In-Vivo Dosimetry for Ultra-High Dose Rate (UHDR) Electron Beam FLASH Radiotherapy Using an Organic (Plastic), an Organic–Inorganic Hybrid and an Inorganic Point Scintillator System
Abstract
1. Introduction
2. Materials and Methods
2.1. UHDR Irradiation
- DPP = iDR
- D = DPP·Np
- DR =
2.2. Inorganic and Organic-Inorganic Hybrid FODs
2.2.1. Stem Signal Reduction
2.2.2. Optimizing Sampling Frequency and Integration Window
2.3. Plastic Scintillator FOD
2.4. Use in UHDR Electron Beams
3. Results
3.1. Stem Signal Reduction: Optimizing Wavelength Filters
3.2. Optimizing Sampling Frequency and Integration Window
3.3. Application in UHDR
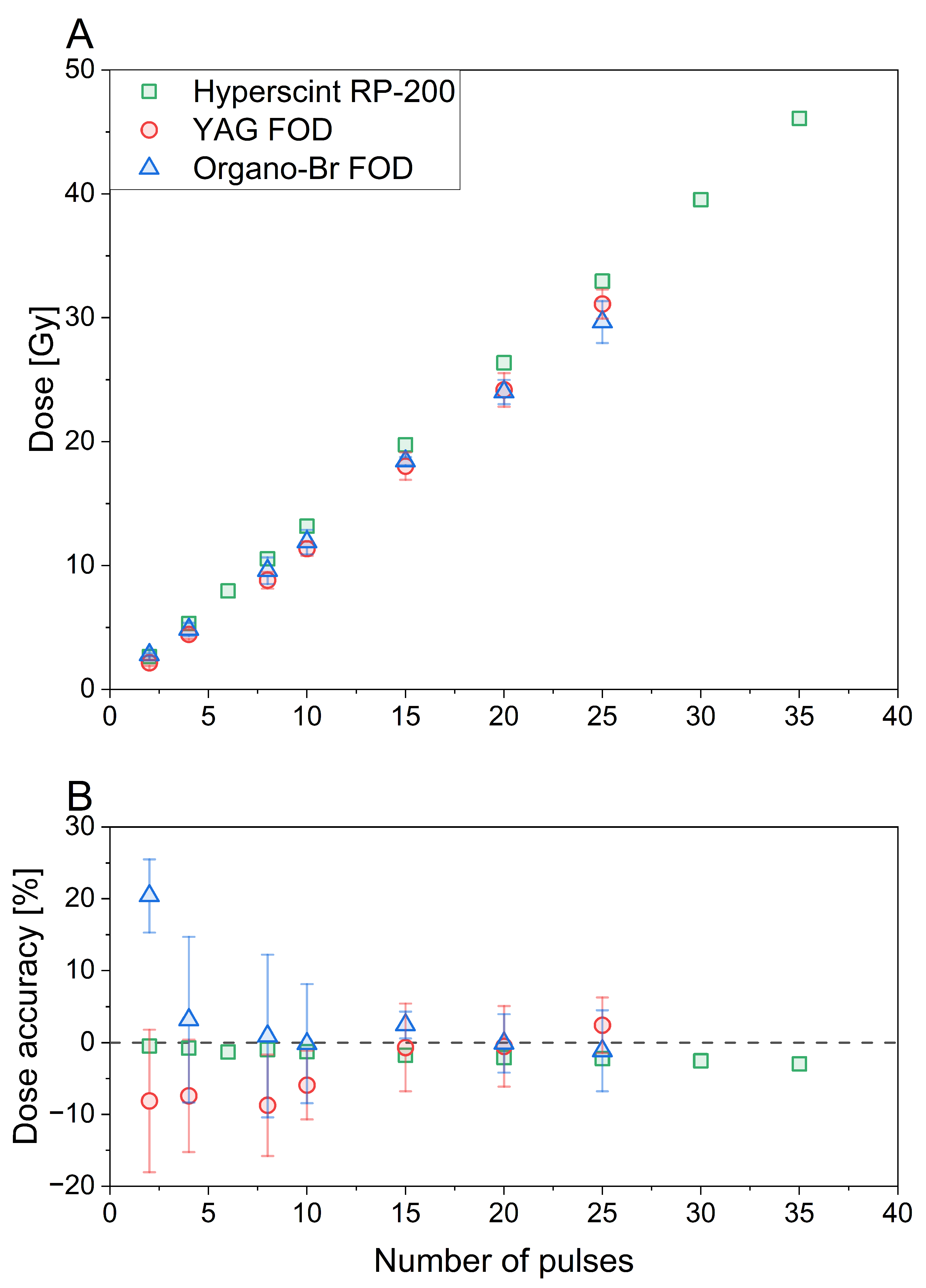
3.3.1. Experiment 1: Linearity with Number of Pulses
3.3.2. Experiment 2: Pulse Repetition Frequency Dependence
3.3.3. Experiment 3: Pulse Length Dependence
3.3.4. Experiment 4: Source to Surface Distance Dependence
3.3.5. Experiment 5: Conventional Pulse Repetition Frequency Dependence
3.3.6. Experiment 6: Energy Dependence
3.3.7. Experiment 7: Pulse Discrimination
4. Discussion
4.1. Application in UHDR
4.1.1. Plastic FOD
4.1.2. Inorganic FOD
4.1.3. Organic–Inorganic Hybrid FOD
4.2. Future Work
5. Conclusions
Author Contributions
Funding
Institutional Review Board Statement
Informed Consent Statement
Data Availability Statement
Conflicts of Interest
References
- Barton, M.B.; Jacob, S.; Shafiq, J.; Wong, K.; Thompson, S.R.; Hanna, T.P.; Delaney, G.P. Estimating the demand for radiotherapy from the evidence: A review of changes from 2003 to 2012. Radiother. Oncol. 2014, 112, 140–144. [Google Scholar] [CrossRef] [PubMed]
- Favaudon, V.; Caplier, L.; Monceau, V.; Pouzoulet, F.; Sayarath, M.; Fouillade, C.; Poupon, M.F.; Brito, I.; Hupé, P.; Bourhis, J.; et al. Ultrahigh dose-rate FLASH irradiation increases the differential response between normal and tumor tissue in mice. Sci. Transl. Med. 2014, 6, 245ra93. [Google Scholar] [CrossRef] [PubMed]
- Vozenin, M.C.; Hendry, J.H.; Limoli, C. Biological benefits of ultra-high dose rate FLASH radiotherapy: Sleeping beauty awoken. Clin. Oncol. 2019, 31, 407–415. [Google Scholar] [CrossRef]
- Borghini, A.; Labate, L.; Piccinini, S.; Panaino, C.M.V.; Andreassi, M.G.; Gizzi, L.A. Flash radiotherapy: Expectations, challenges, and current knowledge. Int. J. Mol. Sci. 2024, 25, 2546. [Google Scholar] [CrossRef] [PubMed]
- Vozenin, M.C.; Bourhis, J.; Durante, M. Towards clinical translation of FLASH radiotherapy. Nat. Rev. Clin. Oncol. 2022, 19, 791–803. [Google Scholar] [CrossRef]
- McManus, M.; Romano, F.; Lee, N.; Farabolini, W.; Gilardi, A.; Royle, G.; Palmans, H.; Subiel, A. The challenge of ionisation chamber dosimetry in ultra-short pulsed high dose-rate Very High Energy Electron beams. Sci. Rep. 2020, 10, 9089. [Google Scholar] [CrossRef]
- Romano, F.; Bailat, C.; Jorge, P.G.; Lerch, M.L.F.; Darafsheh, A. Ultra-high dose rate dosimetry: Challenges and opportunities for FLASH radiation therapy. Med. Phys. 2022, 49, 4912–4932. [Google Scholar] [CrossRef]
- Schüller, A.; Heinrich, S.; Fouillade, C.; Subiel, A.; De Marzi, L.; Romano, F.; Peier, P.; Trachsel, M.; Fleta, C.; Kranzer, R.; et al. The European Joint Research Project UHDpulse–Metrology for advanced radiotherapy using particle beams with ultra-high pulse dose rates. Phys. Med. 2020, 80, 134–150. [Google Scholar] [CrossRef]
- Marinelli, M.; Felici, G.; Galante, F.; Gasparini, A.; Giuliano, L.; Heinrich, S.; Pacitti, M.; Prestopino, G.; Vanreusel, V.; Verellen, D.; et al. Design, realization, and characterization of a novel diamond detector prototype for FLASH radiotherapy dosimetry. Med. Phys. 2022, 49, 1902–1910. [Google Scholar] [CrossRef]
- Gómez, F.; Gonzalez-Castaño, D.M.; Fernández, N.G.; Pardo-Montero, J.; Schüller, A.; Gasparini, A.; Vanreusel, V.; Verellen, D.; Felici, G.; Kranzer, R.; et al. Development of an ultra-thin parallel plate ionization chamber for dosimetry in FLASH radiotherapy. Med. Phys. 2022, 49, 4705–4714. [Google Scholar] [CrossRef]
- Bourgouin, A.; Keszti, F.; Schönfeld, A.A.; Hackel, T.; Kozelka, J.; Hildreth, J.; Simon, W.; Schüller, A.; Kapsch, R.P.; Renaud, J. The probe-format graphite calorimeter, Aerrow, for absolute dosimetry in ultrahigh pulse dose rate electron beams. Med. Phys. 2022, 49, 6635–6645. [Google Scholar] [CrossRef] [PubMed]
- Shaharuddin, S.; Hart, A.; Cecchi, D.D.; Bazalova-Carter, M.; Foley, M. Real-time dosimetry of ultrahigh dose-rate x-ray beams using scintillation detectors. In Proceedings of the 2021 IEEE Sensors, Sydney, Australia, 31 October–3 November 2021; pp. 1–4. [Google Scholar]
- Vanreusel, V.; Gasparini, A.; Galante, F.; Mariani, G.; Pacitti, M.; Cociorb, M.; Giammanco, A.; Reniers, B.; Reulens, N.; Shonde, T.B.; et al. Point scintillator dosimetry in ultra-high dose rate electron “FLASH” radiation therapy: A first characterization. Phys. Med. 2022, 103, 127–137. [Google Scholar] [CrossRef] [PubMed]
- Veronese, I.; Andersen, C.E.; Li, E.; Madden, L.; Santos, A.M. Radioluminescence-based fibre optic dosimeters in radiotherapy: A review. Radiat. Meas. 2024, 174, 107125. [Google Scholar] [CrossRef]
- Ashraf, M.R.; Rahman, M.; Cao, X.; Duval, K.; Williams, B.B.; Hoopes, P.J.; Gladstone, D.J.; Pogue, B.W.; Zhang, R.; Bruza, P. Individual pulse monitoring and dose control system for pre-clinical implementation of FLASH-RT. Phys. Med. Biol. 2022, 67, 095003. [Google Scholar] [CrossRef] [PubMed]
- Baikalov, A.; Tho, D.; Liu, K.; Bartzsch, S.; Beddar, S.; Schüler, E. Characterization of a novel time-resolved, real-time scintillation dosimetry system for ultra-high dose rate radiation therapy applications. arXiv 2024, arXiv:2403.03142v1. [Google Scholar]
- Ciarrocchi, E.; Ravera, E.; Cavalieri, A.; Celentano, M.; Del Sarto, D.; Di Martino, F.; Linsalata, S.; Massa, M.; Masturzo, L.; Moggi, A.; et al. Plastic scintillator-based dosimeters for ultra-high dose rate (UHDR) electron radiotherapy. Phys. Med. 2024, 121, 103360. [Google Scholar] [CrossRef]
- Hart, A.; Giguère, C.; Bateman, J.; Korysko, P.; Farabolini, W.; Rieker, V.; Esplen, N.; Corsini, R.; Dosanjh, M.; Beaulieu, L.; et al. Plastic scintillator dosimetry of ultrahigh dose-rate 200 MeV electrons at CLEAR. IEEE Sens. J. 2024, 24, 14229–14237. [Google Scholar] [CrossRef]
- Poirier, Y.; Xu, J.; Mossahebi, S.; Therriault-Proulx, F.; Sawant, A. Characterization and practical applications of a novel plastic scintillator for online dosimetry for an ultrahigh dose rate (FLASH). Med. Phys. 2022, 49, 4682–4692. [Google Scholar] [CrossRef]
- Liu, K.; Holmes, S.; Schüler, E.; Beddar, S. A comprehensive investigation of the performance of a commercial scintillator system for applications in electron FLASH radiotherapy. Med. Phys. 2024, 51, 4504–4512. [Google Scholar] [CrossRef]
- Xu, L.J.; Lin, X.; He, Q.; Worku, M.; Ma, B. Highly efficient eco-friendly X-ray scintillators based on an organic manganese halide. Nat. Commun. 2020, 11, 4329. [Google Scholar] [CrossRef]
- Lian, L.; Wang, X.; Zhang, P.; Zhu, J.; Zhang, X.; Gao, J.; Wang, S.; Liang, G.; Zhang, D.; Gao, L.; et al. Highly luminescent zero-dimensional organic copper halides for X-ray scintillation. J. Phys. Chem. Lett. 2021, 12, 6919–6926. [Google Scholar] [CrossRef] [PubMed]
- de Freitas Nascimento, L.; De Saint-Hubert, M.; Crijns, W.; Caprioli, M.; Delombaerde, L.; Vandenbroucke, D.; Leblans, P.; Sterckx, P.; Himschoot, K.; Goossens, J.; et al. Two-dimensional real-time dosimetry system using micro-and nano-(C44H38P2) MnCl4 radioluminescence coatings. Radiat. Meas. 2024, 176, 107212. [Google Scholar] [CrossRef]
- Bourhis, J.; Montay-Gruel, P.; Jorge, P.G.; Bailat, C.; Petit, B.; Ollivier, J.; Jeanneret-Sozzi, W.; Ozsahin, M.; Bochud, F.; Moeckli, R.; et al. Clinical translation of FLASH radiotherapy: Why and how? Radiother. Oncol. 2019, 139, 11–17. [Google Scholar] [CrossRef] [PubMed]
- Mori, M.; Xu, J.; Okada, G.; Yanagida, T.; Ueda, J.; Tanabe, S. Comparative study of optical and scintillation properties of Ce:YAGG, Ce:GAGG and Ce:LuAGG transparent ceramics. J. Ceram. Soc. Jpn. 2016, 124, 569–573. [Google Scholar] [CrossRef]
- Zorenko, Y.; Zorenko, T.; Gorbenko, V.; Voznyak, T.; Savchyn, V.; Bilski, P.; Twardak, A. Peculiarities of luminescent and scintillation properties of YAG:Ce phosphor prepared in different crystalline forms. Opt. Mater. 2012, 34, 1314–1319. [Google Scholar] [CrossRef]
- Nascimento, L.; Veronese, I.; Loi, G.; Mones, E.; Vanhavere, F.; Verellen, D. Radioluminescence results from an Al2O3:C fiber prototype: 6 MV medical beam. Sens. Actuators A Phys. 2018, 274, 1–9. [Google Scholar] [CrossRef]
- de Freitas Nascimento, L.; Leblans, P.; van der Heyden, B.; Akselrod, M.; Goossens, J.; Correa Rocha, L.E.; Vaniqui, A.; Verellen, D. Characterisation and quenching correction for an Al2O3:C optical fibre real time system in therapeutic proton, helium, and carbon-charged beams. Sensors 2022, 22, 9178. [Google Scholar] [CrossRef]
- Siddique, S.; Ruda, H.E.; Chow, J.C. FLASH radiotherapy and the use of radiation dosimeters. Cancers 2023, 15, 3883. [Google Scholar] [CrossRef]
- Vanreusel, V.; Heinrich, S.; De Kerf, T.; Leblans, P.; Vandenbroucke, D.; Vanlanduit, S.; Verellen, D.; Gasparini, A.; de Freitas Nascimento, L. A dose rate independent 2D Ce-doped YAG scintillating dosimetry system for time resolved beam monitoring in ultra-high dose rate electron “FLASH” radiation therapy. Sens. Actuators A Phys. 2024, 371, 115313. [Google Scholar] [CrossRef]
- Nascimento, L.F.; Verellen, D.; Goossens, J.; Struelens, L.; Vanhavere, F.; Leblans, P.; Akselrod, M. Two-dimensional real-time quality assurance dosimetry system using μ-Al2O3:C, Mg radioluminescence films. Phys. Imaging Radiat. Oncol. 2020, 16, 26–32. [Google Scholar] [CrossRef]
- Kanouta, E.; Poulsen, P.R.; Kertzscher, G.; Sitarz, M.K.; Sørensen, B.S.; Johansen, J.G. Time-resolved dose rate measurements in pencil beam scanning proton FLASH therapy with a fiber-coupled scintillator detector system. Med. Phys. 2023, 50, 2450–2462. [Google Scholar] [CrossRef] [PubMed]












| Central Wavelength | Full Width at Half Maximum (FWHM) | Alias | Stock Number | 
|---|---|---|---|
| 425 nm | 50 nm | WF425 | 86-937 | 
| 500 nm | 80 nm | WF500 | 65-734 | 
| 525 nm | 50 nm | WF525 | 86-951 | 
| Parameters for Calibration and Characterization | |||||||
|---|---|---|---|---|---|---|---|
| Experiment/ Calibration | Modality | Np | Dose [Gy] | Nominal Pulse Length [µs] | PRF [Hz] | Energy [MeV] | SSD [cm] | 
| Calibration Plastic | Conventional | 120 | 9.207 ± 0.049 | 1 | 10 | 9 | 106 | 
| Exp. 1 | UHDR | 2–35 | 2.663–47.493 ± 0.071 | 1.5 | 10 | 9 | 106 | 
| Exp. 2 | UHDR | 7 | 9.347± 0.025 | 1.5 | 1–245 | 9 | 106 | 
| Exp. 3 | UHDR | 7 | 1.83–30.20 ± 0.37 | 0.5–4.5 | 10 | 9 | 106 | 
| Exp. 4 | UHDR | 7 | 2.247–9.249 ± 0.045 | 1.5 | 10 | 9 | 106–175.5 | 
| Exp. 5 * | Conventional | 120 | 9.02 ± 0.22 | 1 | 1–245 | 9 | 106 | 
| Exp. 6 * | UHDR | 2–35 | 1.543–47.493 ± 0.071 | 1.5 | 10 | 7–9 | 106 | 
| Exp. 7 Plastic | UHDR | 8 | 10.634 ± 0.015 | 4.5 | 4 | 9 | 106 | 
| Exp. 7 (In)-organic | UHDR | 7 | 8.6 | 4.5 | 245 | 9 | 106 | 
| Point Scintillator | Wavelength Filter | Peak Signal for 4.5 µs Pulse [Counts] | Peak Signal for 1.5 µs Pulse [Counts] | Ratio | 
|---|---|---|---|---|
| YAG | WF425 | 7.9· | 2.1· | 3.84 | 
| WF500 | 614.1· | 150.1· | 4.09 | |
| WF525 | 97· | 36.2· | 2.68 | |
| Organo-Br | WF425 | 4.3· | 2.3· | 1.83 | 
| WF500 | 141.8· | 277.9· | 0.51 | |
| WF525 | 471.2· | 593.5· | 0.79 | |
| Ratio between effective pulse lengths | 3.31 | |||
| FOD | Calibration Factor [Gy/Counts] | Uncertainty [Gy/Counts] | 
|---|---|---|
| YAG | 2.967· | 3.6· | 
| Organo-Br | 7.603· | 5.1· | 
| Disclaimer/Publisher’s Note: The statements, opinions and data contained in all publications are solely those of the individual author(s) and contributor(s) and not of MDPI and/or the editor(s). MDPI and/or the editor(s) disclaim responsibility for any injury to people or property resulting from any ideas, methods, instructions or products referred to in the content. | 
© 2024 by the authors. Licensee MDPI, Basel, Switzerland. This article is an open access article distributed under the terms and conditions of the Creative Commons Attribution (CC BY) license (https://creativecommons.org/licenses/by/4.0/).
Share and Cite
Vanreusel, V.; Vallet, H.; Wijnen, J.; Côté, B.; Leblans, P.; Sterckx, P.; Vandenbroucke, D.; Verellen, D.; de Freitas Nascimento, L. In-Vivo Dosimetry for Ultra-High Dose Rate (UHDR) Electron Beam FLASH Radiotherapy Using an Organic (Plastic), an Organic–Inorganic Hybrid and an Inorganic Point Scintillator System. Photonics 2024, 11, 865. https://doi.org/10.3390/photonics11090865
Vanreusel V, Vallet H, Wijnen J, Côté B, Leblans P, Sterckx P, Vandenbroucke D, Verellen D, de Freitas Nascimento L. In-Vivo Dosimetry for Ultra-High Dose Rate (UHDR) Electron Beam FLASH Radiotherapy Using an Organic (Plastic), an Organic–Inorganic Hybrid and an Inorganic Point Scintillator System. Photonics. 2024; 11(9):865. https://doi.org/10.3390/photonics11090865
Chicago/Turabian StyleVanreusel, Verdi, Hugo Vallet, Jordi Wijnen, Benjamin Côté, Paul Leblans, Paul Sterckx, Dirk Vandenbroucke, Dirk Verellen, and Luana de Freitas Nascimento. 2024. "In-Vivo Dosimetry for Ultra-High Dose Rate (UHDR) Electron Beam FLASH Radiotherapy Using an Organic (Plastic), an Organic–Inorganic Hybrid and an Inorganic Point Scintillator System" Photonics 11, no. 9: 865. https://doi.org/10.3390/photonics11090865
APA StyleVanreusel, V., Vallet, H., Wijnen, J., Côté, B., Leblans, P., Sterckx, P., Vandenbroucke, D., Verellen, D., & de Freitas Nascimento, L. (2024). In-Vivo Dosimetry for Ultra-High Dose Rate (UHDR) Electron Beam FLASH Radiotherapy Using an Organic (Plastic), an Organic–Inorganic Hybrid and an Inorganic Point Scintillator System. Photonics, 11(9), 865. https://doi.org/10.3390/photonics11090865
 
        

 
       