φ-OTDR Based on Dual-Band Nonlinear Frequency Modulation Probe
Abstract
1. Introduction
2. Experimental Principle Analysis
2.1. Principle of Matched Filtering
- Certain specific conditions are satisfied, which can be expressed as
2.2. Generation and Optimization of Nonlinear Frequency-Modulated (NLFM) Signal
2.2.1. Limitations of LFM Signals
2.2.2. NLFM Signal
- Then, the phase function can be obtained from , which can be expressed as
- The optimized time–frequency function of NLFM is expressed as
2.3. Dual-Band Frequency Division Multiplexing
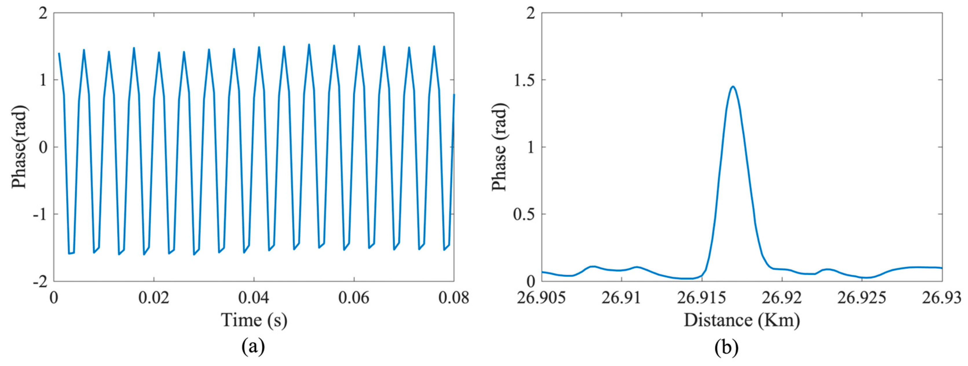
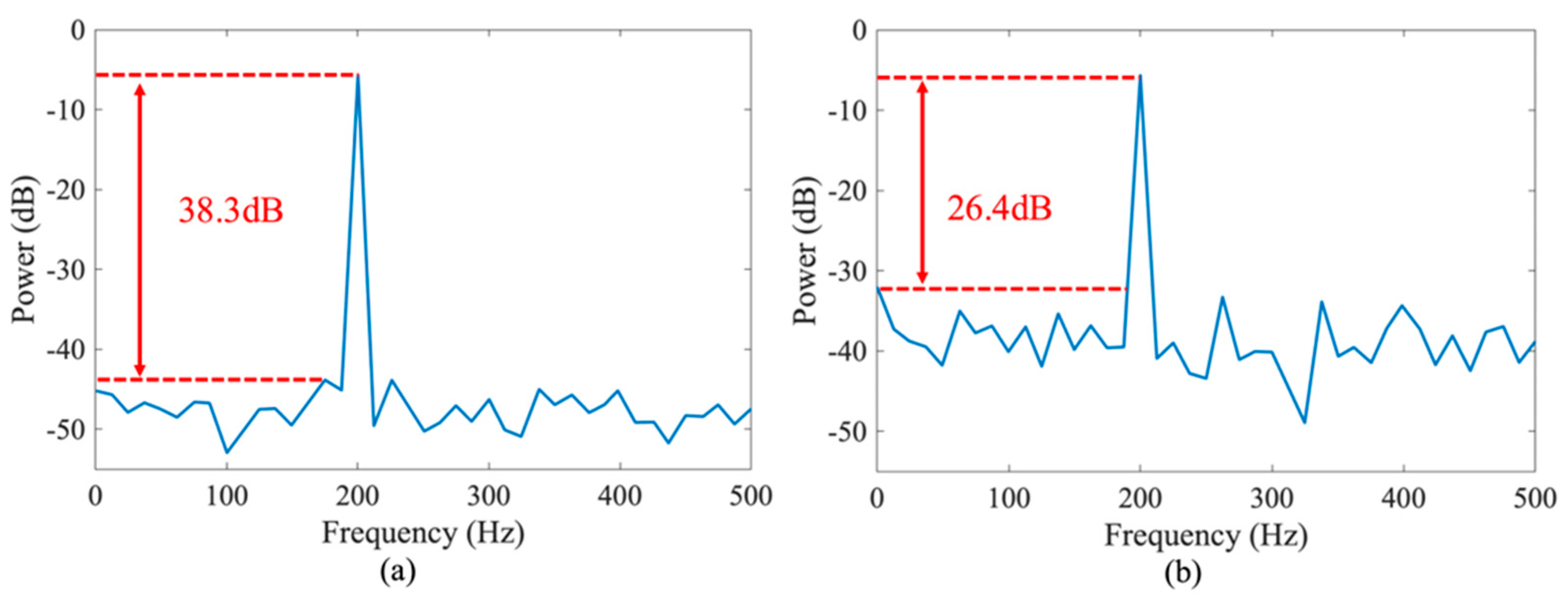
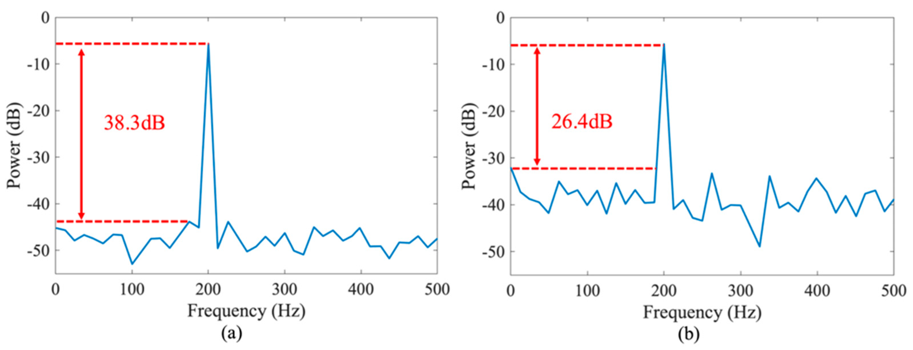
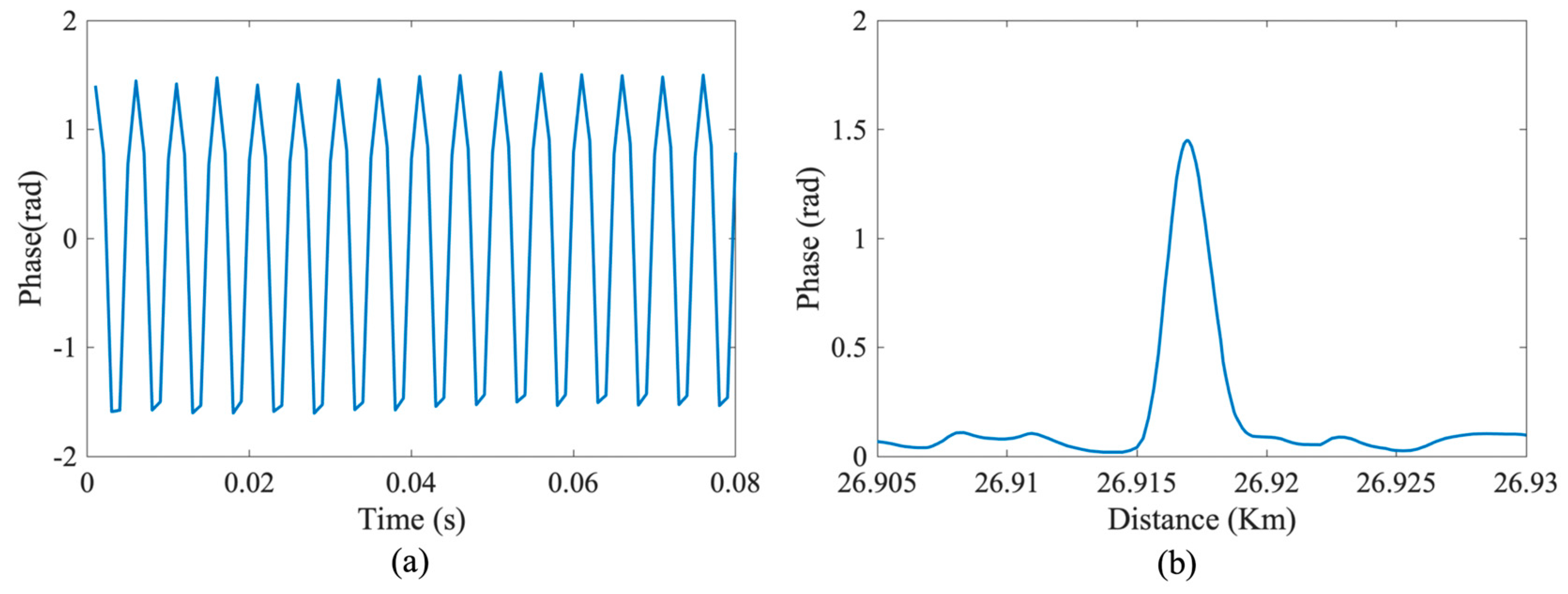
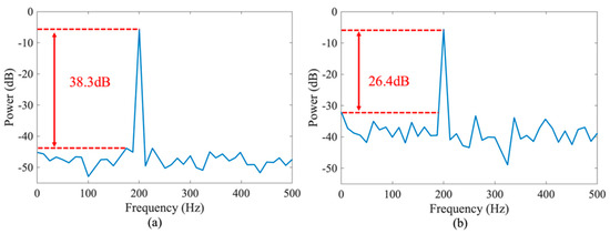
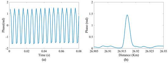
3. Experiment and Results
4. Conclusions
Author Contributions
Funding
Institutional Review Board Statement
Informed Consent Statement
Data Availability Statement
Acknowledgments
Conflicts of Interest
References
- Catalano, A.; Bruno, F.A.; Galliano, C.; Pisco, M.; Persiano, G.V.; Cutolo, A.; Cusano, A. An Optical Fiber Intrusion Detection System for Railway Security. Sens. Actuators A 2017, 253, 91–100. [Google Scholar] [CrossRef]
- Snider, W.T.; Madsen, C.K.; Atkins, R.A.; Simcik, J.S., III. Border Security Utilizing a Distributed Fiber Optic Intrusion Sensor; CiteSeerX: Princeton, NJ, USA, 2008. [Google Scholar]
- Spingys, C.P.; Garabato, A.C.N.; Belal, M. Optical Fibre Sensing of Turbulent-Frequency Motions in the Oceanic Environment. Sci. Rep. 2024, 14, 20276. [Google Scholar] [CrossRef] [PubMed]
- Chen, D.; Liu, Q.; Fan, X.; He, Z. Distributed Fiber-Optic Acoustic Sensor With Enhanced Response Bandwidth and High Signal-to-Noise Ratio. J. Lightwave Technol. 2017, 35, 2037–2043. [Google Scholar] [CrossRef]
- Wang, Y.; Li, Y.; Xiao, L.; Liang, B.; Liu, X.; Bai, Q.; Jin, B. Interference Fading Suppression Using Active Frequency Transformation Method With Auxiliary Interferometer Feedback. J. Lightwave Technol. 2022, 40, 872–879. [Google Scholar] [CrossRef]
- Wang, X.; Lu, B.; Wang, Z.; Zheng, H.; Liang, J.; Li, L.; Ye, Q.; Qu, R.; Cai, H. Interference-Fading-Free $\phi$ -OTDR Based on Differential Phase Shift Pulsing Technology. IEEE Photon. Technol. Lett. 2019, 31, 39–42. [Google Scholar] [CrossRef]
- Jin, Z.; Chen, J.; Chang, Y.; Liu, Q.; He, Z. Silicon Photonic Integrated Interrogator for Fiber-Optic Distributed Acoustic Sensing. Photonics Res. 2024, 12, 465. [Google Scholar] [CrossRef]
- Liu, X.; Tang, W.; Xie, L.; Wang, Y.; Shi, J.; Liu, K. Improved Rotational Vector Summation Algorithm for Fade Suppression in Distributed Acoustic Sensing. J. Phys. Conf. Ser. 2023, 2617, 012014. [Google Scholar] [CrossRef]
- Xiao, Y.; Liu, H.; Li, J.; Shen, X.; Zhao, Z.; Dang, H.; Zou, D.; Zhang, A.; Wang, P.; Zhao, Z.; et al. Fading Suppression and Noise Reduction of a DAS System Integrated Multi-Core Fiber. Opt. Express 2024, 32, 26793. [Google Scholar] [CrossRef]
- Li, H.; Liu, T.; Fan, C.; Yan, B.; Chen, J.; Huang, T.; Yan, Z.; Sun, Q. Fading Suppression for Distributed Acoustic Sensing Assisted with Dual-Laser System and Differential-Vector-Sum Algorithm. IEEE Sensors J. 2022, 22, 9417–9425. [Google Scholar] [CrossRef]
- Nowak, M.; Wicks, M.; Zhang, Z.; Wu, Z. Co-Designed Radar-Communication Using Linear Frequency Modulation Waveform. IEEE Aerosp. Electron. Syst. Mag. 2016, 31, 28–35. [Google Scholar] [CrossRef]
- Song, R.; He, J. OFDM-NOMA Combined with LFM Signal for W-Band Communication and Radar Detection Simultaneously. Opt. Lett. 2022, 47, 2931. [Google Scholar] [CrossRef]
- Zhang, J.; Wu, H.; Zheng, H.; Huang, J.; Yin, G.; Zhu, T.; Qiu, F.; Huang, X.; Qu, D.; Bai, Y. 80 Km Fading Free Phase-Sensitive Reflectometry Based on Multi-Carrier NLFM Pulse Without Distributed Amplification. J. Lightwave Technol. 2019, 37, 4748–4754. [Google Scholar] [CrossRef]
- Vizitiu, I.; Anton, L.; Popescu, F.; Iubu, G. The Synthesis of Some NLFM Laws Using the Stationary Phase Principle. In Proceedings of the 2012 10th International Symposium on Electronics and Telecommunications, Timisoara, Romania, 15–16 November 2012; IEEE: Timisoara, Romania, 2012; pp. 377–380. [Google Scholar]
- Lu, L.; Song, Y.; Zhu, F.; Zhang, X. Coherent Optical Time Domain Reflectometry Using Three Frequency Multiplexing Probe. Opt. Lasers Eng. 2012, 50, 1735–1739. [Google Scholar] [CrossRef]
- Bahadori, M.; Yang, Y.; Hassanien, A.E.; Goddard, L.L.; Gong, S. Theory of Coupled Harmonics and Its Application to Resonant and Non-Resonant Electro-Optic Modulators. J. Lightwave Technol. 2020, 38, 5756–5767. [Google Scholar] [CrossRef]
- Wu, Q.; Zhou, X.; Wang, C.; Qin, Z. Channel Estimation Based on Superimposed Pilot and Weighted Averaging. Sci. Rep. 2022, 12, 10293. [Google Scholar] [CrossRef] [PubMed]











Disclaimer/Publisher’s Note: The statements, opinions and data contained in all publications are solely those of the individual author(s) and contributor(s) and not of MDPI and/or the editor(s). MDPI and/or the editor(s) disclaim responsibility for any injury to people or property resulting from any ideas, methods, instructions or products referred to in the content. |
© 2025 by the authors. Licensee MDPI, Basel, Switzerland. This article is an open access article distributed under the terms and conditions of the Creative Commons Attribution (CC BY) license (https://creativecommons.org/licenses/by/4.0/).
Share and Cite
Zhang, J.; Xu, T.; Cao, K.; Shu, Y.; Deng, D.; Li, F. φ-OTDR Based on Dual-Band Nonlinear Frequency Modulation Probe. Photonics 2025, 12, 183. https://doi.org/10.3390/photonics12030183
Zhang J, Xu T, Cao K, Shu Y, Deng D, Li F. φ-OTDR Based on Dual-Band Nonlinear Frequency Modulation Probe. Photonics. 2025; 12(3):183. https://doi.org/10.3390/photonics12030183
Chicago/Turabian StyleZhang, Jing, Tuanwei Xu, Kai Cao, Yuhang Shu, Dimin Deng, and Fang Li. 2025. "φ-OTDR Based on Dual-Band Nonlinear Frequency Modulation Probe" Photonics 12, no. 3: 183. https://doi.org/10.3390/photonics12030183
APA StyleZhang, J., Xu, T., Cao, K., Shu, Y., Deng, D., & Li, F. (2025). φ-OTDR Based on Dual-Band Nonlinear Frequency Modulation Probe. Photonics, 12(3), 183. https://doi.org/10.3390/photonics12030183

