Efficient Multipartite Energy Transfer Based on Strongly Coupled Topological Cavities
Abstract
1. Introduction
2. Materials and Methods
2.1. System Configuration and Topological Modes
2.2. Methods
3. Results and Discussion
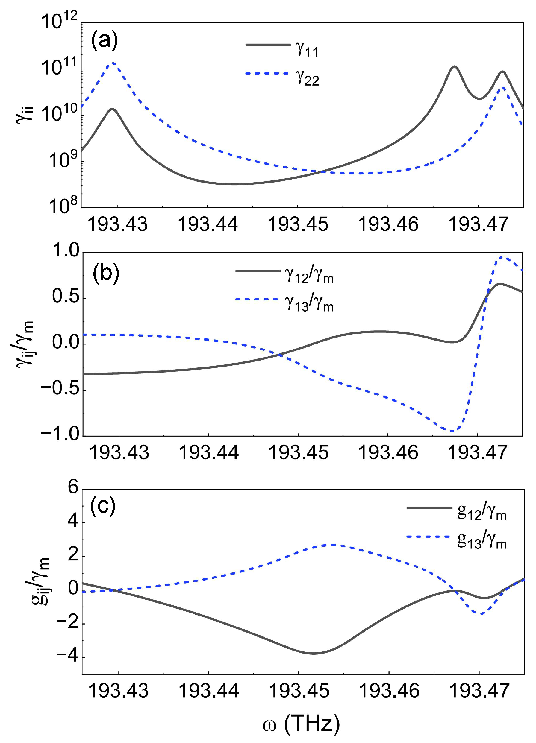
3.1. Coupling Strength and Resonance Analysis
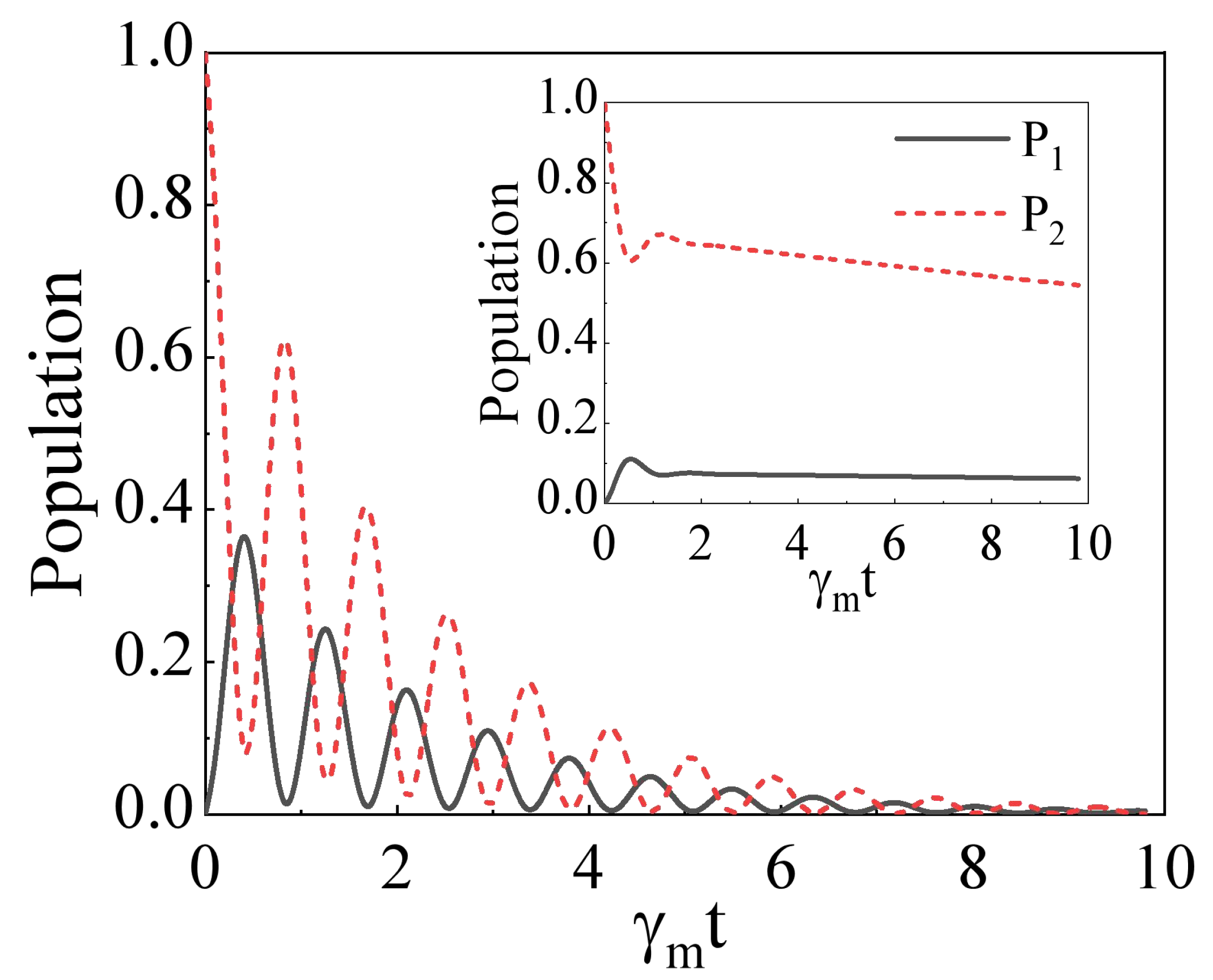
3.2. Energy Transfer Quality
3.3. Robustness and Topological Protection
4. Conclusions
Author Contributions
Funding
Data Availability Statement
Conflicts of Interest
References
- Scholes, G.D.; Fleming, G.R.; Olaya-Castro, A.; van Grondelle, R. Lessons from nature about solar light harvesting. Nat. Chem. 2011, 3, 763–774. [Google Scholar] [CrossRef]
- Andrew, P.; Barnes, W.L. Energy transfer across a metal film mediated by surface plasmon polaritons. Science 2004, 306, 1002–1005. [Google Scholar] [CrossRef] [PubMed]
- Kimble, H.J. The quantum internet. Nature 2008, 453, 1023–1030. [Google Scholar] [CrossRef]
- Cirac, J.I.; Zoller, P.; Kimble, H.J.; Mabuchi, H. Quantum state transfer and entanglement distribution among distant nodes in a quantum network. Phys. Rev. Lett. 1997, 78, 3221. [Google Scholar] [CrossRef]
- Chu, M.J.; Ren, J.; Wang, Z.D. Deterministic steady-state subradiance within a single-excitation basis. npj Quantum Inf. 2025, 11, 99. [Google Scholar] [CrossRef]
- Förster, T. Zwischenmolekulare energiewanderung und fluoreszenz. Ann. Phys. 1948, 437, 55–75. [Google Scholar] [CrossRef]
- Barnes, W.L.; Dereux, A.; Ebbesen, T.W. Surface plasmon subwavelength optics. Nature 2003, 424, 824–830. [Google Scholar] [CrossRef]
- Ren, J.; Wu, T.; Yang, B.; Zhang, X. Simultaneously giant enhancement of Förster resonance energy transfer rate and efficiency based on plasmonic excitations. Phys. Rev. B 2016, 94, 125416. [Google Scholar] [CrossRef]
- Northup, T.E.; Blatt, R. Quantum information transfer using photons. Nat. Photonics 2014, 8, 356–363. [Google Scholar] [CrossRef]
- Dicke, R.H. Coherence in spontaneous radiation processes. Phys. Rev. 1954, 93, 99. [Google Scholar] [CrossRef]
- Haldane, F.D.M. Model for a quantum Hall effect without Landau levels: Condensed-matter realization of the “Parity Anomaly”. Phys. Rev. Lett. 1988, 61, 2015. [Google Scholar] [CrossRef]
- Raghu, S.; Haldane, F.D.M. Analogs of quantum-Hall-effect edge states in photonic crystals. Phys. Rev. A 2008, 78, 033834. [Google Scholar] [CrossRef]
- Lu, L.; Joannopoulos, J.D.; Soljačić, M. Topological photonics. Nat. Photonics 2014, 8, 821–829. [Google Scholar] [CrossRef]
- Wu, L.H.; Hu, X. Scheme for achieving a topological photonic crystal by using dielectric material. Phys. Rev. Lett. 2015, 114, 223901. [Google Scholar] [CrossRef] [PubMed]
- Wang, Y.; Ren, J.; Zhang, W.; He, L.; Zhang, X. Topologically protected long-range coherent energy transfer in a photonic topological insulator. Photonics Res. 2020, 8, B39–B44. [Google Scholar] [CrossRef]
- Wang, Y.; Ren, J.; Zhang, W.; He, L.; Zhang, X. Topologically protected strong coupling and entanglement between distant quantum emitters. Phys. Rev. Appl. 2020, 14, 054007. [Google Scholar] [CrossRef]
- Wang, Z.; Chong, Y.; Joannopoulos, J.D.; Soljačić, M. Observation of unidirectional backscattering-immune topological electromagnetic states. Nature 2009, 461, 772–775. [Google Scholar] [CrossRef]
- Hafezi, M.; Mittal, S.; Fan, J.; Migdall, A.; Taylor, J.M. Imaging topological edge states in silicon photonics. Nat. Photonics 2013, 7, 1001–1005. [Google Scholar] [CrossRef]
- Benalcazar, W.A.; Bernevig, B.A.; Hughes, T.L. Quantized electric multipole insulators. Science 2017, 357, 61–66. [Google Scholar] [CrossRef]
- Noh, J.; Benalcazar, W.A.; Huang, S.; Collins, M.J.; Chen, K.P.; Hughes, T.L.; Rechtsman, M.C. Topological protection of photonic mid-gap defect modes. Nat. Photonics 2018, 12, 408–415. [Google Scholar] [CrossRef]
- Yang, Y.; Jia, Z.; Wu, Y.; Xiao, R.C.; Hang, Z.H.; Jiang, H.; Xie, X.C. Gapped topological kink states and topological corner states in honeycomb lattice. Sci. Bull. 2020, 65, 531–537. [Google Scholar] [CrossRef]
- Ota, Y.; Takata, K.; Ozawa, T.; Amo, A.; Jia, Z.; Kante, B.; Notomi, M.; Arakawa, Y.; Iwamoto, S. Active topological photonics. Nanophotonics 2020, 9, 547–567. [Google Scholar] [CrossRef]
- Wang, Y.; Hu, S.; Guo, Z.; Jiang, J.; Yang, Y.; Lu, C.; Chen, H. Topological Singularities and Edge-State Coupling Enable Robust on-Chip Slow Light. Adv. Sci. 2025, 12, e07226. [Google Scholar] [CrossRef]
- Barik, S.; Karasahin, A.; Flower, C.; Cai, T.; Miyake, H.; DeGottardi, W.; Hafezi, M.; Waks, E. A topological quantum optics interface. Science 2018, 359, 666–668. [Google Scholar] [CrossRef]
- Jiang, J.; Hu, S.; Guo, Z.; Ke, S.; Wu, X.; Wu, Y.; Chen, H. Topological corner states for wireless power transfer. Rev. Phys. 2025, 13, 100112. [Google Scholar] [CrossRef]
- Ruan, Y.; Qian, X.; Wang, H.X.; Hu, Z.D.; Yang, Y.; Wang, J.; Shen, X.; Wang, Y. Applications for wavelength division multiplexers based on topological photonic crystals. Photonics Res. 2023, 11, 569–574. [Google Scholar] [CrossRef]
- Yu, W.; Liu, S.; Sun, H.; Wang, J.; Yang, Y. Strategies for guiding directional topological waveguides with symmetric regularity. J. Light. Technol. 2025, 43, 205–213. [Google Scholar] [CrossRef]
- Dung, H.T.; Knöll, L.; Welsch, D.-G. Resonant dipole-dipole interaction in the presence of dispersing and absorbing surroundings. Phys. Rev. A 2002, 66, 063810. [Google Scholar] [CrossRef]
- Gonzalez-Tudela, A.; Martin-Cano, D.; Moreno, E.; Martin-Moreno, L.; Garcia-Vidal, F.J.; Tejedor, C. Entanglement of Two Qubits Mediated by One-Dimensional Plasmonic Waveguides. Phys. Rev. Lett. 2011, 106, 020501. [Google Scholar] [CrossRef]
- Ren, J.; Chen, T.; Zhang, X. Long-lived quantum speedup based on plasmonic hot spot systems. New J. Phys. 2019, 21, 053034. [Google Scholar] [CrossRef]
- Ren, J.; Chen, T.; Wang, B.; Zhang, X. Ultrafast coherent energy transfer with high efficiency based on plasmonic nanostructures. J. Chem. Phys. 2017, 146, 144101. [Google Scholar] [CrossRef]
- Olaya-Castro, A.; Lee, C.F.; Olsen, F.F.; Johnson, N.F. Efficiency of energy transfer in a light-harvesting system under quantum coherence. Phys. Rev. B 2008, 78, 085115. [Google Scholar] [CrossRef]
- Rao, M.; Shi, F.; Rao, Z.; Yang, J.; Song, C.; Chen, X.; Yu, S. Single photon emitter deterministically coupled to a topological corner state. Light Sci. Appl. 2024, 13, 19. [Google Scholar] [CrossRef]
- Proctor, M.; Huidobro, P.A.; Bradlyn, B.; De Paz, M.B.; Vergniory, M.G.; Bercioux, D.; García-Etxarri, A. Robustness of topological corner modes in photonic crystals. Phys. Rev. Res. 2020, 2, 042038. [Google Scholar] [CrossRef]
- Mann, C.-R.; Mariani, E. Topological transitions in arrays of dipoles coupled to a cavity waveguide. Phys. Rev. Res. 2022, 4, 013078. [Google Scholar] [CrossRef]
- Manga Rao, V.S.C.; Hughes, S. Single quantum-dot Purcell factor and β factor in a photonic crystal waveguide. Phys. Rev. B 2007, 75, 205437. [Google Scholar] [CrossRef]





Disclaimer/Publisher’s Note: The statements, opinions and data contained in all publications are solely those of the individual author(s) and contributor(s) and not of MDPI and/or the editor(s). MDPI and/or the editor(s) disclaim responsibility for any injury to people or property resulting from any ideas, methods, instructions or products referred to in the content. |
© 2026 by the authors. Licensee MDPI, Basel, Switzerland. This article is an open access article distributed under the terms and conditions of the Creative Commons Attribution (CC BY) license.
Share and Cite
Ren, J.; Li, J.; Liu, Y.; Wang, Y. Efficient Multipartite Energy Transfer Based on Strongly Coupled Topological Cavities. Photonics 2026, 13, 203. https://doi.org/10.3390/photonics13020203
Ren J, Li J, Liu Y, Wang Y. Efficient Multipartite Energy Transfer Based on Strongly Coupled Topological Cavities. Photonics. 2026; 13(2):203. https://doi.org/10.3390/photonics13020203
Chicago/Turabian StyleRen, Jun, Jinhua Li, Ya Liu, and Yujing Wang. 2026. "Efficient Multipartite Energy Transfer Based on Strongly Coupled Topological Cavities" Photonics 13, no. 2: 203. https://doi.org/10.3390/photonics13020203
APA StyleRen, J., Li, J., Liu, Y., & Wang, Y. (2026). Efficient Multipartite Energy Transfer Based on Strongly Coupled Topological Cavities. Photonics, 13(2), 203. https://doi.org/10.3390/photonics13020203

