Broadband On-Chip Directional Coupler with Oblique Nanoslits
Abstract
1. Introduction
2. Theoretical Model
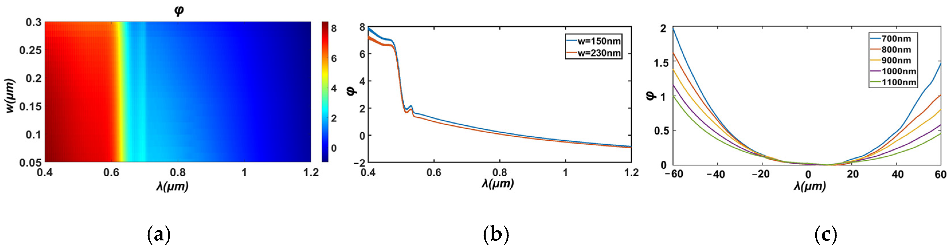
3. Numerical Results
4. Conclusions
Author Contributions
Funding
Institutional Review Board Statement
Informed Consent Statement
Data Availability Statement
Conflicts of Interest
References
- Wang, H.; Zhang, Y.; He, Y.; Zhu, Q.; Sun, L.; Su, Y. Compact Silicon Waveguide Mode Converter Employing Dielectric Metasurface Structure. Adv. Opt. Mater. 2019, 7, 1801191. [Google Scholar]
- Karabchevsky, A.; Katiyi, A.; Ang, A.S.; Hazan, A. On-chip nanophotonics and future challenges. Nanophotonics 2020, 9, 3733–3753. [Google Scholar]
- Tonndorf, P.; Del Pozo-Zamudio, O.; Gruhler, N.; Kern, J.; Schmidt, R.; Dmitriev, A.I.; Bakhtinov, A.P.; Tartakovskii, A.I.; Pernice, W.; Michaelis de Vasconcellos, S.; et al. On-Chip Waveguide Coupling of a Layered Semiconductor Single-Photon Source. Nano Lett. 2017, 17, 5446–5451. [Google Scholar]
- Nair, R.V.; Vijaya, R. Photonic crystal sensors: An overview. Prog. Quantum Electron. 2010, 34, 89–134. [Google Scholar]
- Novotny, L.; van Hulst, N. Antennas for light. Nat. Photon. 2011, 5, 83–90. [Google Scholar]
- Mühlschlegel, P.; Eisler, H.-J.; Martin, O.J.F.; Hecht, B.; Pohl, D.W. Resonant Optical Antennas. Science 2005, 308, 1607–1609. [Google Scholar]
- Kosako, T.; Kadoya, Y.; Hofmann, H.F. Directional control of light by a nano-optical Yagi–Uda antenna. Nat. Photon. 2010, 4, 312–315. [Google Scholar]
- Guo, R.; Decker, M.; Setzpfandt, F.; Gai, X.; Choi, D.-Y.; Kiselev, R.; Chipouline, A.; Staude, I.; Pertsch, T.; Neshev, D.N.; et al. High–bit rate ultra-compact light routing with mode-selective on-chip nanoantennas. Sci. Adv. 2017, 3, e1700007. [Google Scholar]
- Kim, I.; Jang, J.; Kim, G.; Lee, J.; Badloe, T.; Mun, J.; Rho, J. Pixelated bifunctional metasurface-driven dynamic vectorial holographic color prints for photonic security platform. Nat. Commun. 2021, 12, 3614. [Google Scholar]
- Koenderink, A.F.; Alù, A.; Polman, A. Nanophotonics: Shrinkinglight-based technology. Science 2015, 348, 516–521. [Google Scholar]
- Maier, S.A.; Kik, P.G.; Atwater, H.A.; Meltzer, S.; Harel, E.; Koel, B.E.; Requicha, A.A.G. Local detection of electromagnetic energy transport below the diffraction limit in metal nanoparticle plasmon waveguides. Nat. Mater. 2003, 2, 229–232. [Google Scholar] [CrossRef] [PubMed]
- Bozhevolnyi, S.I.; Volkov, V.S.; Devaux, E.; Laluet, J.-Y.; Ebbesen, T.W. Channel plasmon subwavelength waveguide components including interferometers and ring resonators. Nature 2006, 440, 508–511. [Google Scholar] [CrossRef] [PubMed]
- Oulton, R.F.; Sorger, V.J.; Zentgraf, T.; Ma, R.-M.; Gladden, C.; Dai, L.; Bartal, G.; Zhang, X.J. Plasmon lasers at deep subwavelength scale. Nature 2009, 461, 629–632. [Google Scholar] [CrossRef] [PubMed]
- Yang, A.; Hoang, T.B.; Dridi, M.; Deeb, C.; Mikkelsen, M.H.; Schatz, G.C.; Odom, T.W. Real-time tunable lasing from plasmonic nanocavity arrays. Nat. Commun. 2015, 6, 6939. [Google Scholar] [CrossRef]
- Baron, A.; Devaux, E.; Rodier, J.C.; Hugonin, J.P.; Rousseau, E.; Genet, C.; Ebbesen, T.W.; Lalanne, P. Compact Antenna for Efficient and Unidirectional Launching and Decoupling of Surface Plasmons. Nano Lett. 2011, 11, 4207–4212. [Google Scholar] [CrossRef]
- Knight, M.W.; Sobhani, H.; Nordlander, P.; Halas, N.J. Photodetection with Active Optical Antennas. Science 2011, 332, 702–704. [Google Scholar] [CrossRef]
- Melikyan, A.; Alloatti, L.; Muslija, A.; Hillerkuss, D.; Schindler, P.C.; Li, J.; Palmer, R.; Korn, D.; Muehlbrandt, S.; Van Thourhout, D.; et al. High-speed plasmonic phase modulators. Nat. Photon. 2014, 8, 229–233. [Google Scholar] [CrossRef]
- Ayata, M.; Fedoryshyn, Y.; Heni, W.; Baeuerle, B.; Josten, A.; Zahner, M.; Koch, U.; Salamin, Y.; Hoessbacher, C.; Haffner, C.; et al. High-speed plasmonic modulator in a single metal layer. Science 2017, 358, 630–632. [Google Scholar] [CrossRef]
- Huang, H.; Overvig, A.C.; Xu, Y.; Malek, S.C.; Tsai, C.-C.; Alù, A.; Yu, N. Leaky-wave metasurfaces for integrated photonics. Nat. Nanotechnol. 2023, 18, 580–588. [Google Scholar] [CrossRef]
- Kabashin, A.V.; Evans, P.; Pastkovsky, S.; Hendren, W.; Wurtz, G.A.; Atkinson, R.; Pollard, R.; Podolskiy, V.A.; Zayats, A.V. Plasmonic nanorod metamaterials for biosensing. Nat. Mater. 2009, 8, 867–871. [Google Scholar] [CrossRef]
- Gao, Y.; Gan, Q.; Xin, Z.; Cheng, X.; Bartoli, F.J. Plasmonic Mach–Zehnder Interferometer for Ultrasensitive On-Chip Biosensing. ACS Nano 2011, 5, 9836–9844. [Google Scholar]
- Liu, Z.; Steele, J.M.; Srituravanich, W.; Pikus, Y.; Sun, C.; Zhang, X. Focusing Surface Plasmons with a Plasmonic Lens. Nano Lett. 2005, 5, 1726–1729. [Google Scholar] [CrossRef]
- Chen, W.; Abeysinghe, D.C.; Nelson, R.L.; Zhan, Q. Plasmonic Lens Made of Multiple Concentric Metallic Rings under Radially Polarized Illumination. Nano Lett. 2009, 9, 4320–4325. [Google Scholar] [CrossRef] [PubMed]
- Zhao, C.; Zhang, J. Plasmonic demultiplexer and guiding. ACS Nano 2010, 4, 6433–6438. [Google Scholar] [CrossRef]
- Li, X.; Tan, Q.; Bai, B.; Jin, G. Experimental demonstration of tunable directional excitation of surface plasmon polaritons with a subwavelength metallic double slit. Appl. Phys. Lett. 2011, 98, 251109. [Google Scholar]
- Radko, I.P.; Bozhevolnyi, S.I.; Brucoli, G.; Martin-Moreno, L.; Garcia-Vidal, F.J.; Boltasseva, A. Efficient unidirectional ridge excitation of surface plasmons. Opt. Express 2009, 17, 7228–7232. [Google Scholar] [CrossRef] [PubMed]
- López-Tejeira, F.; Rodrigo, S.G.; Martín-Moreno, L.; García-Vidal, F.J.; Devaux, E.; Ebbesen, T.W.; Krenn, J.R.; Radko, I.P.; Bozhevolnyi, S.I.; González, M.U.; et al. Efficient unidirectional nanoslit couplers for surface plasmons. Nat. Phys. 2007, 3, 324–328. [Google Scholar]
- Liu, T.; Shen, Y.; Shin, W.; Zhu, Q.; Fan, S.; Jin, C. Dislocated double-layer metal gratings: An efficient unidirectional coupler. Nano Lett. 2014, 14, 3848–3854. [Google Scholar]
- Bai, B.; Meng, X.; Laukkanen, J.; Sfez, T.; Yu, L.; Nakagawa, W.; Herzig, H.P.; Li, L.; Turunen, J. Asymmetrical excitation of surface plasmon polaritons on blazed gratings at normal incidence. Phys. Rev. B Condens. Matter 2009, 80, 1132–1136. [Google Scholar]
- Chen, J.; Li, Z.; Yue, S.; Gong, Q. Efficient unidirectional generation of surface plasmon polaritons with asymmetric single-nanoslit. Appl. Phys. Lett. 2010, 97, 041113. [Google Scholar] [CrossRef]
- Yao, W.; Liu, S.; Liao, H.; Li, Z.; Sun, C.; Chen, J.; Gong, Q. Efficient directional excitation of surface plasmons by a single-element nanoantenna. Nano Lett. 2015, 15, 3115. [Google Scholar] [PubMed]
- Chen, P.; Chen, C.; Qin, S.; Xi, J.; Huang, W.; Shi, F.; Li, K.; Liang, L.; Shi, J. Efficient planar plasmonic directional launching of linearly polarized light in a catenary metasurface. Phys. Chem. Chem. Phys. 2020, 22, 27554–27559. [Google Scholar] [PubMed]
- Yang, J.; Xiao, X.; Hu, C.; Zhang, W.; Zhou, S.; Zhang, J. Broadband surface plasmon polariton directional coupling via asymmetric optical slot nanoantenna pair. Nano Lett. 2014, 14, 704. [Google Scholar]
- Liu, J.S.; Pala, R.A.; Afshinmanesh, F.; Cai, W.; Brongersma, M.L. A submicron plasmonic dichroic splitter. Nat. Commun. 2011, 2, 525. [Google Scholar] [CrossRef] [PubMed]
- Liao, H.; Li, Z.; Chen, J.; Zhang, X.; Yue, S.; Gong, Q. A submicron broadband surface-plasmon-polariton unidirectional coupler. Sci. Rep. 2013, 3, 1918. [Google Scholar] [CrossRef]
- Xu, G.; Overvig, A.; Kasahara, Y.; Martini, E.; Maci, S.; Alù, A. Arbitrary aperture synthesis with nonlocal leaky-wave metasurface antennas. Nat. Commun. 2023, 14, 4380. [Google Scholar]
- Gupta, N.; Dhawan, A. Harnessing surface plasmon polaritons from nanogroove plasmonic lenses to enhance the EM fields around plasmonic nanoantennas. J. Opt. Soc. Am. B 2024, 41, 2247–2258. [Google Scholar]





Disclaimer/Publisher’s Note: The statements, opinions and data contained in all publications are solely those of the individual author(s) and contributor(s) and not of MDPI and/or the editor(s). MDPI and/or the editor(s) disclaim responsibility for any injury to people or property resulting from any ideas, methods, instructions or products referred to in the content. |
© 2025 by the authors. Licensee MDPI, Basel, Switzerland. This article is an open access article distributed under the terms and conditions of the Creative Commons Attribution (CC BY) license (https://creativecommons.org/licenses/by/4.0/).
Share and Cite
Chen, C.; Wang, Q.; Zhong, J.; Lei, X.; Zhan, Q. Broadband On-Chip Directional Coupler with Oblique Nanoslits. Photonics 2025, 12, 289. https://doi.org/10.3390/photonics12030289
Chen C, Wang Q, Zhong J, Lei X, Zhan Q. Broadband On-Chip Directional Coupler with Oblique Nanoslits. Photonics. 2025; 12(3):289. https://doi.org/10.3390/photonics12030289
Chicago/Turabian StyleChen, Can, Qingfang Wang, Jinzhan Zhong, Xinrui Lei, and Qiwen Zhan. 2025. "Broadband On-Chip Directional Coupler with Oblique Nanoslits" Photonics 12, no. 3: 289. https://doi.org/10.3390/photonics12030289
APA StyleChen, C., Wang, Q., Zhong, J., Lei, X., & Zhan, Q. (2025). Broadband On-Chip Directional Coupler with Oblique Nanoslits. Photonics, 12(3), 289. https://doi.org/10.3390/photonics12030289

