sensitivity of an SU (1, 1) interferometer with photon-added squeezed vacuum light. Opt. Express 2018, 26, 29099–29109. [Google Scholar] [CrossRef]
  19. Liang, X.Y.; Yu, Z.F.; Yuan, C.H.; Zhang, W.P.; Chen, L.Q. Phase sensitivity improvement in correlation-enhanced nonlinear interferometers. Symmetry 2022, 14, 2684. [Google Scholar] [CrossRef]
  20. Wei, D.; Liu, J.; Yu, Y.; Wang, J.W.; Gao, H.; Li, F.L. Generation of twin Airy beams with a parametric amplifier. J. Phys. B At. Mol. Opt. Phys. 2015, 48, 245401. [Google Scholar] [CrossRef]
  21. Li, D.; Yuan, C.H.; Ou, Z.Y.; Zhang, W.P. The phase sensitivity of an SU (1, 1) interferometer with coherent and squeezed-vacuum light. New J. Phys. 2014, 16, 073020. [Google Scholar] [CrossRef]
  22. Ou, Z.Y. Enhancement of the phase-measurement sensitivity beyond the standard quantum limit by a nonlinear interferometer. Phys. Rev. A 2012, 85, 023815. [Google Scholar] [CrossRef]
  23. Zhang, J.D.; You, C.L.; Li, C.; Wang, S. Phase sensitivity approaching the quantum Cramér-Rao bound in a modified SU (1, 1) interferometer. Phys. Rev. A 2021, 103, 032617. [Google Scholar] [CrossRef]
  24. Shao, T.; Ruan, P.X.; Zhang, M.Y.; Wang, Y.X.; Zhang, M.M.; Jing, Q.L.; Liu, J. Improving phase sensitivity of a hybrid interferometer with the two-mode squeezed coherent state. Phys. Scr. 2024, 99, 105133. [Google Scholar] [CrossRef]
  25. Kong, J.; Ou, Z.Y.; Zhang, W.P. Phase-measurement sensitivity beyond the standard quantum limit in an interferometer consisting of a parametric amplifier and a beam splitter. Phys. Rev. A 2013, 87, 023825. [Google Scholar] [CrossRef]
  26. Manceau, M.; Leuchs, G.; Khalili, F.; Chekhova, M. Detection loss tolerant supersensitive phase measurement with an SU(1, 1) interferometer. Phys. Rev. Lett. 2017, 119, 223604. [Google Scholar] [CrossRef]
  27. Xin, J. Phase sensitivity enhancement for the SU (1, 1) interferometer using photon level operations. Opt. Express 2021, 29, 43970–43984. [Google Scholar] [CrossRef]
  28. Ataman, S.; Preda, A.; Ionicioiu, R. Phase sensitivity of a Mach-Zehnder interferometer with single-intensity and difference-intensity detection. Phys. Rev. A 2018, 98, 043856. [Google Scholar] [CrossRef]
  29. Gong, Q.K.; Li, D.; Yuan, C.H.; Qu, Z.Y.; Zhang, W.P. Phase estimation of phase shifts in two arms for an SU (1, 1) interferometer with coherent and squeezed vacuum states. Chin. Phys. B 2017, 26, 094205. [Google Scholar] [CrossRef]
  30. Shao, T.; Zhang, M.Y.; Li, C.L.; Wang, Y.X.; Hu, Y.Y.; Zhang, M.M.; Liu, J. Supersensitive phase estimation for hybrid interferometer using balanced homodyne detection. J. Phys. B At. Mol. Opt. Phys. 2023, 56, 235502. [Google Scholar] [CrossRef]
  31. Jarzyna, M.; Demkowicz-Dobrzański, R. Quantum interferometry with and without an external phase reference. Phys. Rev. A 2012, 85, 011801. [Google Scholar] [CrossRef]
  32. Lang, M.D.; Caves, C.M. Optimal quantum-enhanced interferometry. Phys. Rev. A 2014, 90, 025802. [Google Scholar] [CrossRef]
  33. Preda, A.; Ataman, S. Phase sensitivity for an unbalanced interferometer without input phase-matching restrictions. Phys. Rev. A 2019, 99, 053810. [Google Scholar] [CrossRef]
  34. Fang, Y.M.; Jing, J.T. Quantum squeezing and entanglement from a two-mode phase-sensitive amplifier via four-wave mixing in rubidium vapor. New J. Phys. 2015, 17, 023027. [Google Scholar] [CrossRef]
  35. Jing, J.T.; Liu, C.J.; Zhou, Z.F.; Ou, Z.Y.; Zhang, W.P. Realization of a nonlinear interferometer with parametric amplifiers. Appl. Phys. Lett. 2011, 99, 011110. [Google Scholar] [CrossRef]
  36. Li, Z.; Wang, Y.J.; Sun, H.X.; Liu, K.; Gao, J.R. Tilt measurement at the quantum Cramer–Rao bound using a higher-order hermite–Gaussian mode. Photonics 2023, 10, 584. [Google Scholar] [CrossRef]
  37. Liu, J.; Shao, T.; Wang, Y.X.; Zhang, M.M.; Hu, Y.Y.; Chen, D.X.; Wei, D. Enhancement of the phase sensitivity with two-mode squeezed coherent state based on a Mach-Zehnder interferometer. Opt. Express 2023, 31, 27735–27748. [Google Scholar] [CrossRef]
  38. Zhao, Z.K.; Kang, Q.Q.; Zhang, H.; Zhao, T.; Liu, C.J.; Hu, L.Y. Phase estimation via coherent and photon-catalyzed squeezed vacuum states. Opt. Express 2024, 32, 28267–28281. [Google Scholar] [CrossRef]
  39. Marino, A.M.; Corzo Trejo, N.V.; Lett, P.D. Effect of losses on the performance of an SU (1, 1) interferometer. Phys. Rev. A 2012, 86, 023844. [Google Scholar] [CrossRef]
  40. Yu, J.; Wu, Y.H.; Nie, L.; Zuo, X.J. High-sensitivity quantum-enhanced interferometers. Photonics 2023, 10, 749. [Google Scholar] [CrossRef]
Figure 1. Diagrammatic sketch of an SU(1,1) interferometer for phase sensitivity measurement. It can be divided into three sections. For the first part, it is the state generation. An SU(1,1) interferometer, which contains the FWM2 and FWM3, is placed in the second part. The last part shows the detection process. The red dashed line represents a vacuum beam. M: mirror, ϕ : phase shifter, PD: photon detection, LO: the local beam, FWM: four-wave mixing. The LO is prepared for balanced homodyne detection.
Figure 1. Diagrammatic sketch of an SU(1,1) interferometer for phase sensitivity measurement. It can be divided into three sections. For the first part, it is the state generation. An SU(1,1) interferometer, which contains the FWM2 and FWM3, is placed in the second part. The last part shows the detection process. The red dashed line represents a vacuum beam. M: mirror, ϕ : phase shifter, PD: photon detection, LO: the local beam, FWM: four-wave mixing. The LO is prepared for balanced homodyne detection.
Photonics 13 00309 g001
Figure 2. (a) QCRB versus photon number difference η . Compared with SNL and HL, here, r 1 = r 2 = 0.35 . (b) QCRB versus photon number N with different squeeze parameters r 2 . η = N H N i n denotes the difference in photon number between that inside the interferometer and the input state. N represents the photon number of the coherent state. Here, Δ ϕ SNL = 1 N H and Δ ϕ HL = 1 N H .
Figure 2. (a) QCRB versus photon number difference η . Compared with SNL and HL, here, r 1 = r 2 = 0.35 . (b) QCRB versus photon number N with different squeeze parameters r 2 . η = N H N i n denotes the difference in photon number between that inside the interferometer and the input state. N represents the photon number of the coherent state. Here, Δ ϕ SNL = 1 N H and Δ ϕ HL = 1 N H .
Photonics 13 00309 g002
Figure 3. (a) The phase sensitivity is plotted against phase ϕ and compared with SNL, HL and QCRB with N = 1 . (b) The phase sensitivity is plotted as a function of the photon number N. N represents the photon number of coherent state a. Here, r 1 = r 2 = 0.35 and r 3 = 1.5 .
Figure 3. (a) The phase sensitivity is plotted against phase ϕ and compared with SNL, HL and QCRB with N = 1 . (b) The phase sensitivity is plotted as a function of the photon number N. N represents the photon number of coherent state a. Here, r 1 = r 2 = 0.35 and r 3 = 1.5 .
Photonics 13 00309 g003
Figure 4. The phase sensitivity as a function of squeezing parameter strength, r 1 in (a), r 2 in (b) and r 3 in (c). Other parameters are r 1 = r 2 = 0.35 , r 3 = 1.5 and N = 1 . The rest are the same as those in Figure 3.
Figure 4. The phase sensitivity as a function of squeezing parameter strength, r 1 in (a), r 2 in (b) and r 3 in (c). Other parameters are r 1 = r 2 = 0.35 , r 3 = 1.5 and N = 1 . The rest are the same as those in Figure 3.
Photonics 13 00309 g004
Figure 5. The scheme for phase sensitivity measurement with three fictitious beam splitters (FBSs). T 1 , T 2 and T 3 are the transmissivities of the FBSs, respectively. The other conditions are the same as those in Figure 1.
Figure 5. The scheme for phase sensitivity measurement with three fictitious beam splitters (FBSs). T 1 , T 2 and T 3 are the transmissivities of the FBSs, respectively. The other conditions are the same as those in Figure 1.
Photonics 13 00309 g005
Figure 6. Phase sensitivity versus phase shift via ID in (a,c,e) and BHD in (b,d,f). The figure shows the phase sensitivity versus the phase shift with different transmissions T 1 , T 2 and T 3 . The other parameters are r 1 = r 2 = 0.35 , r 3 = 1.5 and N = 1 .
Figure 6. Phase sensitivity versus phase shift via ID in (a,c,e) and BHD in (b,d,f). The figure shows the phase sensitivity versus the phase shift with different transmissions T 1 , T 2 and T 3 . The other parameters are r 1 = r 2 = 0.35 , r 3 = 1.5 and N = 1 .
Photonics 13 00309 g006
Figure 7. The phase sensitivity versus transmission via ID in (a,c,e) and BHD in (b,d,f). (a,b) shows the phase sensitivity versus T 1 and T 2 with T 3 = 1 . (c,d) show the phase sensitivity versus T 1 and T 3 with T 2 = 1 . (e,f) display the phase sensitivity versus T 2 and T 3 with T 1 = 1 . The other parameters are the same as those in Figure 6.
Figure 7. The phase sensitivity versus transmission via ID in (a,c,e) and BHD in (b,d,f). (a,b) shows the phase sensitivity versus T 1 and T 2 with T 3 = 1 . (c,d) show the phase sensitivity versus T 1 and T 3 with T 2 = 1 . (e,f) display the phase sensitivity versus T 2 and T 3 with T 1 = 1 . The other parameters are the same as those in Figure 6.
Photonics 13 00309 g007
Figure 8. Phase sensitivity versus photon number in (a) and squeezing parameter strength r i   ( i = 1 , 2 , 3 ) in (bd). Here, transmissivity T is set as T i = 0.7 ( i = 1 , 2 , 3 ) . The other parameters are the same as those in Figure 6.
Figure 8. Phase sensitivity versus photon number in (a) and squeezing parameter strength r i   ( i = 1 , 2 , 3 ) in (bd). Here, transmissivity T is set as T i = 0.7 ( i = 1 , 2 , 3 ) . The other parameters are the same as those in Figure 6.
Photonics 13 00309 g008
Figure 9. The device diagram of the hybrid interferometer. The other conditions are the same as those in Figure 1.
Figure 9. The device diagram of the hybrid interferometer. The other conditions are the same as those in Figure 1.
Photonics 13 00309 g009
Figure 10. The phase sensitivity varies with the phase ϕ , N = 1 in (a) and N = 100 in (b) with r 1 = r 2 = 0.15 and r 3 = 1.5 . HI in the figure means the phase sensitivity with BHD based on the hybrid interferometer. We use the SU(1,1) to represent the phase sensitivity with BHD based on the SU(1,1) interferometer. Here, the input state based on the HI and SU(1,1) interferometer is the two-mode squeezed coherent state. The other conditions are the same as those in Figure 3.
Figure 10. The phase sensitivity varies with the phase ϕ , N = 1 in (a) and N = 100 in (b) with r 1 = r 2 = 0.15 and r 3 = 1.5 . HI in the figure means the phase sensitivity with BHD based on the hybrid interferometer. We use the SU(1,1) to represent the phase sensitivity with BHD based on the SU(1,1) interferometer. Here, the input state based on the HI and SU(1,1) interferometer is the two-mode squeezed coherent state. The other conditions are the same as those in Figure 3.
Photonics 13 00309 g010
Figure 11. The phase sensitivity varies with the photon number N in (a) and squeezing parameter strength r i (i = 1, 2, 3) in (bd). N = 1 , r 1 = r 2 = 0.15 and r 3 = 1.5 . The other conditions are the same as those in Figure 10.
Figure 11. The phase sensitivity varies with the photon number N in (a) and squeezing parameter strength r i (i = 1, 2, 3) in (bd). N = 1 , r 1 = r 2 = 0.15 and r 3 = 1.5 . The other conditions are the same as those in Figure 10.
Photonics 13 00309 g011
Figure 12. The phase sensitivity varies with the transmission efficiency T i   ( i = 1 , 2 , 3 ) in (ac). N = 1 , r 1 = r 2 = 0.15 and r 3 = 1.5 . In (a), T 2 = T 3 = 1 . In (b), T 1 = T 3 = 1 . In (c), T 1 = T 2 = 1 . The other conditions are the same as those in Figure 10.
Figure 12. The phase sensitivity varies with the transmission efficiency T i   ( i = 1 , 2 , 3 ) in (ac). N = 1 , r 1 = r 2 = 0.15 and r 3 = 1.5 . In (a), T 2 = T 3 = 1 . In (b), T 1 = T 3 = 1 . In (c), T 1 = T 2 = 1 . The other conditions are the same as those in Figure 10.
Photonics 13 00309 g012
Disclaimer/Publisher’s Note: The statements, opinions and data contained in all publications are solely those of the individual author(s) and contributor(s) and not of MDPI and/or the editor(s). MDPI and/or the editor(s) disclaim responsibility for any injury to people or property resulting from any ideas, methods, instructions or products referred to in the content.

Share and Cite

MDPI and ACS Style

Xu, C.; Wang, L.; Ke, S.; Liu, J.; Chen, D. The Super Phase Sensitivity of an SU(1,1) Interferometer with a Two-Mode Squeezed Coherent State via Balanced Homodyne and Intensity Detection. Photonics 2026, 13, 309. https://doi.org/10.3390/photonics13030309

AMA Style

Xu C, Wang L, Ke S, Liu J, Chen D. The Super Phase Sensitivity of an SU(1,1) Interferometer with a Two-Mode Squeezed Coherent State via Balanced Homodyne and Intensity Detection. Photonics. 2026; 13(3):309. https://doi.org/10.3390/photonics13030309

Chicago/Turabian Style

Xu, Changlan, Lei Wang, Shaoqiu Ke, Jun Liu, and Dongxu Chen. 2026. "The Super Phase Sensitivity of an SU(1,1) Interferometer with a Two-Mode Squeezed Coherent State via Balanced Homodyne and Intensity Detection" Photonics 13, no. 3: 309. https://doi.org/10.3390/photonics13030309

APA Style

Xu, C., Wang, L., Ke, S., Liu, J., & Chen, D. (2026). The Super Phase Sensitivity of an SU(1,1) Interferometer with a Two-Mode Squeezed Coherent State via Balanced Homodyne and Intensity Detection. Photonics, 13(3), 309. https://doi.org/10.3390/photonics13030309

Note that from the first issue of 2016, this journal uses article numbers instead of page numbers. See further details here.

Article Metrics

Back to TopTop