Next Article in Journal
High-Performance NIR Laser-Beam Shaping and Materials Processing at 350 W with a Spatial Light Modulator
Next Article in Special Issue
Passively Mode-Locked Tm:YAP Laser Utilizing a Mo2TiAlC2 MAX Phase Saturable Absorber for Modulation
Previous Article in Journal
Single-Photon Computational Imaging System Based on Multi-Pixel Photon Counter
Previous Article in Special Issue
Molecular Alignment Under Strong Laser Pulses: Progress and Applications
 
 
Font Type:
Arial Georgia Verdana
Font Size:
Aa Aa Aa
Line Spacing:
Column Width:
Background:
Communication

0.74 W Broadband Degenerate Femtosecond MgO-Doped Periodically Poled Lithium Niobate (MgO: PPLN) Optical Parametric Oscillator at 2056 nm

1
Gansu Provincial All Solid-State Laser Engineering Research Center, Tianshui Normal University, Tianshui 741001, China
2
Engineering Research Center of Integrated Circuit Packaging and Testing, Ministry of Education, Tianshui 741001, China
*
Authors to whom correspondence should be addressed.
Photonics 2025, 12(6), 543; https://doi.org/10.3390/photonics12060543
Submission received: 5 May 2025 / Revised: 19 May 2025 / Accepted: 23 May 2025 / Published: 27 May 2025
(This article belongs to the Special Issue Advances in Ultrafast Laser Science and Applications)

Abstract

The degenerate optical parametric oscillator (OPO) is demonstrated to generate high-power, broadband mid-infrared MgO-doped periodically poled lithium niobate (MgO:PPLN) femtosecond laser at 151 MHz, synchronously pumped by a commercial Kerr-lens mode-locked Yb:KGW oscillator at 1028 nm. The average power of the degenerate OPO centered at 2056 nm is as high as 740 mW, which is the highest output power from a reported 2 μm degenerate femtosecond OPO, pumped by a bulk solid-state laser. The full width at half maximum (FWHM) spectral bandwidth of the degenerate OPO is 87.4 nm, corresponding to a theoretical, Fourier-limited pulse duration of 51 fs. These remarkable results indicate that degenerate OPO is a great potential candidate technology for generating high-power and few-cycle femtosecond pulses around 2 μm. Such mid-infrared sources are well-suited for high harmonic generation, a pumping source for mid- to far-infrared OPO.

1. Introduction

The applications of 2 μm femtosecond laser sources are extremely extensive, especially as a pump source for optical parametric oscillators and amplifiers (OPOs and OPAs) to generate 2–10 μm laser pulses [1,2,3,4], which have significant application value in infrared guidance technology, biomedicine, high-resolution spectroscopy, and other fields [5,6,7,8,9]. In addition, a 2 μm laser source as the driver of higher harmonics can generate soft X-rays. Because the photon energy of higher harmonics is proportional to the square of the wavelength of the driving pulse [10,11], the mid-infrared laser as the driver pulse can generate higher X-ray photon energy than the commonly used near-infrared pump.
Currently, the 2 μm femtosecond sources can be accessed by various alternative schemes. One approach uses direct generation based on the stimulated radiation effect of Tm3+/Ho3+-doped crystal and Tm-doped fiber combined with challenging mode-locking technology due to strong absorption by water [12,13,14,15,16,17,18] and requiring water-cooling for stable high-power operation. However, the generation of sub-50 fs or up to watt-level pulses at 2 μm is complex and challenging, affected by the emission spectral bandwidth and thermal conductivity of the gain medium, and accurate intracavity dispersion compensation to realize Fourier-limited pulse duration [19,20,21]. Pulses as short as 41 fs were generated from the Kerr-lens mode-locked (KLM) Tm-doped laser pumped by 1611 nm Er: Yb MOPA. However, the corresponding average power was only 42 mW [22]. In 2022, Zhang et al. demonstrated the watt-level semiconductor saturable absorber mirror (SESAM) mode-locked femtosecond Tm-doped ceramic laser, which was the highest average power from the reported Tm-doped laser. However, the corresponding pulse duration was 298 fs [23].
An alternative approach has utilized nonlinear frequency conversion, especially degenerate OPO, by transferring a Yb-doped solid or fiber laser to the 2 μm wavelength [24,25,26,27], which is of particular interest due to the large parametric gain bandwidth and compact structure. Compared with direct generation, degenerate OPO processes do not require water cooling and mode-locking technology, making it a promising way to yield few-cycle femtosecond pulses. It is worth mentioning that the output pulses of degenerate OPO at 2 μm are phase and frequency-locked to the pump source [28,29]; thus, the frequency comb sources can be extended directly into the mid-infrared. In fact, the concept of degenerate point OPO has already appeared in OPOs pumped by 775 nm [28], 1550 nm [30], and 2 μm lasers [29], which indicates the potential to achieve few-cycle pulses. In 2024, A. Li et al. demonstrated a 2.8 W, 114 fs degenerate OPO at 2060 nm, pumped by a Yb:YAG thin-disk KLM oscillator [31]. However, 2 μm femtosecond degenerate OPO pumped by a bulk solid-state laser has only two reports due to the difficulty in achieving the degenerate state and instability. In 2012, W. Rudy Charles from Stanford University reported a 2070 nm degenerate OPO with 48 fs pulses, delivering only 10 mW of average power, synchronously pumped by a Yb-doped fiber laser [32]. In 2018, a broadband degenerate femtosecond OPO around 2060 nm was demonstrated, generating 82 mW of average power [33]. However, these 2 μm degeneracy femtosecond OPOs pumped by bulk solid-state lasers realize the maximum average power below 100 mW, and further work needs to be performed to scale the output power.
In this work, we demonstrate a stable 2 μm degenerate OPO, synchronously pumped by a commercial KLM Yb: KGW oscillator. The central wavelength of the degenerate OPO at 2056 nm is exactly twice that of the pump laser at 1028 nm. Sub-100 fs pump laser and short-length nonlinear crystal, combined with the low intracavity dispersion, result in a broad FWHM spectral bandwidth of 87.4 nm for the degenerate OPO, and the corresponding Fourier-limited pulse duration is 51 fs. Meanwhile, the OPO generated 740 mW of average power pulses centered at 2056 nm, which is the highest output power from a reported 2 μm degenerate femtosecond OPO, pumped by a bulk solid-state laser. These remarkable results indicate that the degenerate OPO could be a promising candidate technology to generate high-power and few-cycle mid-infrared femtosecond lasers.

2. Experimental Setup

The schematic of the experimental setup for the synchronously pumped degenerate MgO: PPLN OPO is presented in Figure 1. The pump source was a commercial KLM Yb: KGW oscillator with the repetition frequency of 75.5 MHz, pulse duration of 96 fs, average power of 7 W, and central wavelength of 1028 nm (Light Conversion, Vilnius, Lithuania). The OPO cavity was formed by two concave mirrors, M1 and M2, two flat high reflection mirrors, M3 and M4, and a flat output coupler, OC. Dielectric mirrors M1 and M2 were concave mirrors with a radius of curvature ROC = 100 mm, high transmission (>98%) for the pump laser, and high reflectivity in the 1400–2100 nm range. Mirrors M3–M4 were flat with high (99.9%) reflectivity at 1850–2200 nm. An OC mirror with 20% transmittance was used to extract intracavity power. The nonlinear gain medium used for the OPO was a 3 mm long with the aperture of 1.5 mm × 1 mm, 5% MgO-doped, quasi-phase matched, MgO: PPLN crystal (HC Photonics, Inc., Hsinchu City, Taiwan), with high transmission over 1035 (R < 0.5%)/2070 (R < 0.5%) nm on both sides of crystal. The MgO:PPLN crystal was placed in a temperature-controlled furnace to be heated to 94 °C to match the single grating period of 31 μm for the degenerate wavelength at 2056 nm. The gain crystal was placed between two concave mirrors (M1, M2) to create a waist radius of 40 μm inside the MgO: PPLN crystal. Considering that the measured input beam diameter was 3 mm, a convex lens (L) with a focal length of 150 mm was employed to focus the beam to a calculated size of 36 μm to mode-match the oscillating beam in the OPO cavity.
The first half-wave plate (HWP1), the polarizing beam splitter (PBS), and the Faraday rotator (FR) together form the isolator to prevent the beam returned from the OPO cavity from interfering with the KLM Yb: KGW laser mode-locked state or even damaging the pump source. The maximum output power of the pump source was 7 W and cannot be adjusted flexibly. In the initial stage of the experiment, the weak pump beam was focused into the MgO: PPLN crystal to achieve second harmonic generation (SHG) due to the frequency-doubling effect. We used a small white paper to observe whether the green laser spot passing through the back of the crystal was round, combined with the fluorescent straight line generated by the pump laser in the crystal, to determine whether the pump laser was incident in the center of the crystal. Considering that the crystal width was only 1 mm, it was more significant to prevent crystal cracking under high-power laser operation. In addition, we also use the fluorescence display card to observe whether the reflected spot on the front surface of the crystal coincides with the pump laser to judge the crystal placement state. By adjusting the crystal position to make the two spots coincide, the green beam circulating back and forth in the resonator will be reduced, and it is convenient to calibrate the optical path in the entire cavity. Therefore, we used the power attenuation device composed of the HWP1 and PBS to flexibly control the output power of the pump source by rotating the half-wave plate. The two 45° flat mirrors with high reflectivity were used for transmitting and collimating the pump laser. The second half-wave plate (HWP2) was employed to change the polarization state of the pump laser from the original horizontal polarization to the vertical polarization. Finally, a filter is placed behind the OC to allow the beam longer than 1500 nm to pass through and reflect the beam with a wavelength shorter than 1500 nm at a certain angle. Therefore, the beam entering the power meter is only the signal pulses and has almost no pump laser component.

3. Results and Discussion

In the initial stage of the experiment, we first investigated the selection of crystal parameters when using the MgO: PPLN crystal to realize a degenerate OPO. According to the wavelength tuning of the MgO: PPLN nonlinear crystal in a 1 μm laser-pumped OPO, with the theoretical calculation, the corresponding grating period is 31 μm at degeneracy, and it can be realized at 94 °C. Although theoretically the wavelength of the idler laser can be longer than 4 μm, MgO: PPLN crystals had absorption near 4 μm. In fact, there were many crystals with excellent performance, such as ZGP, OP-GaAs, and other mid-infrared nonlinear crystals, but it was also due to the absorption effect around 1 μm that the wavelength of the pumped laser band needs to be longer than 1.7 μm, which made the research on 2 μm degenerate OPO more significant.
We designed the repetition rate of the OPO to be 151 MHz, and hence, the linear resonator was 993 mm long to match in length to twice the pump source repetition rate. Using the same mid-infrared spectrometer (AvaSpec-NIR), we further measured the OPO output laser spectrum across the entire wavelength tuning ranges near degeneracy by adjusting the cavity length, corresponding to the degenerate wavelength of 2056 nm. The measurements were performed for an available average pump power of 7 W. The experimental results are shown in Figure 2, where ∆ represents the wavelength separation distance of the central of the signal and the idler. The OPO cavity length was roughly adjusted by installing a manual translation stage for the output coupler mirror; the separation variations ∆ of the OPO output laser spectrum are shown in Figure 2a–d; the OPO simultaneously generated the signal and the idler pulses of different wavelengths. Away from the degeneracy point, the ∆ value of the central wavelength of signal pulses and idle pulses was 193.3 nm, as shown in Figure 2a. When the value of the micrometer on the translation platform installed on the output mirror changes by 25 μm, the wavelength peaks of the signal and the idler beam begin to approach, and the corresponding value of ∆ decreases to 122.3 nm, as demonstrated in Figure 2b. With the variations ofthe translation platform by 10 μm, the value of the ∆ was 109.4 nm, as described in Figure 2c. When the cavity length was increased by 6 μm, the ∆ changed to 64.3 nm, and the signal laser and idler laser were nearly merged at peak wavelengths, as shown in Figure 2d. However, the degenerate wavelength cannot be realized by roughly adjusting the distance before and after OC. Therefore, the cavity was fine-tuned by installing a motor-driven piezoelectric transducer (PZT) on the M3 mirror, the peaks finally merged into a single peak, and the single wavelength of the OPO at degenerate occurred, as demonstrated in Figure 2e. The center wavelength of the output pulses at degenerate was 2056 nm, corresponding to a FWHM spectral bandwidth of 87.4 nm, and the Fourier-limited pulse duration was calculated as 51 fs based on the following formulas [34].
Δ τ Δ ω K
Δ ω = c λ 2 Δ λ
The relationship between pulse duration (Δτ) and spectral width (Δω) is described by Formula (1). Here, K represents the time-bandwidth product (TBP). For sech2-shaped pulses, K is equal to 0.315. In Formula (2), c represents the light speed; λ represents the center wavelength; and ∆λ represents the FWHM spectrum bandwidth. However, the actual pulse duration was not measured due to the lack of an autocorrelator at 2 μm.
When the pump pulses (ωp) pass through a nonlinear crystal, the signal (ωs) and the idler (ωi) are simultaneously generated, which can meet the energy matching conditions, ωp = ωs + ωi. Degeneracy OPO refers to the state when the frequencies of the signal and the idler are equal, ωs = ωi = ωp/2. In the non-degenerate OPO process, ωs ≠ ωi, parametric oscillation is realized at two different resonant wavelengths.
The spectrum of the KLM Yb:KGW oscillator was measured by a spectrometer (AQ-6315A ANDO, Tokyo, Japan), and the center of the pump source was 1028 nm, as shown in Figure 2f. It can be clearly seen that the output pulses’ wavelength of the OPO at degeneracy was twice the wavelength of the pump source, which was consistent with the theory and experiment. The signal beam can be tuned from 1965.7 nm to degenerate at 2056 nm, and the idler beam can be tuned from 2159 nm to 2056 nm, for a cavity length change of 44 μm.
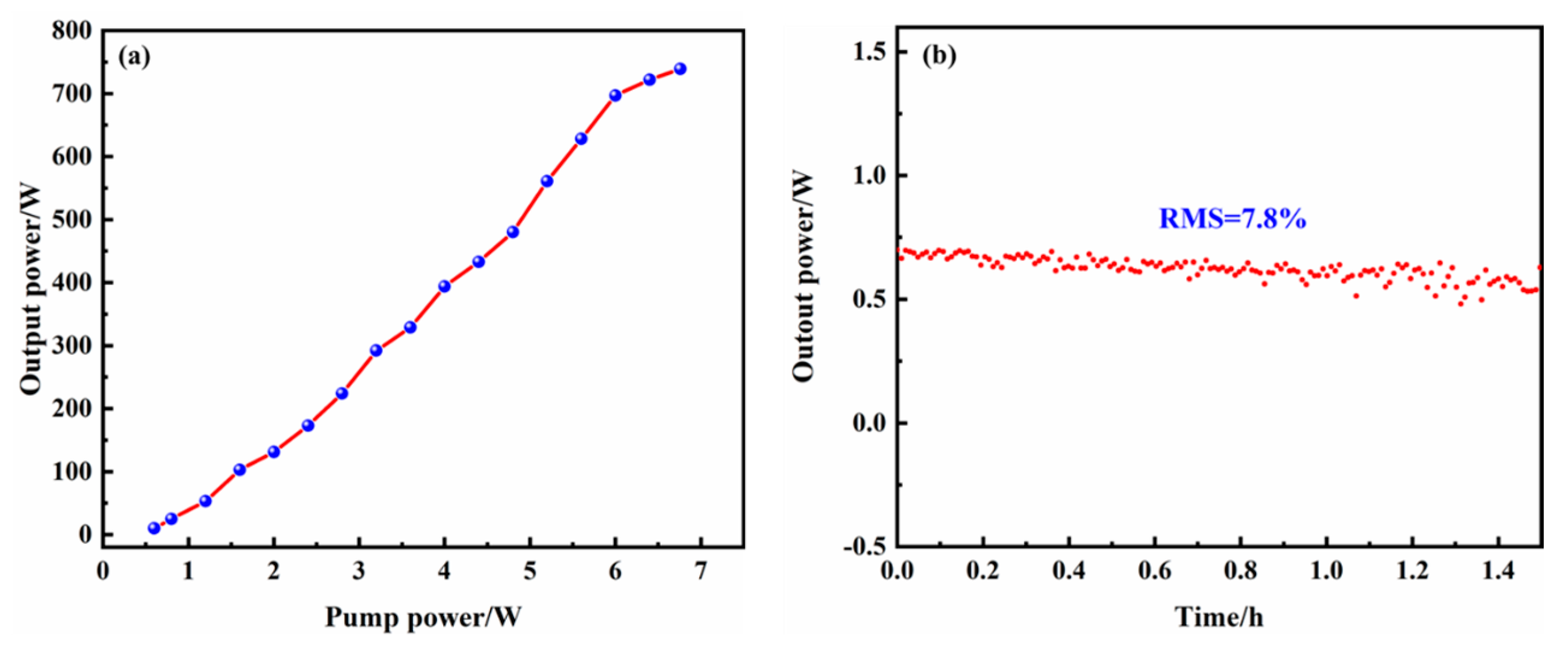
We also measured the output power at degenerate for the synchronously pumped OPO using a power instrument (S350C, Thorlab, Newton, NJ, USA). Figure 3a demonstrates the average output power of the degenerate OPO as a function of incident pump power. The 7 W pumped laser consumed 300 mW after passing through the isolator, two 45° reflecting mirrors, a half-wave plate, and a convex lens. The average output power of the degenerate OPO showed a linear upward trend. The pumping threshold was 0.6 W. With 6.7 W of pump power at 1028 nm, the maximum output power of the 2056 nm degenerate OPO was as high as 739 mW, which was the highest average power from a reported Yb-doped bulk solid-state laser-pumped degenerate mid-infrared OPO. The OPO also exhibited the root-mean-square (RMS) stability of average output power over 1.5 h better than 7.8%, as depicted in Figure 3b. The operating ranges of the degenerate femtosecond OPO are only between several hundred nanometers and several micrometers, and the accuracy and stability of the translation stage and PZT used in the experiment directly affect the output laser stability of the degenerate OPO. After running for 1.5 h, the power shows a relatively obvious jitter, which might be due to the fluctuation of the output laser between the degenerate state and the non-degenerate state. Finally, the ultrafast pulses at 2 μm are at the absorption peak of water molecules, which might also be one of the reasons for the instability of the OPO.

4. Conclusions

In summary, we demonstrate that a degenerate OPO at 2056 nm pumped by a Yb: KGW femtosecond oscillator offers a broad FWHM spectral bandwidth of 87.4 nm, and the corresponding Fourier-limited pulse duration is 51 fs. Most noteworthy is the degeneracy OPO output power of up to 740 mW, which is the highest average power from the 2 μm OPO pumped by a bulk solid-state laser in the degenerate regime. These remarkable results indicate that the degenerate OPO is a potential candidate technical solution for all-solid-state ultrashort pulse lasers at 2 μm. The degenerate OPOs also exhibit wide spectral properties, which are limited by the intracavity gain bandwidth. However, the insertion of Kerr media in the OPO cavity could be used to expand the cavity spectral bandwidth by the chirped pulse oscillation method based on the self-phase modulation effect and support the generation of few-cycle femtosecond pulse at 2 μm. We also believe that higher power and shorter pulse duration could be realized by using a high-power femtosecond Yb-doped fiber amplifier as a pumping source, larger pump spot diameter, and more accurate dispersion compensation in the future. The 2 μm degeneracy OPO research is not only expected to promote the new development of mid-infrared femtosecond lasers and break through the current bottleneck in the research field but also has urgent application needs in defense, biomedicine, precision spectroscopy, environmental detection, and attosecond pulse generation.

Author Contributions

Conceptualization, J.Y. and W.L.; methodology, Y.Z. and J.Y.; validation, T.H. and H.X.; investigation, X.Q.; resources, Z.D.; data curation, Y.Z. and B.W.; writing—original draft preparation, Y.Z.; writing—review and editing, Y.Z. and J.Y.; visualization, Y.Z. and B.W.; supervision, Z.D.; project administration, W.L.; funding acquisition, Y.Z., J.Y. and W.L. All authors have read and agreed to the published version of the manuscript.

Funding

This work was supported by National Natural Science Foundation of China (Grant Nos. 62405221 and 62165012), Gansu Province College Industry Support Plan Project (Grant No.2024CYZC-44), Key Talent Project of Gansu Province (Grant Nos. 2025RCXM023, 2023RCXM29), Gansu Provincial Department of Education: Major Cultivation Project of University Research and Innovation Platform (Grant No. 2024CXPT-12), Gansu Province University Youth Doctoral Support Project (Grant Nos. 2023QB-013), Tianshui Strong Science and Technology Award special project (TS-STK-2024A-277), Qinzhou District Science and Technology Plan Project (Grant Nos. 2024-SHFZG-8159), and the Natural Science Foundation of Gansu Province (Grant Nos. 25JRRE009, 25JRZE003, 23ZDGE001).

Institutional Review Board Statement

Not applicable.

Informed Consent Statement

Not applicable.

Data Availability Statement

Data are contained within the article.

Conflicts of Interest

The authors declare no conflicts of interest.

Abbreviations

The following abbreviations are used in this manuscript:
OPOoptical parametric oscillator
MgO:PPLNMgO-doped periodically poled lithium niobate
FWHMfull width at half maximum
SESAMsemiconductor saturable absorber mirror
KLMKerr-lens mode-locked

References

  1. Negel, J.P.; Hegenbarth, R.; Steinmann, A.; Metzger, B.; Hoos, F.; Giessen, H. Compact and cost-effective scheme for THz generation via optical rectification in GaP and GaAs using novel fs laser oscillators. Appl. Phys. B 2011, 1, 45–50. [Google Scholar] [CrossRef]
  2. Vodopyanov, K.L.; Fejer, M.M.; Yu, X.; Harris, J.S.; Lee, Y.S.; Hurlbut, W.C.; Kozlov, V.G.; Bliss, D.; Lynch, C. Terahertz-wave generation in quasi-phase-matched GaAs. Appl. Phys. Lett. 2006, 14, 141119. [Google Scholar] [CrossRef]
  3. Maidment, L.; Kara, O.; Schunemann, P.G.; Piper, J.; McEwan, K.; Reid, D.T. Long-wave infrared generation from femtosecond and picosecond optical parametric oscillators based on orientation-patterned gallium phosphide. Appl. Phys. B 2018, 7, 1–8. [Google Scholar] [CrossRef]
  4. Brida, D.; Manzoni, C.; Cirmi, G.; Marangoni, M.; De Silvestri, S.; Cerullo, G. Generation of broadband mid-infrared pulses from an optical parametric amplifier. Opt. Express 2007, 23, 15035–15040. [Google Scholar] [CrossRef]
  5. Adler, F.; Masłowski, P.; Foltynowicz, A.; Cossel, K.C.; Briles, T.C.; Hartl, I.; Ye, J. Mid-infrared Fourier transform spectroscopy with a broadband frequency comb. Opt. Express 2010, 21, 21861–21872. [Google Scholar] [CrossRef]
  6. Zhou, L.; Liu, Y.; Xie, G.H.; Gu, C.L.; Deng, Z.J.; Zhu, Z.W.; Ouyang, C.; Zuo, Z.D.; Luo, P.B.; Wu, K.; et al. Mid-infrared optical frequency comb in the 2.7–4.0 μm range via difference frequency generation from a compact laser system. High Power Laser Sci. Eng. 2020, 8, e32. [Google Scholar] [CrossRef]
  7. Yang, Q.; Yu, M.; Chen, Z.; Ai, S.; Kentsch, U.; Zhou, S.; Jia, Y.; Chen, F.; Liu, H. A novel approach towards robust construction of physical colors on lithium niobate crystal. Opto-Electron. Adv. 2025, 8, 240193. [Google Scholar] [CrossRef]
  8. Niu, P.; Geng, J.; Jiang, Q.; Wang, Y.; Sang, J.; Wang, Z.; Shi, L. Femtosecond Laser-Induced Recrystallized Nanotexturing for Identity Document Security with Physical Unclonable Functions. Adv. Sci. 2024, 1, 1449. [Google Scholar] [CrossRef]
  9. Varlamov, P.; Marx, J.; Elgueta, Y.; Ostendorf, A.; Kim, J.; Vavassori, P.; Temnov, V. Femtosecond Laser Ablation and Delamination of Functional Magnetic Multilayers at the Nanoscale. Nanomaterials 2024, 18, 1488. [Google Scholar] [CrossRef]
  10. Silva, F.; Teichmann, S.M.; Cousin, S.L.; Hemmer, M.; Biegert, J. Spatiotemporal isolation of attosecond soft X-ray pulses in the water window. Nat. Commun. 2015, 3, 6611. [Google Scholar] [CrossRef]
  11. Weisshaupt, J.; Juvé, V.; Holtz, M.; Ku, S.; Woerner, M.; Elsaesser, T.; Ališauskas, S.; Pugžlys, A.; Baltuška, A. High-brightness table-top hard X-ray source driven by sub-100-femtosecond mid-infrared pulses. Nat. Photonics 2014, 12, 927–930. [Google Scholar] [CrossRef]
  12. Suzuki, A.; Wang, Y.; Tomilov, S.; Pan, Z.; Saraceno, C.J. Diode-pumped 88 fs SESAM mode-locked Tm,Ho:CLNGG laser at 2090 nm. Appl. Phys. Express 2024, 17, 042002. [Google Scholar] [CrossRef]
  13. Liu, J.; Zhang, N.; Song, Q.; Ding, H.; Wang, Y.; Chen, P.; Wang, Z.; Xue, Y.; Xu, J.; Zhao, Y.; et al. Tunable and mode-locked Tm, Ho: GdScO3 laser. Opt. Lett. 2024, 8, 2145–2148. [Google Scholar] [CrossRef]
  14. Wang, M.; Ding, J.; Ouyang, D.; Chen, Y.; Zhao, J.; Liu, X.; Ruan, S. Stable watt-level mode-locked noise-like pulse from an all-PM fiber oscillator at 2 μm. Chin. Opt. Lett. 2024, 6, 61403. [Google Scholar] [CrossRef]
  15. Zhang, N.; Song, Q.; Zhou, J.; Liu, J.; Liu, S.; Zhang, H.; Xu, X.; Xue, Y.; Xu, J.; Chen, W.; et al. 44-fs pulse generation at 2.05 µm from a SESAM mode-locked Tm: GdScO3 laser. Opt. Lett. 2023, 2, 510–513. [Google Scholar] [CrossRef]
  16. Zhou, X.; Li, J.T.; Mao, J.J.; Hu, P.; Nie, H.K.; Wang, H.H.; Wang, R.H.; Li, T.; Zhang, B.T.; He, J.L.; et al. Efficient diode-pumped all-solid-state ultrafast 2.3 µm thulium-doped yttrium lithium fluoride laser. Opt. Lett. 2022, 16, 4080–4082. [Google Scholar] [CrossRef]
  17. Pang, L.; Jiang, L.; Zhao, M.; Zhang, J.; Zhao, Q.; Li, L.; Wu, R.; Lv, Y.; Liu, W. Ti3C2Tx/CuO heterojunction for ultrafast photonics. J. Mater. Sci. Technol. 2025, 223, 208–216. [Google Scholar] [CrossRef]
  18. Li, L.; Xue, Z.; Pang, L.; Xiao, X.; Yang, H.; Zhang, J.; Zhang, Y.; Zhao, Q.; Liu, W. Saturable absorption properties and ultrafast photonics applications of HfS3. Opt. Lett. 2024, 5, 1293–1296. [Google Scholar] [CrossRef]
  19. Zhao, Y.; Wang, L.; Chen, W.; Pan, Z.; Wang, Y.; Liu, P.; Xu, X.; Liu, Y.; Shen, D.; Zhang, J.; et al. SESAM mode-locked Tm: LuYO3 ceramic laser generating 54 fs pulses at 2048 nm. Appl. Optics 2020, 33, 10493–10497. [Google Scholar] [CrossRef]
  20. Liu, S.; Wang, P.; Li, K.; Lv, J.; Jin, Y.; Xu, X.; Wang, Z.; Liu, J.; Liu, J.; Zhao, Y. Sub-60-fs mode-locked Tm,Ho:CaYLuAlO4 laser at 2.05 µm. Opt. Express 2024, 5, 7513–7519. [Google Scholar] [CrossRef]
  21. Zhou, W.; Xu, X.; Xu, R.; Fan, X.; Zhao, Y.; Li, L.; Tang, D.; Shen, D. Watt-level broadly wavelength tunable mode-locked solid-state laser in the 2 μm water absorption region. Photonics Res. 2017, 6, 583–587. [Google Scholar] [CrossRef]
  22. Suzuki, A.; Kränkel, C.; Tokurakwa, M. Sub-6 optical-cycle Kerr-lens mode-locked Tm: Lu2O3 and Tm: Sc2O3 combined gain media laser at 2.1 μm. Opt. Express. 2021, 29, 19465–19471. [Google Scholar] [CrossRef] [PubMed]
  23. Zhang, N.; Wang, Z.; Liu, S.; Jing, W.; Huang, H.; Huang, Z.; Tian, K.; Yang, Z.; Zhao, Y.; Griebner, U.; et al. Watt-level femtosecond Tm-doped “mixed” sesquioxide ceramic laser in-band pumped by a Raman fiber laser at 1627 nm. Opt. Express 2022, 13, 23978–23985. [Google Scholar] [CrossRef]
  24. Nandy, B.; Kumar, C.; Casals, J.; Ye, H.; Ebrahim-Zadeh, M. Tunable high-average-power optical parametric oscillators near 2 μm. J. Opt. Soc. Am. B 2018, 12, C57. [Google Scholar] [CrossRef]
  25. Marandi, A.; Leindecker, N.; Pervak, V.; Byer, R.; Vodopyanov, K. Coherence properties of a broadband femtosecond mid-IR optical parametric oscillator operating at degeneracy. Opt. Express 2012, 7, 7255–7262. [Google Scholar] [CrossRef]
  26. Zhong, H.; Qin, F.; Liang, Y.; Yang, J.; Fan, D. Degeneracy-analogous femtosecond dual-wavelength optical parametric oscillator at non-degenerate wavelengths. Opt. Express 2017, 3, 2529–2539. [Google Scholar] [CrossRef] [PubMed]
  27. Dai, W.; Ding, Y.; Liu, T.; Zhao, Y.; Gao, J.; Zhao, C.; Fan, J.; Zuotao, L.; Shen, Y. Efficient degenerate middle infrared ZGP-OPO pumped by an electro-optically Q-switched Tm: YAP laser. Front. Phys. 2024, 12, 1390115. [Google Scholar] [CrossRef]
  28. Wong, S.T.; Plettner, T.; Vodopyanov, K.L.; Urbanek, K.; Digonnet, M.; Byer, R.L. Self-phase-locked degenerate femtosecond optical parametric oscillator. Opt. Lett. 2008, 16, 1896–1898. [Google Scholar] [CrossRef]
  29. Leindecker, N.; Marandi, A.; Byer, R.; Vodopyanov, K.; Jiang, J.; Hartl, I.; Fermann, M.; Schunemann, P. Octave-spanning ultrafast OPO with 2.6–6.1 μm instantaneous bandwidth pumped by femtosecond Tm-fiber laser. Opt. Express 2012, 7, 7046–7053. [Google Scholar] [CrossRef]
  30. Leindecker, N.; Marandi, A.; Byer, R.L.; Vodopyanov, K.L. Broadband degenerate OPO for mid-infrared frequency comb generation. Opt. Express 2011, 7, 6304–6310. [Google Scholar] [CrossRef]
  31. Li, A.; Bahri, M.; Gray, R.; Choi, S.; Hoseinkhani, S.; Srivastava, A.; Marandi, A.; Fattahi, H. 0.7 MW Yb:YAG pumped degenerate optical parametric oscillator at 2.06 μm. APL Photonics 2024, 9, 100808. [Google Scholar] [CrossRef]
  32. Rudy, C.; Marandi, A.; Ingold, K.A.; Wolf, S.J.; Vodopyanov, K.L.; Byer, R.L.; Yang, L.M.; Wan, P.; Liu, J. Sub-50 fs pulses around 2070 nm from a synchronously-pumped, degenerate OPO. Opt. Express. 2012, 25, 27589–27595. [Google Scholar] [CrossRef] [PubMed]
  33. Tian, W.; Meng, X.; Zhang, N.; Zhu, J.; Wang, Z.; Wei, Z. Broadband Degenerate Femtosecond OPO around 2060 nm. Int. J. Opt. 2018, 2018, 8636492. [Google Scholar] [CrossRef]
  34. Shi, S.; Chen, G.; Zhao, W.; Liu, J. Nonlinear Optics; Xidian University Press: Xi’an, China, 2012; pp. 450–451. [Google Scholar]
Figure 1. The schematic of the experimental setup for the synchronously pumped degenerate MgO: PPLN OPO at 2056 nm. HWP: half-wave plate; PBS: polarization beam splitter; FR: Faraday Rotator; L: lens with a focal length of 150 mm; PZT: piezoelectric transducer; M1, M2: dichroic concave mirrors (r = 100 mm); M3: flat mirror coated for high reflectivity in the 1800–2200 nm range with PZT; M4: flat mirror coated high reflectivity for the oscillating beam; HR: high reflecting mirrors for the pump; OC: output coupler.
Figure 1. The schematic of the experimental setup for the synchronously pumped degenerate MgO: PPLN OPO at 2056 nm. HWP: half-wave plate; PBS: polarization beam splitter; FR: Faraday Rotator; L: lens with a focal length of 150 mm; PZT: piezoelectric transducer; M1, M2: dichroic concave mirrors (r = 100 mm); M3: flat mirror coated for high reflectivity in the 1800–2200 nm range with PZT; M4: flat mirror coated high reflectivity for the oscillating beam; HR: high reflecting mirrors for the pump; OC: output coupler.
Photonics 12 00543 g001
Figure 2. Spectral bandwidth of the OPO and pumping source. (a) Spectral with peak separation (∆) of 193.3 nm. (b) Spectral with peak separation (∆) of 122.3 nm. (c) Spectral with peak separation (∆) of 109.4 nm. (d) Spectral with peak separation (∆) of 64.3 nm. (e) Spectral at a degenerate wavelength with a FWHM of 87.4 nm and the center wavelength at 2056 nm. (f) Spectral bandwidth of the pump laser.
Figure 2. Spectral bandwidth of the OPO and pumping source. (a) Spectral with peak separation (∆) of 193.3 nm. (b) Spectral with peak separation (∆) of 122.3 nm. (c) Spectral with peak separation (∆) of 109.4 nm. (d) Spectral with peak separation (∆) of 64.3 nm. (e) Spectral at a degenerate wavelength with a FWHM of 87.4 nm and the center wavelength at 2056 nm. (f) Spectral bandwidth of the pump laser.
Photonics 12 00543 g002
Figure 3. (a) Measured variation of the output power as a function of incident pump power for the degenerate OPO. (b) The maximum output power stability of the degenerate OPO in 1.5 h.
Figure 3. (a) Measured variation of the output power as a function of incident pump power for the degenerate OPO. (b) The maximum output power stability of the degenerate OPO in 1.5 h.
Photonics 12 00543 g003
Disclaimer/Publisher’s Note: The statements, opinions and data contained in all publications are solely those of the individual author(s) and contributor(s) and not of MDPI and/or the editor(s). MDPI and/or the editor(s) disclaim responsibility for any injury to people or property resulting from any ideas, methods, instructions or products referred to in the content.

Share and Cite

MDPI and ACS Style

Zhao, Y.; Wang, B.; Yang, J.; He, T.; Xu, H.; Qiu, X.; Dong, Z.; Ling, W. 0.74 W Broadband Degenerate Femtosecond MgO-Doped Periodically Poled Lithium Niobate (MgO: PPLN) Optical Parametric Oscillator at 2056 nm. Photonics 2025, 12, 543. https://doi.org/10.3390/photonics12060543

AMA Style

Zhao Y, Wang B, Yang J, He T, Xu H, Qiu X, Dong Z, Ling W. 0.74 W Broadband Degenerate Femtosecond MgO-Doped Periodically Poled Lithium Niobate (MgO: PPLN) Optical Parametric Oscillator at 2056 nm. Photonics. 2025; 12(6):543. https://doi.org/10.3390/photonics12060543

Chicago/Turabian Style

Zhao, Yuxiang, Bobo Wang, Jinfang Yang, Taotao He, Hao Xu, Xue Qiu, Zhong Dong, and Weijun Ling. 2025. "0.74 W Broadband Degenerate Femtosecond MgO-Doped Periodically Poled Lithium Niobate (MgO: PPLN) Optical Parametric Oscillator at 2056 nm" Photonics 12, no. 6: 543. https://doi.org/10.3390/photonics12060543

APA Style

Zhao, Y., Wang, B., Yang, J., He, T., Xu, H., Qiu, X., Dong, Z., & Ling, W. (2025). 0.74 W Broadband Degenerate Femtosecond MgO-Doped Periodically Poled Lithium Niobate (MgO: PPLN) Optical Parametric Oscillator at 2056 nm. Photonics, 12(6), 543. https://doi.org/10.3390/photonics12060543

Note that from the first issue of 2016, this journal uses article numbers instead of page numbers. See further details here.

Article Metrics

Back to TopTop