Performance Limitations Due to Intra-Core Crosstalk and Nonlinear Interference Noise in Weakly Coupled Multi-Core Fiber Transmission Systems †
Abstract
1. Introduction
2. Theoretical Analysis
2.1. Intra-Core Nonlinear Interference Noise
2.2. Nonlinear Inter-Core Crosstalk
2.3. SNR Performance in MCF
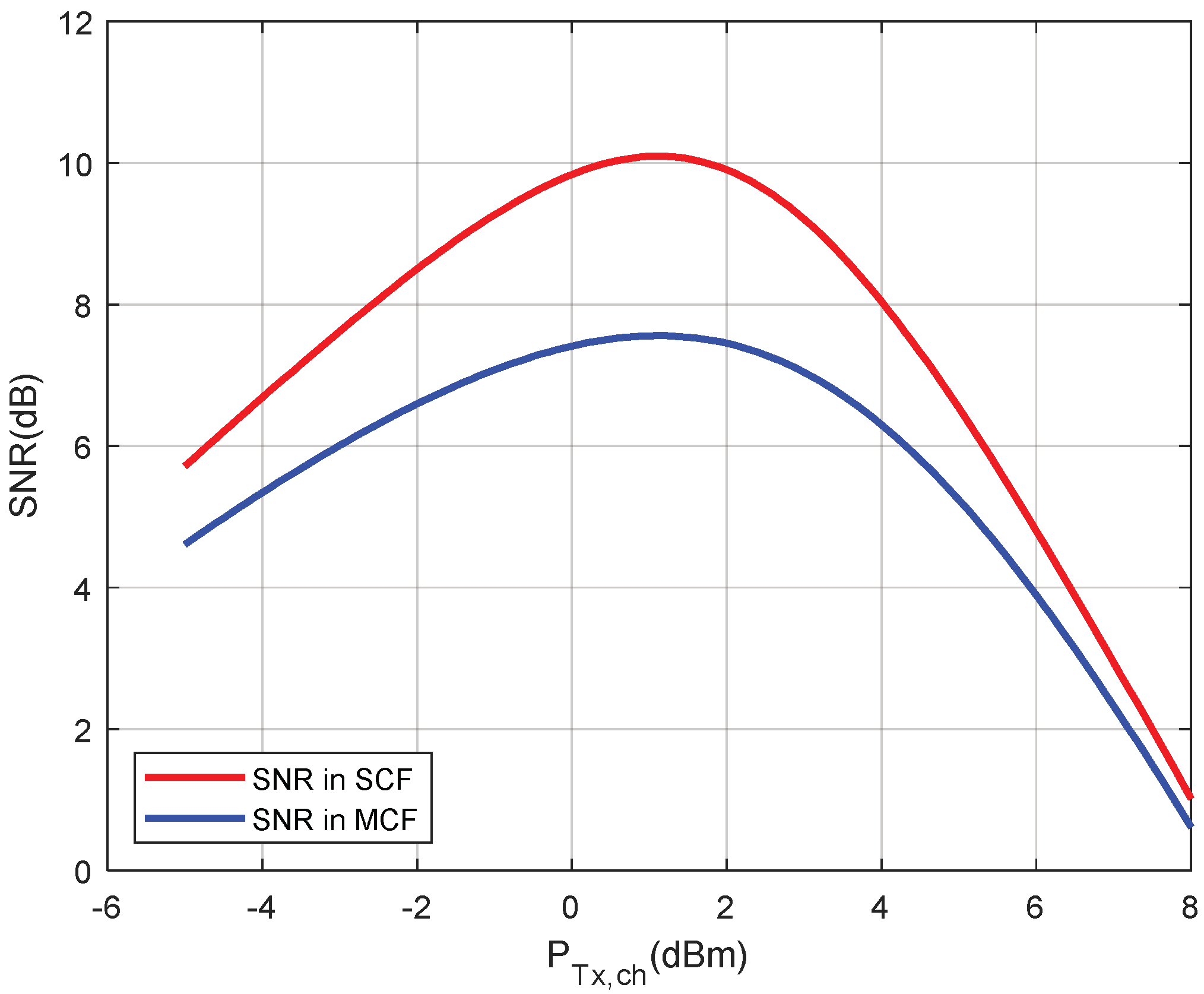
3. Results and Discussions
4. Conclusions
Author Contributions
Funding
Institutional Review Board Statement
Informed Consent Statement
Data Availability Statement
Conflicts of Interest
References
- Saitoh, K.; Matsuo, S. Multicore Fiber Technology. IEEE J. Light. Technol. 2016, 34, 55–66. [Google Scholar] [CrossRef]
- Poggiolini, P.; Carena, A.; Curri, V.; Bosco, G.; Forghieri, F. Analytical modeling of nonlinear propagation in uncompensated optical transmission links. IEEE Photonics Technol. Lett. 2011, 23, 742–744. [Google Scholar] [CrossRef]
- Carena, A.; Curri, V.; Bosco, G.; Poggiolini, P.; Forghieri, F. Modeling of the Impact of Nonlinear Propagation Effects in Uncompensated Optical Coherent Transmission Links. IEEE J. Light. Technol. 2012, 30, 1524–1539. [Google Scholar] [CrossRef]
- Poggiolini, P.; Bosco, G.; Carena, A.; Curri, V.; Jiang, Y.; Forghieri, F. The GN-Model of Fiber Non-Linear Propagation and its Applications. IEEE J. Light. Technol. 2014, 32, 694–721. [Google Scholar] [CrossRef]
- Fini, J.M. Statistical Models of Multicore Fiber Crosstalk Including Time Delays. IEEE J. Light. Technol. 2012, 30, 2003–2010. [Google Scholar] [CrossRef]
- Hayashi, T.; Taru, T.; Shimakawa, O.; Sasaki, T.; Sasaoka, E. Design and fabrication of ultra-low crosstalk and low-loss multi-core fiber. Opt. Express 2011, 19, 16576–16592. [Google Scholar] [CrossRef] [PubMed]
- Koshiba, M.; Saitoh, K.; Takenaga, K.; Matsuo, S. Multi-core fiber design and analysis: Coupled-mode theory and coupled-power theory. Opt. Express 2011, 19, B102–B111. [Google Scholar] [CrossRef] [PubMed]
- Wang, W.J.; Xiang, L.; Shao, W.D.; Shen, G.X. Stochastic Crosstalk Analyses for Real Weakly Coupled Multicore Fibers Using a Universal Semi-Analytical Model. IEEE J. Light. Technol. 2021, 39, 4503–4510. [Google Scholar] [CrossRef]
- Pan, H.; Jin, S.; Xiang, L. Estimation of Nonlinear Crosstalk in Weakly Coupled Multi-core Fiber. In Proceedings of the Asia Communications and Photonics Conference ACP2021, Shanghai, China, 24–27 October 2021. [Google Scholar]
- Hayashi, T.; Taru, T.; Shimakawa, O.; Sasaki, T.; Sasaoka, E. Uncoupled multi-core fiber enhancing signal-to-noise ratio. Opt. Express 2012, 20, B94–B103. [Google Scholar] [CrossRef]
- Luís, R.S.; Rademacher, G.; Puttnam, B.J. Crosstalk Impact on the Performance of Wideband Multicore-Fiber Transmission Systems. IEEE J. Sel. Top. Quantum Electron. 2020, 26, 4400609. [Google Scholar] [CrossRef]
- Macho, A.; Morant, M.; Llorente, R. Unified model of linear and nonlinear crosstalk in multi-core fiber. IEEE J. Light. Technol. 2016, 34, 3035–3046. [Google Scholar] [CrossRef]
- Xiang, L.; Jin, S.; Shao, W.; Gao, M. Evaluation of Crosstalk in Nonlinear Regime for Weakly Coupled Multi-Core Fiber with Random Perturbations Using a Split-Step Numerical Model. IEEE J. Light. Technol. 2024, 41, 5729–5736. [Google Scholar] [CrossRef]
- Koshiba, M.; Saitoh, K.; Takenaga, K.; Matsuo, S. Analytical Expression of Average Power-Coupling Coefficients for Estimating Intercore Crosstalk in Multicore Fibers. IEEE Photonics J. 2012, 4, 1987–1995. [Google Scholar] [CrossRef]
- Cartaxo, A.; Alves, T. Discrete Changes Model of Inter-core Crosstalk of Real Homogeneous Multi-core Fibers. IEEE J. Light. Technol. 2017, 35, 2398–2408. [Google Scholar] [CrossRef]





| Parameter | Symbol | Value |
|---|---|---|
| Loss parameter | 0.2 dB/km | |
| Fiber dispersion | B2 | 20 ps2/km |
| Nonlinearity coefficient | 1.3 1/W/km | |
| Baud rate | RS | 30 GBaud |
| Number of channels | Nch | 7 |
| Span length | Ls | 100 km |
| EDFA noise figure | NF | 5 dB |
| Coupling coefficient | Cmn | 0.0072 m−1 |
Disclaimer/Publisher’s Note: The statements, opinions and data contained in all publications are solely those of the individual author(s) and contributor(s) and not of MDPI and/or the editor(s). MDPI and/or the editor(s) disclaim responsibility for any injury to people or property resulting from any ideas, methods, instructions or products referred to in the content. |
© 2025 by the authors. Licensee MDPI, Basel, Switzerland. This article is an open access article distributed under the terms and conditions of the Creative Commons Attribution (CC BY) license (https://creativecommons.org/licenses/by/4.0/).
Share and Cite
Li, W.; Xiang, L.; Li, X. Performance Limitations Due to Intra-Core Crosstalk and Nonlinear Interference Noise in Weakly Coupled Multi-Core Fiber Transmission Systems. Photonics 2025, 12, 186. https://doi.org/10.3390/photonics12030186
Li W, Xiang L, Li X. Performance Limitations Due to Intra-Core Crosstalk and Nonlinear Interference Noise in Weakly Coupled Multi-Core Fiber Transmission Systems. Photonics. 2025; 12(3):186. https://doi.org/10.3390/photonics12030186
Chicago/Turabian StyleLi, Wencheng, Lian Xiang, and Xiaoliu Li. 2025. "Performance Limitations Due to Intra-Core Crosstalk and Nonlinear Interference Noise in Weakly Coupled Multi-Core Fiber Transmission Systems" Photonics 12, no. 3: 186. https://doi.org/10.3390/photonics12030186
APA StyleLi, W., Xiang, L., & Li, X. (2025). Performance Limitations Due to Intra-Core Crosstalk and Nonlinear Interference Noise in Weakly Coupled Multi-Core Fiber Transmission Systems. Photonics, 12(3), 186. https://doi.org/10.3390/photonics12030186

