Real-Time Respiratory Monitoring Using a Sparse-Sampled Frequency-Scanning White-Light Interferometry System
Abstract
1. Introduction
2. Setup and Principles
2.1. Sparse-Sampled White-Light Interferometry System
2.2. Sensor Fabrication
2.3. Phase Extraction Principles in Limited Spectral Ranges
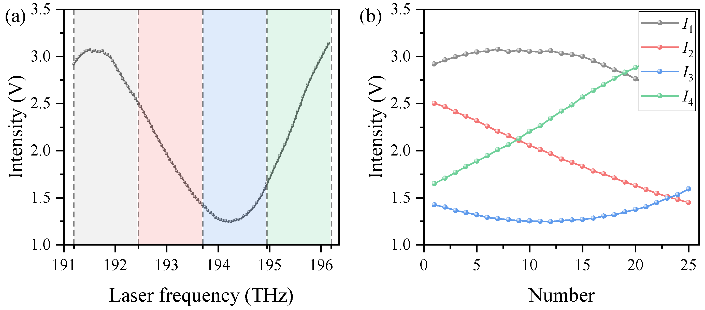
3. Simulation
4. Experimental Results
4.1. Verification of Algorithm Validity
4.2. Relative Humidity Sensing
4.3. Real-Time Respiratory Monitoring
5. Conclusions
Author Contributions
Funding
Institutional Review Board Statement
Informed Consent Statement
Data Availability Statement
Conflicts of Interest
References
- Zhou, X.; Yu, Q.; Peng, W. Fiber-optic Fabry–Perot pressure sensor for down-hole application. Opt. Lasers Eng. 2019, 121, 289–299. [Google Scholar] [CrossRef]
- Wang, Z.; Liu, H.; Ma, Z.; Chen, Z.; Wang, T.; Pang, F. High temperature strain sensing with alumina ceramic derived fiber based Fabry-Perot interferometer. Opt. Express 2019, 27, 27691–27701. [Google Scholar] [CrossRef]
- Xie, Z.; He, X.; Xiao, Y.; Yang, T.; Wang, B.; Ran, Z.; Rao, Y.; Min, F.; Qiu, H.; Yang, Y.; et al. Ultrasensitive all-fiber inline Fabry–Perot strain sensors for aerodynamic measurements in hypersonic flows. ISA Trans. 2020, 102, 388–396. [Google Scholar] [CrossRef]
- Kienitz, S.U.; Lohr, L.; Schmid, M.J.; Koch, A.W. Static and dynamic pressure measurement in flight test application with optical Fabry–Pérot sensors. IEEE Trans. Instrum. Meas. 2021, 70, 7004611. [Google Scholar] [CrossRef]
- Ghasemi, M.; Oh, J.; Jeong, S.; Lee, M.; Bohlooli Darian, S.; Oh, K.; Kim, J.K. Fabry–Perot interferometric fiber-optic sensor for rapid and accurate thrombus detection. Biosensors 2023, 13, 817. [Google Scholar] [CrossRef]
- Bartnik, K.; Martychowiec, A.; Kwietniewski, N.; Musolf, P.; Jönsson, J.N.; Koba, M.; Śmietana, M. Thin-film-based optical fiber interferometric sensor on the fiber tip for endovascular surgical procedures. IEEE Trans. Biomed. Eng. 2024, 1–10. [Google Scholar] [CrossRef] [PubMed]
- Zhu, C.; Zheng, H.; Ma, L.; Yao, Z.; Liu, B.; Huang, J.; Rao, Y. Advances in fiber-optic extrinsic fabry–perot interferometric physical and mechanical sensors: A review. IEEE Sens. J. 2023, 23, 6406–6426. [Google Scholar] [CrossRef]
- Ma, C.; Peng, D.; Bai, X.; Liu, S.; Luo, L. A review of optical fiber sensing technology based on thin film and Fabry–Perot cavity. Coatings 2023, 13, 1277. [Google Scholar] [CrossRef]
- Wei, H.; Hou, L.; Wei, Y.; Ding, W.; He, G.; Yin, R.; Ren, D.; Pang, F.; Caucheteur, C.; Hu, X.; et al. Two-photon 3D printing optical Fabry-Perot microcavity for non-contact pressure detection. Opt. Laser Technol. 2025, 181, 111614. [Google Scholar] [CrossRef]
- Huang, H.; Liao, C.; Zou, M.; Liu, D.; Liu, S.; Wang, Y.; Bai, Z.; Liu, D.; Li, B.; Huang, J. Four-dimensional printing of a fiber-tip multimaterial microcantilever as a magnetic field sensor. ACS Photonics 2023, 10, 1916–1924. [Google Scholar] [CrossRef]
- Bian, P.; Hu, Z.Y.; An, R.; Tian, Z.N.; Liu, X.Q.; Chen, Q.D. Femtosecond laser 3d nano-printing for functionalization of optical fiber tips. Laser Photonics Rev. 2024, 18, 2300957. [Google Scholar] [CrossRef]
- Zou, M.; Liao, C.; Liu, S.; Xiong, C.; Zhao, C.; Zhao, J.; Gan, Z.; Chen, Y.; Yang, K.; Liu, D. Fiber-tip polymer clamped-beam probe for high-sensitivity nanoforce measurements. Light Sci. Appl. 2021, 10, 171. [Google Scholar] [CrossRef] [PubMed]
- Xiong, C.; Wang, C.; Qin, Y.; Yu, R.; Ji, W.; Liu, A.-Q.; Shen, Y.; Xiao, L. 3D-printed ultracompact multicore fiber-tip probes for simultaneous measurement of nanoforce and temperature. ACS Appl. Mater. Interfaces 2024, 16, 30443–30452. [Google Scholar] [CrossRef]
- Wang, F.; Liao, C.; Zou, M.; Liu, D.; Huang, H.; Liu, C.; Wang, Y. Microstructured cantilever probe on optical fiber tip for microforce sensor. Photonic Sens. 2024, 14, 240204. [Google Scholar] [CrossRef]
- Guo, M.; Ding, H.; Han, K.; Han, C.; Chen, C. Ultrasensitive hydrogen sensor with vernier effect by dual parallel structured fiber-optic fabry-perot interferometers. J. Light. Technol. 2024, 42, 5383–5389. [Google Scholar] [CrossRef]
- Zhong, J.; Lu, S.; Liu, S.; Chen, P.; Luo, J.; Chen, Y.; Hong, G.; Xu, X.; Qu, J.; Liu, L. Fiber-tip Fabry–Pérot interferometer with a graphene–Au–Pd cantilever for trace hydrogen sensing. Lab A Chip 2023, 23, 3518–3526. [Google Scholar] [CrossRef] [PubMed]
- Yu, F.; Liu, Q.; Gan, X.; Hu, M.; Zhang, T.; Li, C.; Kang, F.; Terrones, M.; Lv, R. Ultrasensitive pressure detection of few-layer MoS 2. Adv. Mater. (Deerfield Beach Fla.) 2017, 29, 1603266. [Google Scholar] [CrossRef] [PubMed]
- Wei, H.; Wu, Z.; Wei, Y.; Wang, C.; Zhang, H.; Pang, F.; Marques, C.; Caucheteur, C.; Hu, X. 3D printed Fabry-Perot acoustic probe with a glass horn tube. Opt. Laser Technol. 2024, 168, 109977. [Google Scholar] [CrossRef]
- Yin, H.; Shao, Z.; Wang, R.; Qiao, X. Fiber-end suspended polymer micro-rod inscribed with Bragg grating for highly sensitive ultrasonic detection. Opt. Lett. 2023, 48, 5911–5914. [Google Scholar] [CrossRef]
- Guntner, A.T.; Abegg, S.; Konigstein, K.; Gerber, P.A.; Schmidt-Trucksass, A.; Pratsinis, S.E. Breath sensors for health monitoring. ACS Sens. 2019, 4, 268–280. [Google Scholar] [CrossRef] [PubMed]
- Dziuda, Ł.; Skibniewski, F.W.; Krej, M.; Baran, P.M. Fiber Bragg grating-based sensor for monitoring respiration and heart activity during magnetic resonance imaging examinations. J. Biomed. Opt. 2013, 18, 057006. [Google Scholar] [CrossRef]
- Jeanne, M.; Narbonneau, F.; Witt, J.; Paquet, B.; Kinet, D.; Kreber, K.; Logier, R. OFSETH: A breathing motions monitoring system for patients under MRI. In Proceedings of the 2010 Annual International Conference of the IEEE Engineering in Medicine and Biology, Buenos Aires, Argentina, 31 August–4 September 2010; IEEE: Piscataway, NJ, USA, 2010; pp. 1016–1019. [Google Scholar]
- Massaroni, C.; Nicolò, A.; Sacchetti, M.; Schena, E. Contactless methods for measuring respiratory rate: A review. IEEE Sens. J. 2021, 21, 12821–12839. [Google Scholar] [CrossRef]
- Lin, J.; Chen, H.; Ling, Q.; Shen, Q.; Luo, S.; Akhtar, A.; Zhu, C.; Yu, Z.; Liu, L.; Guan, Z.; et al. Respiratory rate monitoring based on all-fiber strain-induced humidity sensor. Opt. Laser Technol. 2025, 181, 111840. [Google Scholar] [CrossRef]
- Ma, Z.; Fei, T.; Zhang, T. An overview: Sensors for low humidity detection. Sens. Actuators B Chem. 2023, 376, 133039. [Google Scholar] [CrossRef]
- Lang, C.; Liu, Y.; Cao, K.; Li, Y.; Qu, S. Ultra-compact, fast-responsive and highly-sensitive humidity sensor based on a polymer micro-rod on the end-face of fiber core. Sens. Actuators B Chem. 2019, 290, 23–27. [Google Scholar] [CrossRef]
- Shen, Z.; Yu, R.; Chen, Y.; Wang, C.; Chen, W.; Liu, L.; Xu, L.; Xiao, L. Dual self-growing polymer microtips on a multicore fiber for humidity and temperature discriminative sensing. J. Light. Technol. 2023, 41, 4322–4330. [Google Scholar] [CrossRef]
- Zhang, S.; Dong, B.; Chen, Z.; Lin, P.; Huang, W. Pentaerythritol tetraacrylate microcavity sensor for high performance relative humidity detection. Sens. Actuators A Phys. 2024, 366, 114981. [Google Scholar] [CrossRef]
- Wang, J.; Kou, Y.; Wang, A.; Hao, J.; Niu, C.; Jiang, H.; Meng, H.; Sun, W.; Geng, T. Lab-on-fiber: Laser-induced micro-cavity for a relative humidity measurement. Opt. Lett. 2023, 48, 5261–5264. [Google Scholar] [CrossRef] [PubMed]
- Luo, S.; Ding, Y.; Zhu, X.; Li, Y.; Ling, Q.; Duan, Z.; Zhang, Y.; Chen, H.; Yu, Z.; Du, K.; et al. Lab-on-fiber humidity sensor for real-time respiratory rate monitoring. IEEE Sens. J. 2024, 24, 20663–20668. [Google Scholar] [CrossRef]
- Dong, Z.; Hu, X.; Ren, D.; Xiong, L.; Liu, X.; Deng, X.; Cai, C.; Qi, Z.-m. Judgment and compensation of deviation of the optical interferometric sensor’s operating point from the interferometer quadrature point. J. Light. Technol. 2021, 39, 7008–7017. [Google Scholar] [CrossRef]
- Zhou, X.; Yu, Q. Wide-range displacement sensor based on fiber-optic Fabry–Perot interferometer for subnanometer measurement. IEEE Sens. J. 2010, 11, 1602–1606. [Google Scholar] [CrossRef]
- Yu, Z.; Wang, A. Fast white light interferometry demodulation algorithm for low-finesse Fabry–Pérot sensors. IEEE Photonics Technol. Lett. 2015, 27, 817–820. [Google Scholar] [CrossRef]
- Li, C.; Chen, S.; Zhu, Y. Maximum likelihood estimation of optical path length in spectral interferometry. J. Lightwave Technol. 2017, 35, 4880–4887. [Google Scholar] [CrossRef]
- Guo, Z.; Chen, C.; Zhang, J.; Zhang, X.; Chen, H.; Wang, W. Demodulation of fiber-optic Fabry-Perot sensors through a double-frequency self-correlation method. Opt. Fiber Technol. 2021, 64, 102563. [Google Scholar] [CrossRef]
- Zhang, P.; Wang, Y.; Chen, Y.; Lei, X.; Qi, Y.; Feng, J.; Liu, X. A high-speed demodulation technology of fiber optic extrinsic Fabry-Perot interferometric sensor based on coarse spectrum. Sensors 2021, 21, 6609. [Google Scholar] [CrossRef] [PubMed]
- Li, C.; Qi, H.; Han, X.; Zhao, X.; Zhang, Y.; Huang, J.; Peng, W.; Chen, K. Ultrahigh-speed phase demodulation of a Fabry–Perot sensor based on fiber array parallel spectral detection. Opt. Lett. 2024, 49, 714–717. [Google Scholar] [CrossRef] [PubMed]
- Yue-Yu, X.; Xin-Yu, X.; Yan-Xiang, L. A rapid demodulation method for the interference spectrum of optical fiber sensors based on machine learning. Laser Phys. 2024, 34, 115101. [Google Scholar] [CrossRef]
- Rohollahnejad, J.; Xia, L.; Cheng, R.; Ran, Y.; Su, L. Fast and reliable interrogation of USFBG sensors based on MG-Y laser discrete wavelength channels. Opt. Commun. 2017, 382, 253–257. [Google Scholar] [CrossRef]
- Bustillos-Barcaya, M.C.; Rinalde, G.F.; Bulus-Rossini, L.A.; Costanzo-Caso, P.A. Y-branch tunable laser design: Modeling, control and experimental validation. Opt. Laser Technol. 2021, 140, 107040. [Google Scholar] [CrossRef]
- Liu, Q.; Jing, Z.; Li, A.; Liu, Y.; Huang, Z.; Zhang, Y.; Peng, W. Common-path dual-wavelength quadrature phase demodulation of EFPI sensors using a broadly tunable MG-Y laser. Opt. Express 2019, 27, 27873–27881. [Google Scholar] [CrossRef]
- Liu, Q.; Jing, Z.; Li, A.; Huang, Z.; Peng, W. Quasi-continuous tuning characteristics of modulated grating Y-branch lasers. Chin. J. Lasers 2020, 47, 1206004. [Google Scholar]
- Zhang, Y.; Yu, J.; Liu, Y.; Liu, P.; Tang, X.; Zhang, Y.; Liu, Z.; Yuan, L. Photopolymer self-growing technology: Towards multifunctional lab-on-fiber. Opt. Laser Technol. 2024, 168, 109815. [Google Scholar] [CrossRef]
- Tan, J.; Yu, R.; Xiao, L. Bessel-like beams generated via fiber-based polymer microtips. Opt. Lett. 2019, 44, 1007–1010. [Google Scholar] [CrossRef] [PubMed]
- Zhang, Y.; Fan, N.; Wu, Y.; Wu, G.; Luo, H.; Yan, J.; Yang, S.; Liu, F. Four-pattern, phase-step non-sensitive phase shifting method based on Carré algorithm. Measurement 2021, 171, 108762. [Google Scholar] [CrossRef]
- Liu, Q.; Jing, Z.; Xia, Z.; Huang, Z.; Peng, W. Fiber-optic ultrasonic sensing via quasi-continuous quadrature frequency modulation. IEEE Photonics Technol. Lett. 2020, 32, 1385–1388. [Google Scholar] [CrossRef]
- Yu, J.; Liu, P.; Zhang, Y.; Sun, Q.; Zhang, Y.; Liu, Z.; Yuan, L.; Tang, X. Water-durability and high-performance all-fiber humidity sensor using methyldiethanolamine-photopolymer-PDMS structure. Opt. Express 2023, 31, 42637–42650. [Google Scholar] [CrossRef] [PubMed]
- Lu, X.; Gong, H.; Lu, Y.; Liu, Y.; Shen, C.; Zhao, C. A relative humidity sensor based on open-cavity Fabry-Perot interferometer by fiber capillary splicing. Opt. Fiber Technol. 2023, 77, 103285. [Google Scholar] [CrossRef]
- Hu, Z.; Chen, Y.; Tan, J.; Yan, Z.; Weng, Z.; Gusain, M.; Zhan, Y.; Xiao, L. A hybrid self-growing polymer microtip for ultracompact and fast fiber humidity sensing. Sens. Actuators B Chem. 2021, 346, 130462. [Google Scholar] [CrossRef]
- Scheenstra, R.J.; Muller, S.H.; Vincent, A.; Hilgers, F.J.M. Heat and moisture exchange capacity of the upper respiratory tract and the effect of tracheotomy breathing on endotracheal climate. Head Neck 2011, 33, 117–124. [Google Scholar] [CrossRef]











Disclaimer/Publisher’s Note: The statements, opinions and data contained in all publications are solely those of the individual author(s) and contributor(s) and not of MDPI and/or the editor(s). MDPI and/or the editor(s) disclaim responsibility for any injury to people or property resulting from any ideas, methods, instructions or products referred to in the content. |
© 2025 by the authors. Licensee MDPI, Basel, Switzerland. This article is an open access article distributed under the terms and conditions of the Creative Commons Attribution (CC BY) license (https://creativecommons.org/licenses/by/4.0/).
Share and Cite
Liu, W.; Qian, C.; Li, K.; Wang, Y.; Cai, X.; Liu, Q. Real-Time Respiratory Monitoring Using a Sparse-Sampled Frequency-Scanning White-Light Interferometry System. Photonics 2025, 12, 45. https://doi.org/10.3390/photonics12010045
Liu W, Qian C, Li K, Wang Y, Cai X, Liu Q. Real-Time Respiratory Monitoring Using a Sparse-Sampled Frequency-Scanning White-Light Interferometry System. Photonics. 2025; 12(1):45. https://doi.org/10.3390/photonics12010045
Chicago/Turabian StyleLiu, Wenyan, Cheng Qian, Kexin Li, Yiping Wang, Xiaoyan Cai, and Qiang Liu. 2025. "Real-Time Respiratory Monitoring Using a Sparse-Sampled Frequency-Scanning White-Light Interferometry System" Photonics 12, no. 1: 45. https://doi.org/10.3390/photonics12010045
APA StyleLiu, W., Qian, C., Li, K., Wang, Y., Cai, X., & Liu, Q. (2025). Real-Time Respiratory Monitoring Using a Sparse-Sampled Frequency-Scanning White-Light Interferometry System. Photonics, 12(1), 45. https://doi.org/10.3390/photonics12010045

