Parameter Study on Ultraviolet Rayleigh–Brillouin Doppler Lidar with Dual-Pass Dual Fabry–Perot Interferometer for Accurately Measuring Near-Surface to Lower Stratospheric Wind Field
Abstract
1. Introduction
2. System Structure Design
3. Principle of Wind Speed Detection of Ultraviolet Rayleigh–Brillouin Doppler Lidar with Dual-Pass Dual FPI
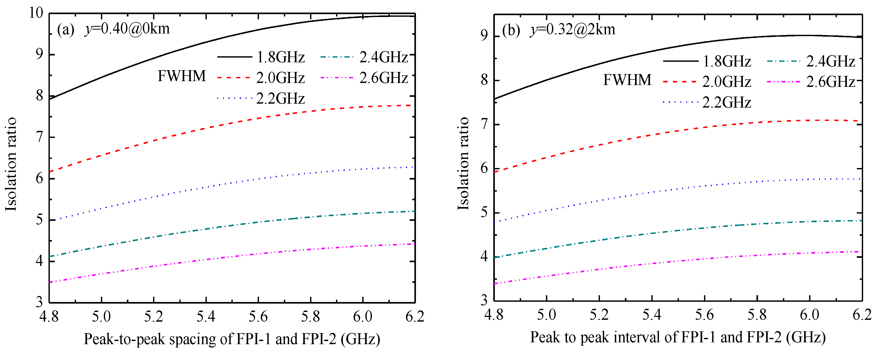
4. Fabry–Perot Interferometer Parameter Optimization
5. System Performance Simulation
5.1. Dual-Pass Dual-FPI Transmittance and Wind Speed Measurement Sensitivity
5.2. Wind Speed Measurement Bias Caused by Aerosols
5.3. Wind Speed Measurement Errors Caused by Random Noise
6. Discussion
7. Conclusions
Author Contributions
Funding
Institutional Review Board Statement
Informed Consent Statement
Data Availability Statement
Conflicts of Interest
References
- Baidar, S.; Tucker, S.C.; Beaubien, M.; Hardesty, R.M. The optical autocovariance wind lidar. Part II: Green OAWL (GrOAWL) airborne performance and validation. J. Atmos. Ocean. Technol. 2018, 35, 2099–2116. [Google Scholar] [CrossRef]
- Liu, Z.L.; Barlow, J.F.; Chan, P.W.; Fung, J.C.H.; Li, Y.G.; Ren, C.; Mark, H.W.L.; Ng, E. A review of progress and applications of pulsed Doppler wind lidars. Remote Sens. 2019, 11, 2522. [Google Scholar] [CrossRef]
- Lolli, S.; Delaval, A.; Loth, C.; Garnier, A.; Flamant, P.H. 0.355-micrometer direct detection wind lidar under testing during a field campaign in consideration of ESA’s ADM-Aeolus mission. Atmos. Meas. Tech. 2013, 6, 3349–3358. [Google Scholar] [CrossRef]
- Huffaker, R.M.; Paul, A.R. Solid-state coherent laser radar wind field measurement systems. In Lidar Atmospheric Monitoring, Proceedings of the Environmental Sensing III, Munich, Germany, 16–20 June 1997; SPIE Proceedings Series; SPIE: Bellingham, WA, USA, 1997; pp. 179–189. [Google Scholar]
- Kameyama, S.; Ando, T.; Asaka, K.; Hirano, Y.; Wadaka, S. Compact All-Fiber Pulsed Coherent Doppler Lidar System for Wind Sensing. Appl. Opt. 2007, 46, 1953–1962. [Google Scholar] [CrossRef]
- Sathe, A.; Mann, J. A Review of Turbulence Measurements Using Ground-Based Wind Lidars. Atmos. Meas. Tech. 2013, 6, 3147–3167. [Google Scholar] [CrossRef]
- Lombard, L.; Valla, M.; Planchat, C.; Goular, D.; Augère, B.; Bourdon, P. Eyesafe Coherent Detection Wind Lidar Based on a Beam-Combined Pulsed Laser Source. Opt. Lett. 2015, 40, 1030–1033. [Google Scholar] [CrossRef]
- Suomi, I.; Gryning, S.E.; O’Connor, E.J.; Vihma, T. Methodology for obtaining wind gusts using Doppler lidar. Q. J. R. Meteorol. Soc. 2017, 143, 2061–2072. [Google Scholar] [CrossRef]
- Wang, C.; Xia, H.; Wu, Y.; Dong, J.; Wei, T.; Wang, L. Meter-scale Spatial-Resolution-Coherent Doppler Wind Lidar Based on Golay Coding. Opt. Lett. 2019, 44, 311–314. [Google Scholar] [CrossRef]
- Yuan, J.; Xia, H.; Wei, T.; Wang, L.; Yue, B.; Wu, Y. Identifying cloud, precipitation, windshear, and turbulence by deep analysis of the power spectrum of coherent Doppler wind lidar. Opt. Express 2020, 28, 37406–37418. [Google Scholar] [CrossRef]
- Banakh, V.A.; Smalikho, I.N.; Falits, A.V.; Sherstobitov, A.M. Estimating the parameters of wind turbulence from spectra of radial velocity measured by a pulsed doppler lidar. Remote Sens. 2021, 13, 2071. [Google Scholar] [CrossRef]
- Nobuki, K.; Hiroshi, S.; Masaharu, I.; Yoshichika, M.; Toshiyuki, A.; Yoshiyuki, Y.; Masayuki, E.; Shumpei, K. Intelligent and compact coherent Doppler lidar with fiber-based configuration for robust wind sensing in various atmospheric and environmental conditions. Opt. Express 2022, 30, 20038–20062. [Google Scholar]
- Souprayen, C.; Garnier, A.; Hertzog, A. Rayleigh-Mie Doppler wind lidar for atmospheric measurements. II. Mie scattering effect, theory, and calibration. Appl. Opt. 1999, 38, 2422–2431. [Google Scholar] [CrossRef] [PubMed]
- Flesia, C.; Korb, C.L. Theory of the double-edge molecular technique for Doppler lidar wind measurement. Appl. Opt. 1999, 38, 432–440. [Google Scholar] [CrossRef] [PubMed]
- Liu, Z.S.; Wu, D.; Liu, J.T.; Zhang, K.L.; Chen, W.B.; Song, X.Q. Low-altitude Atmospheric Wind Measurement from the Combined Mie and Rayleigh Backscattering by Doppler Lidar with an Iodine Filter. Appl. Opt. 2002, 41, 7079–7086. [Google Scholar] [CrossRef]
- Liu, Z.; Liu, B.; Wu, S.; Li, Z.; Wang, Z. High spatial and temporal resolution mobile incoherent Doppler lidar for sea surface wind measurements. Opt. Lett. 2008, 33, 1485–1487. [Google Scholar] [CrossRef]
- Shen, F.H.; Cha, H.; Sun, D.D.; Kim, D.H.; Kwon, S.O. Low tropospheric wind measurement with Mie Doppler lidar. Opt. Rev. 2008, 15, 204–209. [Google Scholar] [CrossRef]
- Reitebuch, O.; Lemmerz, C.; Nagel, E.; Paffrath, U.; Durand, Y.; Endemann, M. The Airborne Demonstrator for the Direct-Detection Doppler Wind Lidar ALADIN on ADM-Aeolus. Part I: Instrument Design and Comparison to Satellite Instrument. J. Atmos. Ocean. Technol. 2009, 26, 2501–2515. [Google Scholar] [CrossRef]
- Shangguan, M.J.; Xia, H.Y.; Dou, X.K.; Wang, C.; Qiu, J.W.; Zhang, Y.P. Comprehensive Wind Correction for a Rayleigh Doppler Lidar from Atmospheric Temperature and Pressure Influences and Mie Contamination. Chin. Phys. B 2015, 24, 094212. [Google Scholar] [CrossRef][Green Version]
- Shen, F.H.; Cha, H.; Dong, J.J.; Kim, D.H.; Sun, D.D.; Kwon, S.O. Design and performance simulation of a molecular Doppler Wind Lidar. Chin. Opt. Lett. 2009, 7, 593–597. [Google Scholar] [CrossRef]
- Shen, F.H.; Wang, B.X.; Shi, W.J.; Zhuang, P.; Zhu, C.Y.; Xie, C.B. Design and performance simulation of 532 nm Rayleigh–Mie Doppler lidar system for 5–50km wind measurement. Opt. Commun. 2018, 412, 7–13. [Google Scholar] [CrossRef]
- Repasky, K.S.; Cruikshank, O.; Colberg, L. Performance modeling of a diode-laser-based direct-detection Doppler lidar for vertical wind profiling. J. Atmos. Ocean. Technol. 2022, 39, 1655–1668. [Google Scholar] [CrossRef]
- McGill, M.J.; Skinner, W.R.; Irgang, T.D. Analysis techniques for the recovery of winds and backscatter coefficients from a multiple-channel incoherent Doppler lidar. Appl. Opt. 1997, 36, 1253–1268. [Google Scholar] [CrossRef] [PubMed]
- McKay, J.A. Assessment of a Multibeam Fizeau Wedge Interferometer for Doppler Wind Lidar. Appl. Opt. 2002, 41, 1760–1767. [Google Scholar] [CrossRef] [PubMed]
- Vrancken, P.; Herbst, J. Aeronautics application of direct-detection Doppler wind lidar: An adapted design based on a fringe-imaging Michelson interferometer as spectral analyzer. Remote Sens. 2022, 14, 3356. [Google Scholar] [CrossRef]
- Shen, F.H.; Xie, C.B.; Yang, L.L.; Wang, B.X.; Zhou, H.; Xu, H. Rayleigh Doppler lidar technology based on quadruple dual-pass F-P interferometer. Opt. Lasers Eng. 2024, 174, 107953. [Google Scholar] [CrossRef]
- Witschas, B. Analytical model for Rayleigh-Brillouin line shapes in air. Appl. Opt. 2011, 50, 267–270. [Google Scholar] [CrossRef]












| Parameter | Value | Parameter | Value | |
|---|---|---|---|---|
| Transmitter | Wavelength | 355 nm | Laser energy/pulse | 350 mJ |
| Linewidth | 120 MHz | Laser repetition frequency | 50 Hz | |
| Divergence angle | 0.5 mrad | |||
| Transceiver | Telescope/scanner aperture | 45 cm | Field of view | 0.15 mrad |
| Optical efficiency | >85% | |||
| Receiver | FPI free spectral range | 12 GHz | Spacing of FPE-1 and FPE-2 | 6 GHz |
| FWHM of FPI-1,-2,-L | 1.8 GHz | Spacing of FPE-1 and FPE-L | 2.1 GHz | |
| Defect finesse of FPI | 24 | Loss coefficient of FPI | 0.2% | |
| Solar Filter bandwidth | 0.2 nm | Detector quantum efficiency | 25%@355 nm | |
| Filter peak transmission | >70% | Detector dark count | 100 counts/s |
Disclaimer/Publisher’s Note: The statements, opinions and data contained in all publications are solely those of the individual author(s) and contributor(s) and not of MDPI and/or the editor(s). MDPI and/or the editor(s) disclaim responsibility for any injury to people or property resulting from any ideas, methods, instructions or products referred to in the content. |
© 2025 by the authors. Licensee MDPI, Basel, Switzerland. This article is an open access article distributed under the terms and conditions of the Creative Commons Attribution (CC BY) license (https://creativecommons.org/licenses/by/4.0/).
Share and Cite
Shen, F.; Shu, Z.; Dong, J.; Jin, G.; Yang, L.; Hui, Z.; Xu, H. Parameter Study on Ultraviolet Rayleigh–Brillouin Doppler Lidar with Dual-Pass Dual Fabry–Perot Interferometer for Accurately Measuring Near-Surface to Lower Stratospheric Wind Field. Photonics 2025, 12, 92. https://doi.org/10.3390/photonics12010092
Shen F, Shu Z, Dong J, Jin G, Yang L, Hui Z, Xu H. Parameter Study on Ultraviolet Rayleigh–Brillouin Doppler Lidar with Dual-Pass Dual Fabry–Perot Interferometer for Accurately Measuring Near-Surface to Lower Stratospheric Wind Field. Photonics. 2025; 12(1):92. https://doi.org/10.3390/photonics12010092
Chicago/Turabian StyleShen, Fahua, Zhifeng Shu, Jihui Dong, Guohua Jin, Liangliang Yang, Zhou Hui, and Hua Xu. 2025. "Parameter Study on Ultraviolet Rayleigh–Brillouin Doppler Lidar with Dual-Pass Dual Fabry–Perot Interferometer for Accurately Measuring Near-Surface to Lower Stratospheric Wind Field" Photonics 12, no. 1: 92. https://doi.org/10.3390/photonics12010092
APA StyleShen, F., Shu, Z., Dong, J., Jin, G., Yang, L., Hui, Z., & Xu, H. (2025). Parameter Study on Ultraviolet Rayleigh–Brillouin Doppler Lidar with Dual-Pass Dual Fabry–Perot Interferometer for Accurately Measuring Near-Surface to Lower Stratospheric Wind Field. Photonics, 12(1), 92. https://doi.org/10.3390/photonics12010092

