Material Structure Design of High-Gain and Low-Noise Multi-Gain-Stage Avalanche Photodiode
Abstract
1. Introduction
2. Theory and Device Structure
2.1. DSMT
2.2. Device Structure
3. Results and Discussion
3.1. Dropping Layer
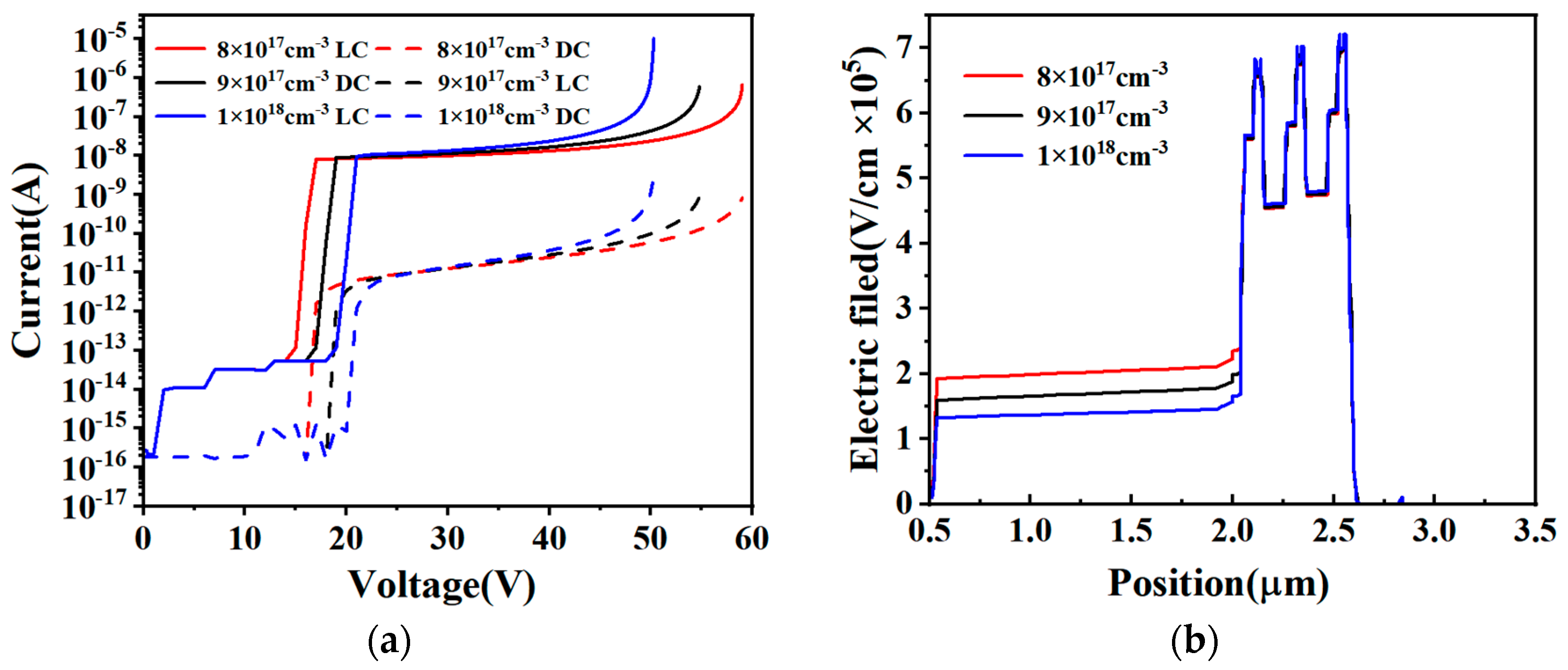
3.1.1. Three-Gain-Stage Structure
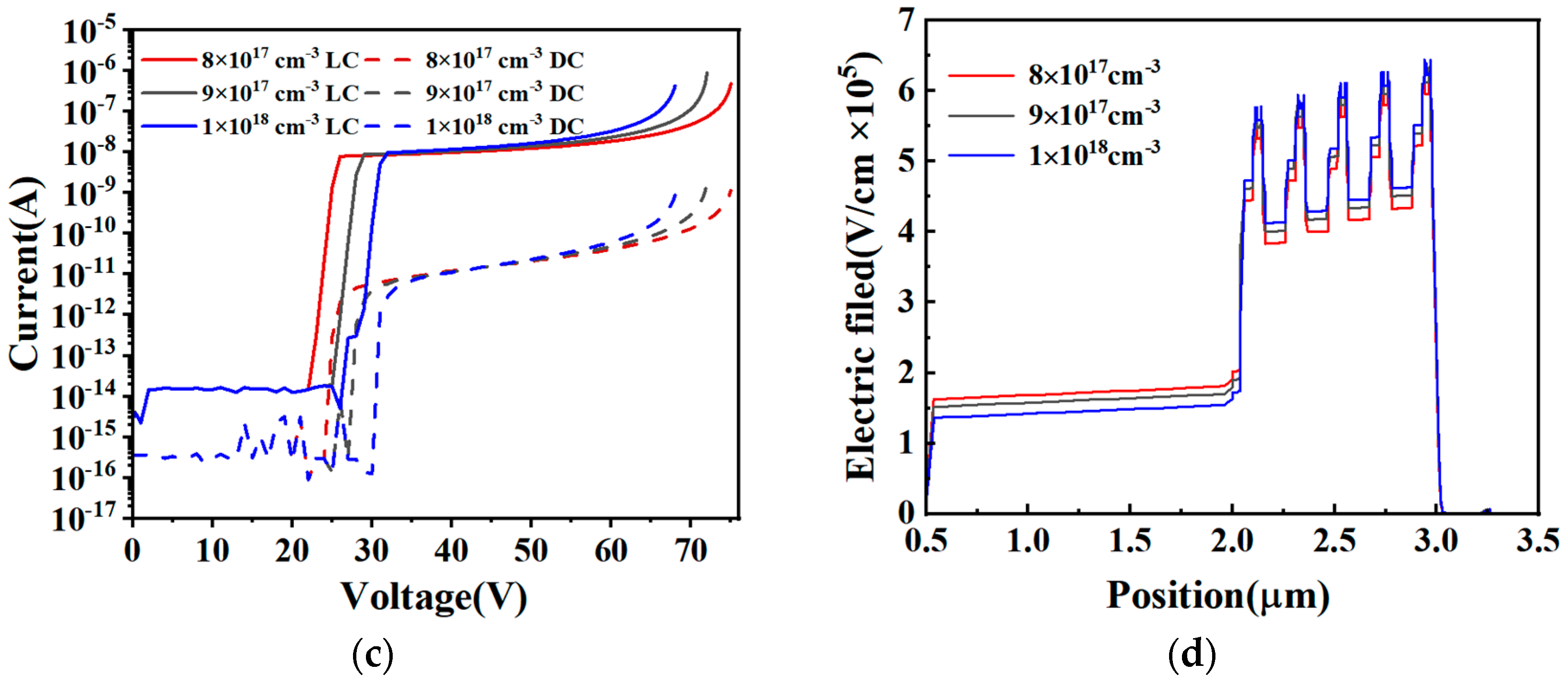
3.1.2. Five-Gain-Stage Structure
3.1.3. Ten-Gain-Stage Structure
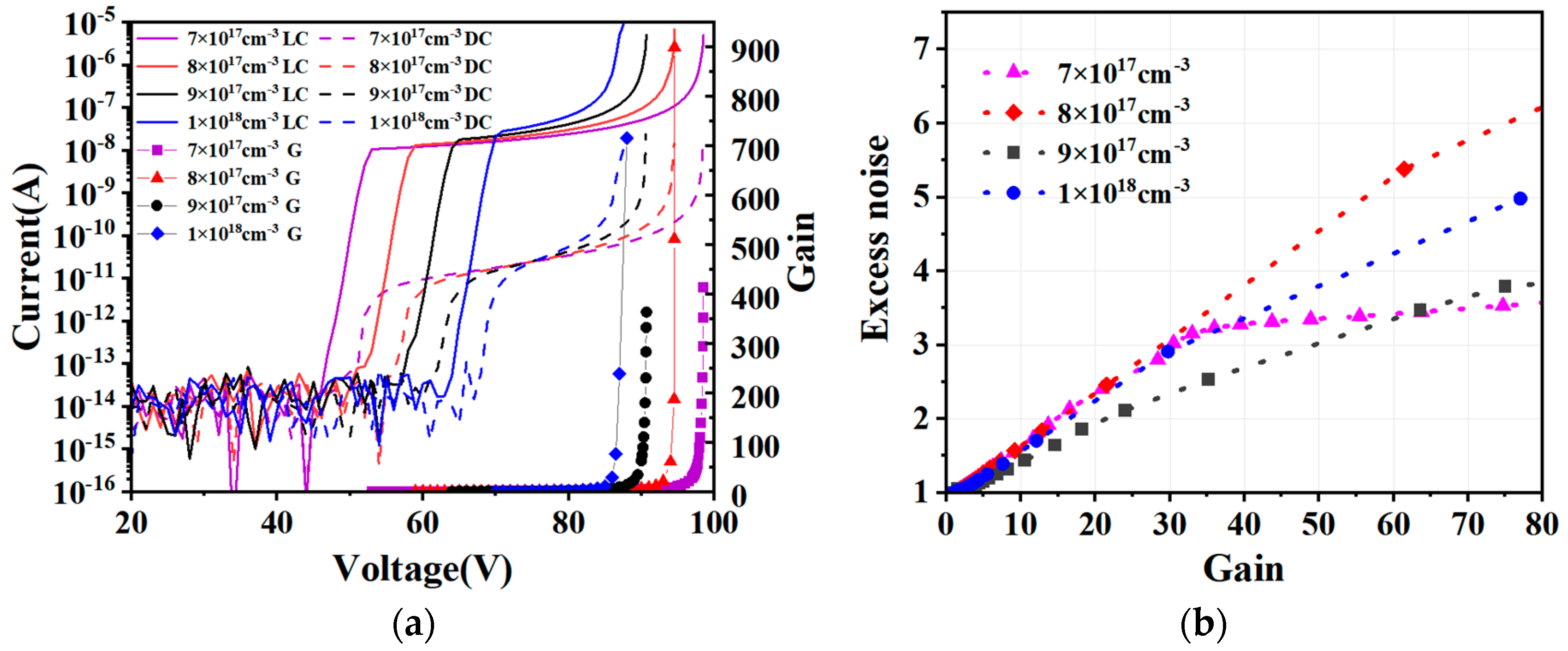
3.1.4. Comparison of Structures Under Different Gain Levels
3.2. Charge Layer
3.3. Analysis of Electric Field and Noise Characteristics of Different Gain Stages
4. Conclusions
Author Contributions
Funding
Institutional Review Board Statement
Informed Consent Statement
Data Availability Statement
Conflicts of Interest
References
- Cao, S.; Zhao, Y.; Feng, S.; Zuo, Y.; Zhang, L.; Cheng, B.; Li, C. Theoretical analysis of InGaAs/InAlAs single-photon avalanche photodiodes. Nanoscale Res. Lett. 2019, 14, 3. [Google Scholar] [CrossRef] [PubMed]
- Zeng, Q.Y.; Wang, W.J.; Hu, W.D.; Li, N.; Lu, W. Numerical analysis of multiplication layer on dark current for InGaAs/InP single photon avalanche diodes. Opt. Quantum Electron. 2014, 46, 1203–1208. [Google Scholar] [CrossRef]
- Cova, S.; Ghioni, M.; Lacaita, A.; Samori, C.; Zappa, F. Avalanche photodiodes and quenching circuits for single-photon detection. Appl. Opt. 1996, 35, 1956–1976. [Google Scholar] [CrossRef] [PubMed]
- Hadfield, R.H. Single-photon detectors for optical quantum information applications. Nat. Photonics 2009, 3, 696–705. [Google Scholar] [CrossRef]
- Zhang, J.; Itzler, M.A.; Zbinden, H.; Pan, J.-W. Advances in InGaAs/InP single-photon detector systems for quantum communication. Light. Sci. Appl. 2015, 4, e286. [Google Scholar] [CrossRef]
- Li, X.; Hao, X.; Song, H.Z.; Xie, X.M.; Zhao, Y.L.; Shi, Y.L.; Yuan, L.; Pan, X.; Dai, Q.; Qin, W.Z.; et al. Multi-gain stage avalanche photodiode based on InGaAs/InAlAs superlattice. In Proceedings of the Sixth Conference on Frontiers in Optical Imaging and Technology: Novel Detector Technologies, Nanjing, China, 30 April 2024; SPIE: Bellingham, WA, USA, 2024; Volume 13154, pp. 109–119. [Google Scholar]
- Sun, W.; Zheng, X.; Lu, Z.; Campbell, J.C. Monte carlo simulation of InAlAs/InAlGaAs tandem avalanche photodiodes. IEEE J. Quantum Electron. 2012, 48, 528–532. [Google Scholar] [CrossRef]
- Liu, G.; Chen, W.; Liu, L.; Jin, P.; Tian, Y.; Yang, J. A theory study of the multiplication characteristics of InP/InGaAs avalanche photodiodes with double multiplication layers and double charge layers. Opt. Commun. 2016, 374, 114–118. [Google Scholar] [CrossRef]
- Saleh, B.; Hayat, M.; Teich, M. Effect of dead space on the excess noise factor and time response of avalanche photodiodes. IEEE Trans. Electron Devices 1990, 37, 1976–1984. [Google Scholar] [CrossRef]
- Clark, W.R.; Vaccaro, K.; Waters, W.D. InAlAs-InGaAs based avalanche photodiodes for next generation eye-safe optical receivers. In Proceedings of the Photonics North 2007, Ottawa, ON, Canada, 30 October 2007; SPIE: Bellingham, WA, USA, 2007; Volume 6796, pp. 770–784. [Google Scholar]
- Bai, X.; Yuan, P.; McDonald, P.; Boisvert, J.; Chang, J.; Sudharsanan, R.; Krainak, M.; Yang, G.; Sun, X.; Lu, W.; et al. Development of low excess noise SWIR APDs. In Proceedings of the Infrared Technology and Applications XXXVIII, Baltimore, MD, USA, 31 May 2012; SPIE: Bellingham, WA, USA, 2012; Volume 8353, pp. 878–884. [Google Scholar]
- Ramirez, D.A.; Hayat, M.M.; Huntington, A.S.; Williams, G. Theory for spatial distribution of impact-ionization events in avalanche photodiodes. In Proceedings of the IEEE Photonics Conference 2012, Burlingame, CA, USA, 23–27 September 2012; IEEE: Piscataway, NJ, USA; Volume 2012, pp. 100–101. [Google Scholar]
- Williams, G.M.; Compton, M.; Ramirez, D.A.; Hayat, M.M.; Huntington, A.S. Multi-gain-stage InGaAs avalanche photodiode with enhanced gain and reduced excess noise. IEEE J. Electron Devices Soc. 2013, 1, 54–65. [Google Scholar] [CrossRef]
- Williams, G.M.; Ramirez, D.A.; Hayat, M.M.; Huntington, A.S. Time resolved gain and excess noise properties of InGaAs/InAlAs avalanche photodiodes with cascaded discrete gain layer multiplication regions. J. Appl. Phys. 2013, 113, 093705. [Google Scholar] [CrossRef]
- Dai, M.; Li, X.; Shi, Z.; Dai, Q.; Song, H.; Tang, Z.; Pu, J. Gain and noise properties of multi-gain-stage superlattice InGaAs avalanche photodiode. Infrared Laser Eng. 2016, 45, 520009. [Google Scholar]
- Tang, Y.; Chen, W.; Huang, X.; Li, B.; Chai, S.; Zhao, K.; Zhang, C.; Gao, X. The Design of multi-gain-stage avalanche photodiodes with low excess noise. J. Infrared Millim. Waves 2019, 38, 439–444. [Google Scholar]
- Sun, T.; Wang, Z.H.; Liu, G.; Yang, X.Y.; Du, M.Q.; Zhou, F.; Lu, P.F. Gain and excess noise properties of 3-gain-stage InGaAs/InAlAs avalanche photodetector. Phys. B Condens. Matter 2024, 683, 415866. [Google Scholar] [CrossRef]
- Hayat, M.M.; Saleh BE, A.; Teich, M.C. Effect of dead space on gain and noise of double-carrier-multiplication avalanche photodiodes. IEEE Trans. Electron Devices 1992, 39, 546–552. [Google Scholar] [CrossRef]
- Tsang, W.T. Semiconductor Photodetector; Electronic Industry Press: Beijing, China; Tsinghua University Press: Beijing, China, 1992; pp. 1–332. [Google Scholar]
- Cao, S.; Zhao, Y.; Rehman, S.U.; Feng, S.; Zuo, Y.; Li, C.; Zhang, L.; Cheng, B.; Wang, Q. Theoretical Studies on InGaAs/InAlAs SAGCM Avalanche Photodiodes. Nanoscale Res. Lett. 2018, 13, 158. [Google Scholar] [CrossRef] [PubMed]








| Materials | Eie [eV] | Eih [eV] |
|---|---|---|
| In0.53Ga0.47As | 1.20 | 1.0 |
| In0.52Al0.48As | 2.15 | 2.30 |
| In0.523 Al0.336Ga0.141As | 1.87 | 1.91 |
Disclaimer/Publisher’s Note: The statements, opinions and data contained in all publications are solely those of the individual author(s) and contributor(s) and not of MDPI and/or the editor(s). MDPI and/or the editor(s) disclaim responsibility for any injury to people or property resulting from any ideas, methods, instructions or products referred to in the content. |
© 2024 by the authors. Licensee MDPI, Basel, Switzerland. This article is an open access article distributed under the terms and conditions of the Creative Commons Attribution (CC BY) license (https://creativecommons.org/licenses/by/4.0/).
Share and Cite
Han, L.; Du, M.; Guan, X.; Sun, T.; Liu, G.; Lu, P. Material Structure Design of High-Gain and Low-Noise Multi-Gain-Stage Avalanche Photodiode. Photonics 2024, 11, 1202. https://doi.org/10.3390/photonics11121202
Han L, Du M, Guan X, Sun T, Liu G, Lu P. Material Structure Design of High-Gain and Low-Noise Multi-Gain-Stage Avalanche Photodiode. Photonics. 2024; 11(12):1202. https://doi.org/10.3390/photonics11121202
Chicago/Turabian StyleHan, Lihong, Meiqin Du, Xiaoning Guan, Tong Sun, Gang Liu, and Pengfei Lu. 2024. "Material Structure Design of High-Gain and Low-Noise Multi-Gain-Stage Avalanche Photodiode" Photonics 11, no. 12: 1202. https://doi.org/10.3390/photonics11121202
APA StyleHan, L., Du, M., Guan, X., Sun, T., Liu, G., & Lu, P. (2024). Material Structure Design of High-Gain and Low-Noise Multi-Gain-Stage Avalanche Photodiode. Photonics, 11(12), 1202. https://doi.org/10.3390/photonics11121202

