Abstract
The capacity performance of visible light communication (VLC) systems can be improved by using sparse code multiple access (SCMA). Since SCMA is a codebook-based multiple access scheme, the design of the codebook is crucial. SCMA codebook performance is severely affected by shot noise. Although several codebook design metrics have been proposed to compensate for the constellation distortion caused by shot noise, the improvement in performance is limited. In order to solve this problem, we use a separable codebook design structure to derive the analytical expression of the symbol error rate (SER) for the SCMA-VLC system under shot noise. According to the SER expression, we formulate an optimization problem and obtain a multi-user superimposed codebook to achieve a minimum SER for the SCMA-VLC system. The simulation results show that the proposed codebook significantly improves the performance of the SCMA-VLC system, especially in the case of high shot noise.
1. Introduction
With the increase in wireless data traffic and the number of mobile devices, the sixth generation (6G) is facing the challenges of ultra-low latency and ultra-high speed requirements, owing to the scarcity of the radio frequency (RF) spectrum [1]. As a powerful complementary solution to RF communication, visible light communication (VLC) has the following advantages: unlicensed spectrum, being immune to electromagnetic interference, low energy consumption, and high security [2,3]. A VLC system uses light-emitting diode (LED) as the transmitter. However, the modulation bandwidth of commercial LEDs is narrow, which limits the capacity of the system. The capacity of a VLC system can be increased by using the non-orthogonal multiple access (NOMA) scheme, where multiple users share the same resource element (RE) [4].
The NOMA scheme can be divided into the following two aspects: power-domain NOMA (PD-NOMA) and code-domain NOMA (CD-NOMA). As a promising CD-NOMA scheme, sparse code multiple access (SCMA) improves the bit error ratio (BER) performance due to the coding and constellation shaping gain provided by the multidimensional codebook [5,6]. Therefore, research on SCMA primarily focuses on codebook design. As the VLC system is based on intensity modulation direct detection (IM-DD), the transmitted signal must be non-negative and real. Conventional complex codebooks can be used in the SCMA-VLC system, where real and imaginary parts of a complex codeword should be superimposed after being multiplied individually by two real Hilbert transform pairs [7]. An alternative approach to transmitting complex codewords is to take Hermitian symmetry and inverse fast Fourier transform (IFFT) under an orthogonal frequency division multiplexing scheme, where the complex codeword is converted into a real output [8,9]. Besides complex codebooks, real codebooks can also be used in an SCMA-VLC system. With a symmetric design structure, the real codebook is optimized by maximizing the minimum Euclidean distance (MED) between codewords [10]. However, in the above-mentioned literature, only the effect of signal-independent noise, i.e., thermal noise, on the VLC system is considered.
Besides thermal noise, the signal-dependent shot noise should also be considered in a VLC system, especially in cases wherein the received signal has a high signal-to-noise ratio (SNR). In order to mitigate the adverse effects of shot noise, in [11], a uniform-distributed constellation codebook design with low peak power is proposed to reduce the shot noise variance. Moreover, shot noise introduces a constellation distortion, where the noise power is determined by the signal power. Hence, the performance of the VLC system is severely deteriorated and the original MED design cannot achieve an optimal BER performance. Several approaches have been carried out to improve the BER performance. Rotated-MED (R-MED) was introduced as the optimization objective in [12], according to the expression of pairwise error probability (PEP) for the SCMA-VLC system under shot noise. Meanwhile, the authors of [13] proposed three other R-MED schemes, including separative whitening-like rotation, multiplicative whitening-like rotation, and additive whitening-like rotation. In [14], a low-complexity codebook design was proposed through optimizing the log-sum of rotated Euclidean distance exponentials among the superimposed codewords. Based on R-MED, a distance range-oriented modulation is designed to achieve a better BER performance over a wide range of SNR [15]. Under such R-MED schemes, the new codebook design metrics effectively compensate for the constellation distortion due to shot noise, improving the BER performance compared to the conventional MED scheme. However, as the closed-form expression of PEP cannot be derived, there is no analytical guarantee of the optimality of these codebook design metrics. The optimal codebook design under shot noise remains an problem to be solved.
Motivated by the above, we propose a novel codebook design scheme to obtain optimal superimposed codewords with minimum system symbol error rate (SER) and to improve the BER performance of an SCMA-VLC system. The major contributions of this paper are summarized as follows.
- We derive the analytical expression of the average SER for a shot noise-incorporated SCMA-VLC system, based on the probability density function (PDF) of the received signal. The derived analytical expression of the SER is in good agreement with the numerical simulation results.
- We propose a real, superimposed codebook design scheme for a downlink SCMA-VLC system under shot noise. The scheme adopts a separable codebook structure, which contributes to simplifying the optimization objective from minimizing the system SER to minimizing the SER of the one-dimensional components of superimposed codewords. Then, the optimization problem is formulated and solved by the differential evolution (DE) algorithm to obtain the optimal multi-user superimposed codewords for different shot noise conditions. Compared with existing works, the proposed codebooks are able to provide significant gains in BER performance, especially for higher shot noise intensities. In addition, the proposed codebook design scheme can be extended to meet the needs of higher overload factors.
The remainder of this paper is organized as follows: Section 2 describes the downlink SCMA-VLC system model. In Section 3, the codebook design structure, optimization criterion, and method under shot noise are elaborated. Section 4 analyzes and discusses the simulation results. The conclusions are summarized in Section 5.
2. System Model
In this paper, we consider a downlink SCMA-VLC system with J users and K orthogonal REs, which is shown in Figure 1. We use to represent the number of REs that are occupied by each user and to represent the number of users that share the same RE. So, we have , i.e., , where is defined as the overload factor.
Figure 1.
The downlink SCMA-VLC system model. SCMA: sparse code multiple access, LED: light-emitting diode, PD: photo-detector, MPA: message passing algorithm.
At the transmitter, each user is provided with a codebook containing M K-dimensional codewords. Each K-dimensional codeword is a sparse vector with non-zero elements in the same dimensions. Meanwhile, the codewords are real and non-negative under the restrictions of the VLC system. The SCMA encoder is defined as a mapping from user bits to K-dimensional codewords , which are assigned to REs with indices of , respectively. The mapping rule for the SCMA encoder of user j can be represented as
where denotes the user j codebook. and denote the binary and real non-negative field, respectively. The encoded codewords of J users are superimposed on the K REs to drive the LED and transmit information. Thus, the original superimposed signal can be denoted as
Figure 2 shows the process of mapping and superimposing for SCMA codewords in the case of , and . In each user codebook, the different codewords are shown in different colors and the unused REs are shown in white. The corresponding relations between the users and REs of SCMA codebook can be represented by a factor graph matrix , where each row represents a RE and each column represents a user. means that user j occupies the RE k for transmission. The factor graph matrix corresponding to Figure 2 is given as
Figure 2.
An illustration of the mapping and superimposing for SCMA codewords.
The output optical signal is transmitted through the VLC channel. When only the line-of-sight propagation is considered, the channel gain between the LED and user j is given by [16]
where A is the active area of the photo-detector (PD) and is the distance between the LED and the user j. is the order of Lambertian emission, where is the semi-angle at half power. and are the angles of incidence and irradiance, respectively. is the gain of the optical filter. is the gain of the optical concentrator, where is the refractive index. is the field of view of the PD.
At the receiver, the optical signal is collected by the PD and converted into an electrical signal. The signal received by user j can be expressed as
where is the current-to-light conversion efficiency of the LED, and R is the responsivity of the PD. denotes the channel state vector. Without loss of generality, all the elements in are assumed to be identical, which can be calculated from Equation (4). describes the thermal noise and describes the shot noise, where . represents a multivariate normal distribution with mean and covariance matrix and is the identity matrix of size K [17,18]. characterizes the intensity of the shot noise compared with the thermal noise, which is determined by the receiver properties. A message passing algorithm (MPA) with low complexity is adopted for the multi-user detection of the received signal [19].
3. SCMA-VLC Codebook Design
3.1. Codebook Structure Design
The codebook for each user can be represented by a matrix, where each column of the matrix represents a K-dimensional codeword and each non-zero row of the matrix represents a one-dimensional codebook on the corresponding RE. As an example, the general codebook of user 1 with and is as follows:
where and are one-dimensional codewords. Each one-dimensional codebook in contains four different codewords.
In this paper, a separable user codebook structure is adopted, where each non-zero element of a K-dimensional codeword corresponds to one user bit, respectively [20]. This leads to a lower number of distinct codewords in each one-dimensional codebook, which reduces the total number of possible values for multi-user superimposed codewords per dimension and increases the MED between superimposed codewords. The codebook of user 1 under a separable structure and with and is as follows:
where each non-zero row of the user codebook contains two distinct codewords, and the same codewords in one row are distinguished in another. Thus, the non-zero rows of the codebook can be expressed as the Cartesian product of sets and .
Based on the separable structure, the SCMA-VLC system codebook is constructed. First, each of the users sharing the same RE is assigned to a one-dimensional-based constellation , which contains different constellation points. Here, we consider a codebook design for and . According to the factor graph matrix and one-dimensional-based constellation , the following structure-indicator matrices satisfying the Latin criterion are constructed [21]. and provide and , respectively.
The non-zero rows of the user codebook can be obtained by the Cartesian product of the non-zero elements in the j-th column of structure indicator matrix . And the position of zero elements in the j-th column of corresponds to the all-zero rows of the user j codebook.
Let denote the K-dimensional superimposed codeword and denote the superimposed codebook on the k-th RE, . According to the structure indicator matrix, can be expressed as
From Equation (10), it is known that the superimposed codebook on any one of the REs contains the same codewords, which is collectively referred to as in the following. contains distinct superimposed codewords, i.e., .
3.2. Optimization Criteria
When only thermal noise is considered, MED is taken as the key metric for SCMA codebook design based on the PEP of superimposed codewords, which is given as
where is the well-known Q-function and denotes the Euclidean norm. and are any two different K-dimensional codewords in the superimposed codebook, . With the impact of shot noise, the VLC system suffers from constellation distortion, where codewords with a high amplitude require higher noise tolerance. The conventional codebook design schemes based on MED are no longer optimal and a better design metric is required.
When is the transmitted superimposed codeword, the conditional PDF of the received signal can be expressed by
where is the covariance matrix corresponding to . Thus, the PEP of superimposed codewords under shot noise is given by [12]
where denotes all noise in the SCMA-VLC system and denotes the determinant of . Based on Equation (13), the R-MED is proposed as a new codebook design metric in [12]. It effectively compensates for the constellation distortion by introducing a penalty proportional to the signal amplitudes. The R-MED between the superimposed codewords and is defined as
where , . Since the closed-form solution of Equation (13) is not available, the optimality of the codebook design based on R-MED cannot be proved and the improvements in codebook performance are limited. In this section, we investigate the expression of SER for an SCMA-VLC system under shot noise in order to provide corresponding optimization criteria for subsequent codebook design.
Since the covariance matrix in Equation (12) is a diagonal matrix, the received signal on each RE is independent. Thus, the conditional PDF of can be expressed as the product of PDFs for its components in each dimension.
The probability of detection error for is written as
where denotes the decision region for codeword in K-dimensional real space, and denotes the decision region for the k-th dimensional component of .
We assume equal probabilities for each transmitted codeword. The SER of the SCMA-VLC system is obtained as
According to the proposed codebook structure, for arbitrary k RE, . Let denote the probability of a correct decision for a one-dimensional superimposed codeword , where is the decision region for . The decision region for each codeword in can be obtained by the numerical calculation of Equation (15), as shown in Figure 3.
Figure 3.
Schematic diagram of the codeword decision region.
Furthermore, the SER can be rewritten as
Let denote the SER of superimposed codewords on arbitrary RE. From Equation (18), the system SER is mainly determined by the SER of one-dimensional superimposed codewords.
3.3. Implementation and Analysis
Based on the analytical expression for the SER of SCMA-VLC system, the optimization objective function is to minimize the SER for one-dimensional superimposed codewords. In order to increase the degree of freedom and improve the performance of codebook designs, one-dimensional superimposed codewords are chosen as the optimization parameter instead of user-based constellations. The formulated optimization problem for codebook design is as follows:
where (C1), (C2) and (C3) are the constraints of problem (P). (C1) ensures the non-negativity of superimposed codewords. (C2) makes sure the superimposed codewords are strictly increasing. (C3) constrains the average power of the proposed codebook. The DE algorithm is an efficient global multi-objective optimization algorithm with good robustness [22]. Thus, the DE algorithm is adopted to solve the optimization problem in this paper.
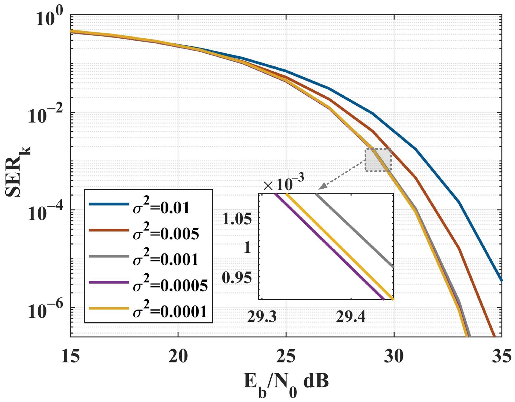
A globally optimal solution can be obtained by iterative searching in multi-dimensional space, given a set of values for and . To find an appropriate under different , an exhaustive search was performed within the region using equal logarithmic intervals of . We chose the superimposed codebook with a good SER performance across the operating SNR. Figure 4 shows the curve of superimposed codebooks under and exhaustive . Considering the SER performance in both high and low SNR regions, the codebook at was selected as the optimal result.
Figure 4.
SER comparison between different choices of under .
The obtained optimal superimposed codebook under and different is shown as follows:
According to Gray mapping, the codewords in correspond to the user data bits multiplexing the same RE. Figure 5 shows a schematic of the above codebooks. In the superimposed codebook , the Euclidean distance between the codeword with the maximum amplitude and its adjacent point is 0.425, while the Euclidean distance is 0.321 in . This shows that a larger value of leads to a larger Euclidean distance between the codeword with high amplitude and its adjacent points. When , all adjacent points in have approximately equal Euclidean distances of 0.239, resulting in the maximum MED. This design scheme can also be applied to optimize the codebook of systems when only thermal noise is considered.
Figure 5.
One-dimensional superimposed codebooks under different .
4. Simulation Results and Discussion
In this section, we carry out theoretical and numerical simulations to assess the BER performance of the proposed SCMA-VLC codebook and compare these with existing results. The uniform-distributed codebook proposed in [11] is the current state of the art and publicly available codebook, improving the BER performance of the VLC system under shot noise. In [12], the proposed design metric based on R-MED effectively mitigates the impact of shot noise. However, the codebook is not available. We generate the codebook for performance comparison using the above codebook structure and R-MED-based optimization criteria. The specific parameters of the simulation for the SCMA-VLC system are depicted in Table 1. Since the simulation focuses on the average BER performances of all users, for simplicity, the distance from the LED to each user’s receiver is identical. To ensure a fair comparison among different codebooks, the average power of the codewords is 1, and the MPA with five iterations is used for multi-user detection. In this paper, the SNR per bit () is used to measure intensity of the system’s thermal noise at the receiver, and .
Table 1.
Simulation parameters [16].
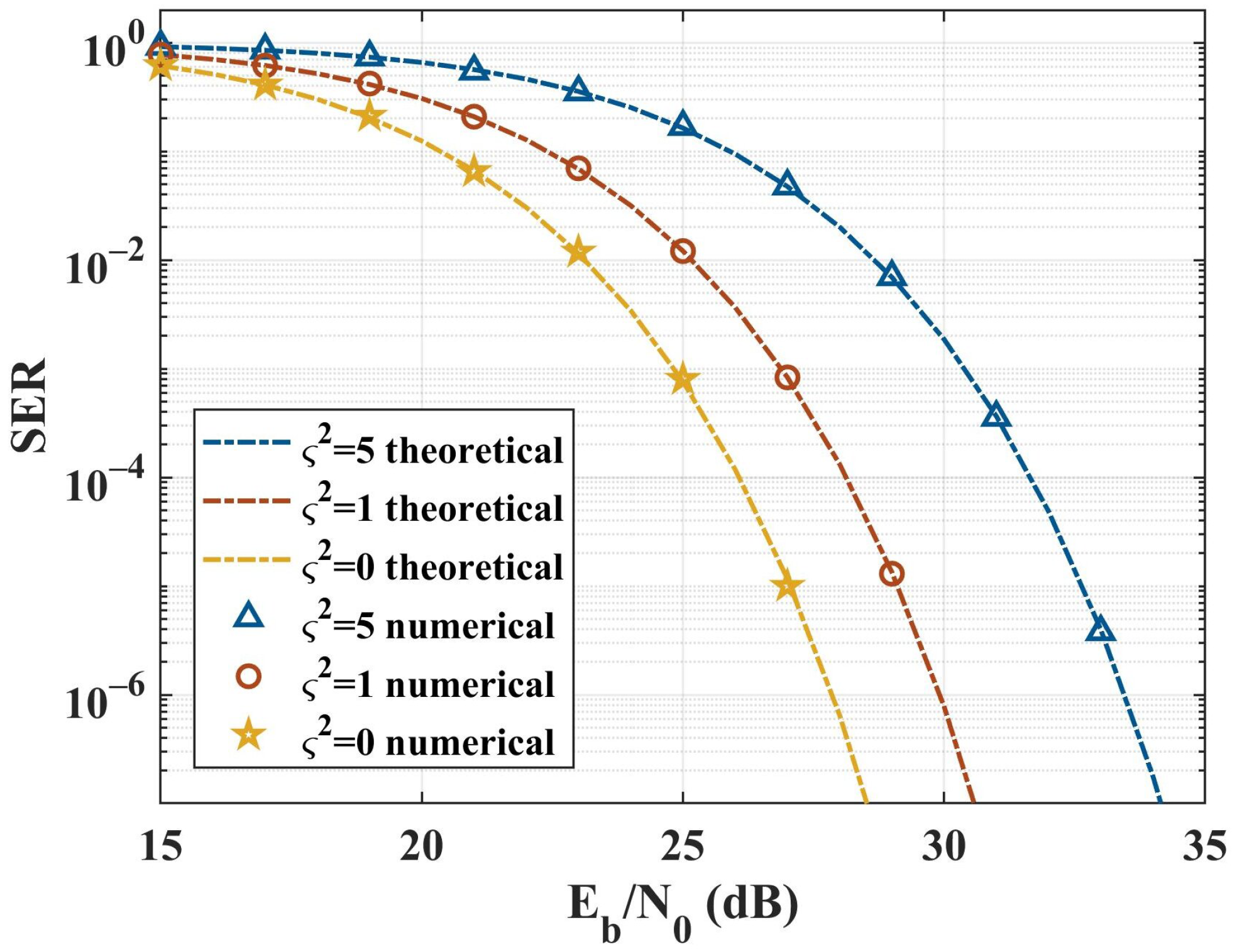
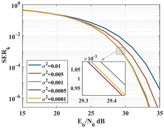
In Figure 6, the SERs under theoretical and numerical simulations of SCMA-VLC system are compared. The theoretical analysis and numerical simulation results match very well. Thus, the correctness of the derived analytical SER expression and the optimality of the codebook design criteria can be verified.
Figure 6.
SER performance comparison between theoretical and numerical simulations for and .
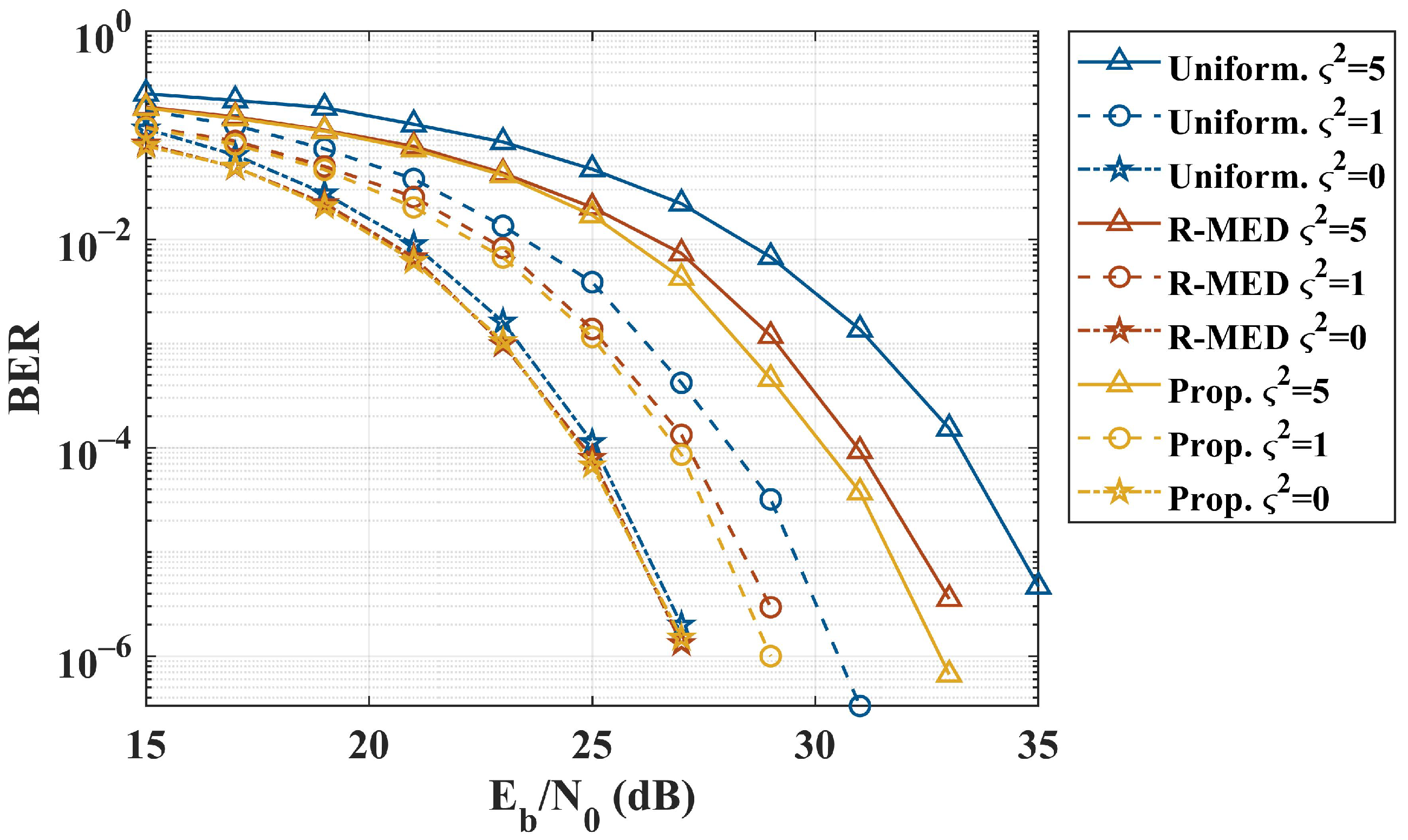
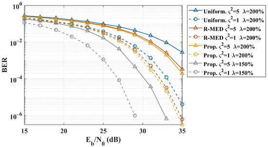
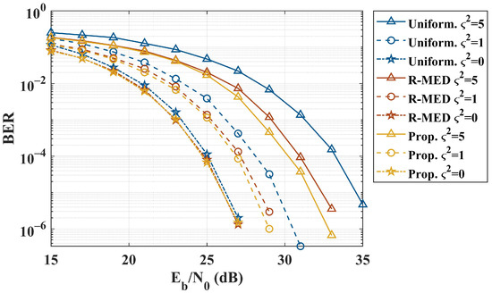
The BER performance, averaged over all users of different codebooks for and , is illustrated in Figure 7. As can be seen, the increase in causes a noticeable degradation in BER performance. In the case of , the proposed codebook achieves a BER of when is 31.6 dB. At the same level of BER, a gain of 2.8 dB can be achieved compared with the uniform-distributed codebook, while a gain of 0.6 dB can be achieved compared with the R-MED based codebook. In the case of , the proposed codebook achieves a BER of when is 27.9 dB. At the same level of BER, gains of 1.5 dB and 0.4 dB in can be achieved compared with the uniform-distributed codebook and R-MED-based codebook, respectively. The results show that the R-MED-based design metric is effective, but not optimal for shot noise, and the proposed codebooks obtain substantial performance improvements in the presence of shot noise, especially in cases of large . When , the three codebooks demonstrate almost identical performances.
Figure 7.
BER performance comparison of different codebooks for and .
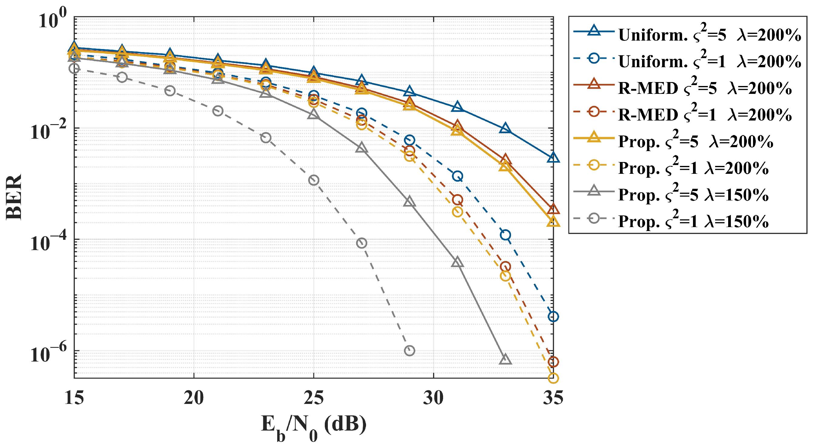
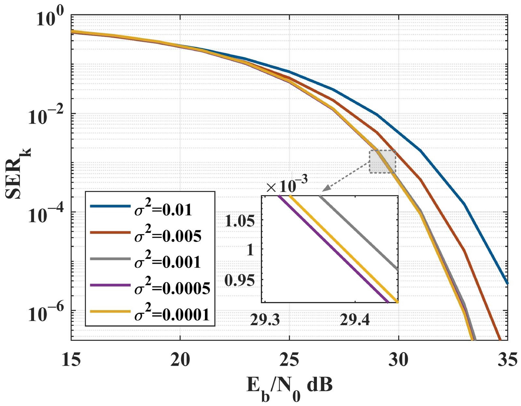
Figure 8 provides the BER performance of all three codebooks with , where the overall curve trend is comparable to that shown in Figure 7. In the case of , the proposed codebook can achieve 2.6 dB and 0.4 dB gains at a BER of compared to those of the uniform-distributed codebook and R-MED-based codebook, respectively. In the case of , the proposed codebook can achieve 1.1 dB and 0.2 dB gains at a BER of . The above results demonstrate that the proposed codebook outperforms other codebooks under shot noise. We found that, in order to achieve a BER of under , the minimum of the proposed codebook is 33.3 dB for , which is a 5.4 dB increase compared to the case of . To achieve a BER of under , the minimum of the proposed codebook for has a 5.1 dB increase compared to the case of . As the overload factor increases, losses in the BER performance are inevitable.
Figure 8.
BER performance comparison for 150% and 200%.
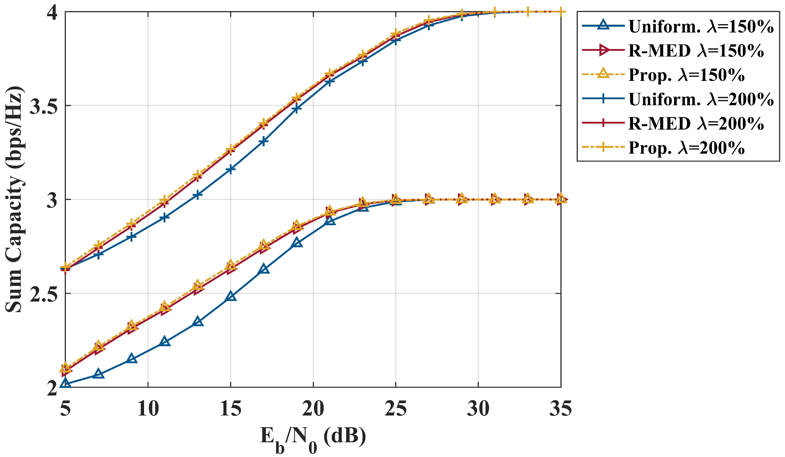
Lastly, we investigated the sum capacity performance of the SCMA-VLC system when . The results are depicted in Figure 9. In the case of , the sum capacity shows a significant increase below dB. When is more than 26 dB, the sum capacity tends to stabilize at its maximum value of 3 bps/Hz. In the case of , the sum capacity tends to stabilize at 4 bps/Hz, when is more than 32 dB. Before it stabilizes, the sum capacity using the proposed codebook performs better than others, as the maximum achievable sum capacity of the system is positively proportional to the overload factor , and a codebook with high can accommodate more users under the same resource conditions.
Figure 9.
The sum capacity of the SCMA-VLC system under .
5. Conclusions
In this paper, we proposed a real superimposed codebook design scheme for downlink SCMA-VLC systems to mitigate the adverse impact of constellation distortion introduced by shot noise. The analytical expression of SER for the SCMA-VLC system was derived under shot noise. It was proven that minimizing the system SER is equivalent to minimizing the SER of superimposed codewords on any RE using the separable codebook design structure. Based on this, we optimized the superimposed codewords using the DE algorithm and obtained a codebook that achieves the minimum system SER. The simulation results verify that the proposed codebooks outperform other existing codebooks in terms of BER and sum capacity performance for SCMA-VLC systems. Specifically, for , the proposed codebook can reduce by 2.8 dB to achieve a BER of compared with existing codebooks, and can provide sum capacity performance improvements for low regions. In future work, design criteria for general codebook structures could be extracted by solving or simplifying PEP closed-form solutions under shot noise, and the performance of SCMA-VLC codebooks could be further improved.
Author Contributions
Conceptualization, J.D. and Z.W.; software, J.D.; validation, J.D., Z.W., J.Y. and Y.J.; writing—original draft preparation, J.D.; writing—review and editing, Z.W., J.Y. and Y.J.; supervision, Z.W., J.Y. and Y.J. All authors have read and agreed to the published version of the manuscript.
Funding
This research was supported by the National Natural Science Foundation of China (grant numbers: 61835003 and 62005194).
Institutional Review Board Statement
Not applicable.
Informed Consent Statement
Not applicable.
Data Availability Statement
Data are contained within the article.
Conflicts of Interest
The authors declare no conflicts of interest.
References
- Karunatilaka, D.; Zafar, F.; Kalavally, V.; Parthiban, R. LED Based Indoor Visible Light Communications: State of the Art. IEEE Commun. Surv. Tutor. 2015, 17, 1649–1678. [Google Scholar] [CrossRef]
- Matheus, L.E.M.; Vieira, A.B.; Vieira, L.F.M.; Vieira, M.A.M.; Gnawali, O. Visible Light Communication: Concepts, Applications and Challenges. IEEE Commun. Surv. Tutor. 2019, 21, 3204–3237. [Google Scholar] [CrossRef]
- Chi, N.; Zhou, Y.; Wei, Y.; Hu, F. Visible Light Communication in 6G: Advances, Challenges, and Prospects. IEEE Veh. Technol. Mag. 2020, 15, 93–102. [Google Scholar] [CrossRef]
- Dai, L.; Wang, B.; Ding, Z.; Wang, Z.; Chen, S.; Hanzo, L. A Survey of Non-Orthogonal Multiple Access for 5G. IEEE Commun. Surv. Tutor. 2018, 20, 2294–2323. [Google Scholar] [CrossRef]
- Nikopour, H.; Baligh, H. Sparse code multiple access. In Proceedings of the 2013 IEEE 24th Annual International Symposium on Personal, Indoor, and Mobile Radio Communications (PIMRC), London, UK, 8–11 September 2013; pp. 332–336. [Google Scholar]
- Taherzadeh, M.; Nikopour, H.; Bayesteh, A.; Baligh, H. SCMA Codebook Design. In Proceedings of the 2014 IEEE 80th Vehicular Technology Conference (VTC2014-Fall), Vancouver, BC, Canada, 14–17 September 2014; pp. 1–5. [Google Scholar]
- Mitra, R.; Sharma, S.; Kaddoum, G.; Bhatia, V. Color-Domain SCMA NOMA for Visible Light Communication. IEEE Commun. Lett. 2021, 25, 200–204. [Google Scholar] [CrossRef]
- Lin, B.; Tang, X.; Zhou, Z.; Lin, C.; Zabih, G. Experimental demonstration of SCMA for visible light communications. Opt. Commun. 2018, 419, 36–40. [Google Scholar] [CrossRef]
- Lin, B.; Tang, X.; Ghassemlooy, Z. A Power Domain Sparse Code Multiple Access Scheme for Visible Light Communications. IEEE Wirel. Commun. Lett. 2020, 9, 61–64. [Google Scholar] [CrossRef]
- Lou, S.; Gong, C.; Gao, Q.; Xu, Z. SCMA with Low Complexity Symmetric Codebook Design for Visible Light Communication. In Proceedings of the 2018 IEEE International Conference on Communications (ICC), Kansas City, MO, USA, 20–24 May 2018; pp. 1–6. [Google Scholar]
- Yu, L.; Qian, J.; Gui, Y.; Liu, Z.; Xiao, P.; Wang, Y.; Wang, Z. Uniform-Distributed Constellation Codebook Design for High-Capacity Visible Light Communications. IEEE Commun. Lett. 2023, 27, 2993–2997. [Google Scholar] [CrossRef]
- Hu, S.; Gao, Q.; Gong, C.; Xu, Z.; Boluda-Ruiz, R.; Qaraqe, K. Energy-efficient Modulation for Visible Light SCMA System with Signal-dependent Noise. In Proceedings of the 2018 11th International Symposium on Communication Systems, Networks & Digital Signal Processing (CSNDSP), Budapest, Hungary, 18–20 July 2018; pp. 1–6. [Google Scholar]
- Gao, Q.; Qaraqe, K.; Serpedin, E. Rotated Color Shift Keying for Visible Light Communications with Signal-Dependent Noise. IEEE Commun. Lett. 2020, 24, 844–848. [Google Scholar] [CrossRef]
- Chaturvedi, S.; Anwar, D.N.; Bohara, V.A.; Srivastava, A.; Liu, Z. Low-Complexity Codebook Design for SCMA-Based Visible Light Communication. IEEE Open J. Commun. Soc. 2022, 3, 106–118. [Google Scholar] [CrossRef]
- Gao, Q.; Hu, S.; Gong, C.; Serpedin, E.; Qaraqe, K.; Xu, Z. Distance-Range-Oriented Constellation Design for VLC-SCMA Downlink With Signal-Dependent Noise. IEEE Commun. Lett. 2019, 23, 434–437. [Google Scholar] [CrossRef]
- Komine, T.; Nakagawa, M. Fundamental Analysis for Visible-Light Communication System Using LED Lights. IEEE Trans. Consum. Electron. 2004, 50, 100–107. [Google Scholar] [CrossRef]
- Moser, S.M. Capacity Results of an Optical Intensity Channel With Input-Dependent Gaussian Noise. IEEE Trans. Inf. Theory 2012, 58, 207–223. [Google Scholar] [CrossRef]
- Yaseen, M.; Alsmadi, M.; Canbilen, A.E.; Ikki, S.S. Visible Light Communication With Input-Dependent Noise: Channel Estimation, Optimal Receiver Design and Performance Analysis. J. Light. Technol. 2021, 39, 7406–7416. [Google Scholar] [CrossRef]
- Hoshyar, R.; Wathan, F.P.; Canbilen, A.E.; Tafazolli, R. Novel Low-Density Signature for Synchronous CDMA Systems Over AWGN Channel. IEEE Trans. Signal Process. 2008, 56, 1616–1626. [Google Scholar] [CrossRef]
- Zheng, Y.; Xin, J.; Wang, H.; Zhang, S.; Qiao, Y. A Low-Complexity Codebook Design Scheme for SCMA Systems Over an AWGN Channel. IEEE Trans. Veh. Technol. 2022, 71, 8675–8688. [Google Scholar] [CrossRef]
- Zhang, S.; Xiao, K.; Xiao, B.; Chen, Z.; Xia, B.; Chen, D.; Ma, S. A capacity-based codebook design method for sparse code multiple access systems. In Proceedings of the 2016 8th International Conference on Wireless Communications & Signal Processing (WCSP), Yangzhou, China, 13–15 October 2016; pp. 1–5. [Google Scholar]
- Price, K.; Storn, R.; Lampinen, J. Differential Evolution: A Practical Approach to Global Optimization; Springer: Berlin/Heidelberg, Germany, 2005. [Google Scholar]
Disclaimer/Publisher’s Note: The statements, opinions and data contained in all publications are solely those of the individual author(s) and contributor(s) and not of MDPI and/or the editor(s). MDPI and/or the editor(s) disclaim responsibility for any injury to people or property resulting from any ideas, methods, instructions or products referred to in the content. |
© 2024 by the authors. Licensee MDPI, Basel, Switzerland. This article is an open access article distributed under the terms and conditions of the Creative Commons Attribution (CC BY) license (https://creativecommons.org/licenses/by/4.0/).








