Spin–Phonon Relaxation Dynamics from a Conical Intersection of Trapped Rydberg Ions
Abstract
1. Introduction
2. Model and Coherent Dynamics
2.1. Hamiltonian
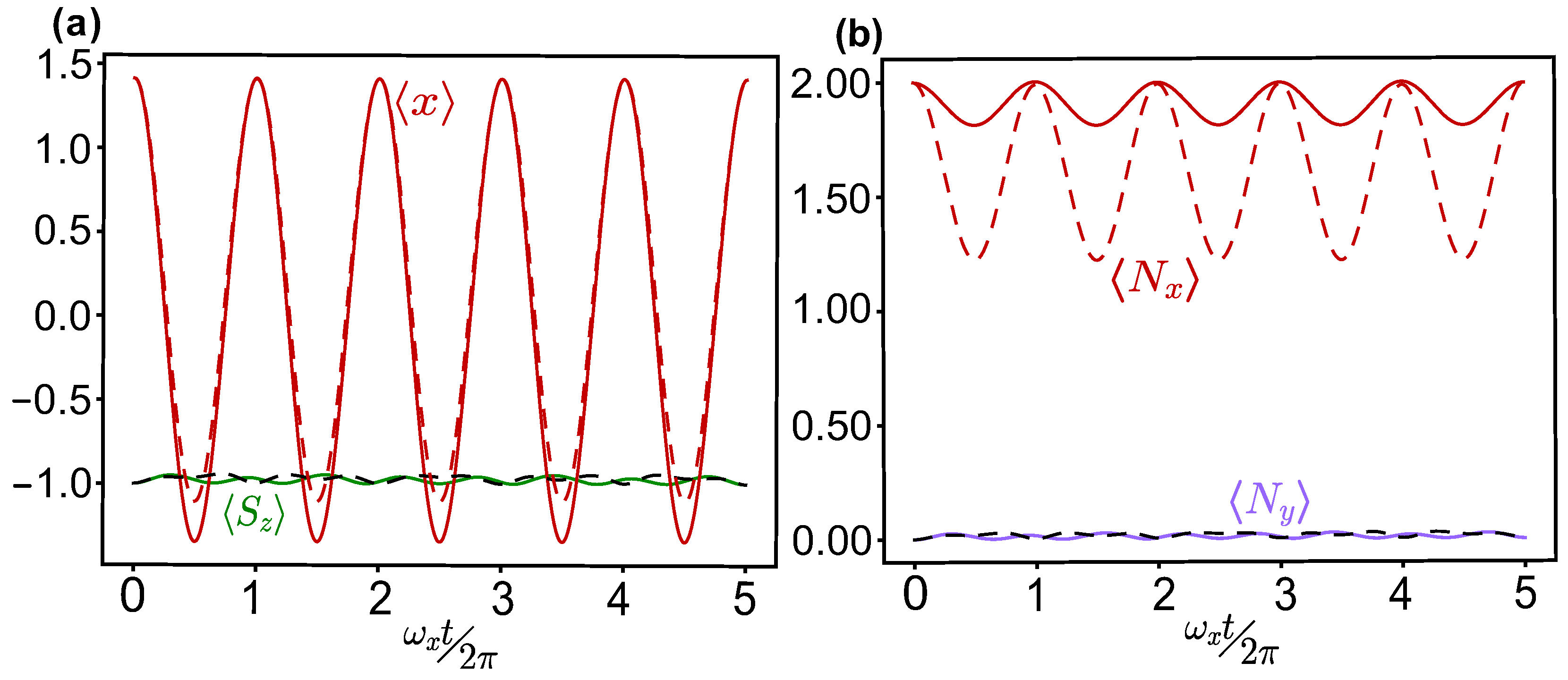
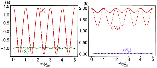
2.2. Quantum Vibronic Dynamics
3. Dissipative Vibronic Dynamics
3.1. Rydberg Lifetime and Master Equation
3.2. Dynamics of the Collective Spin and Phonons
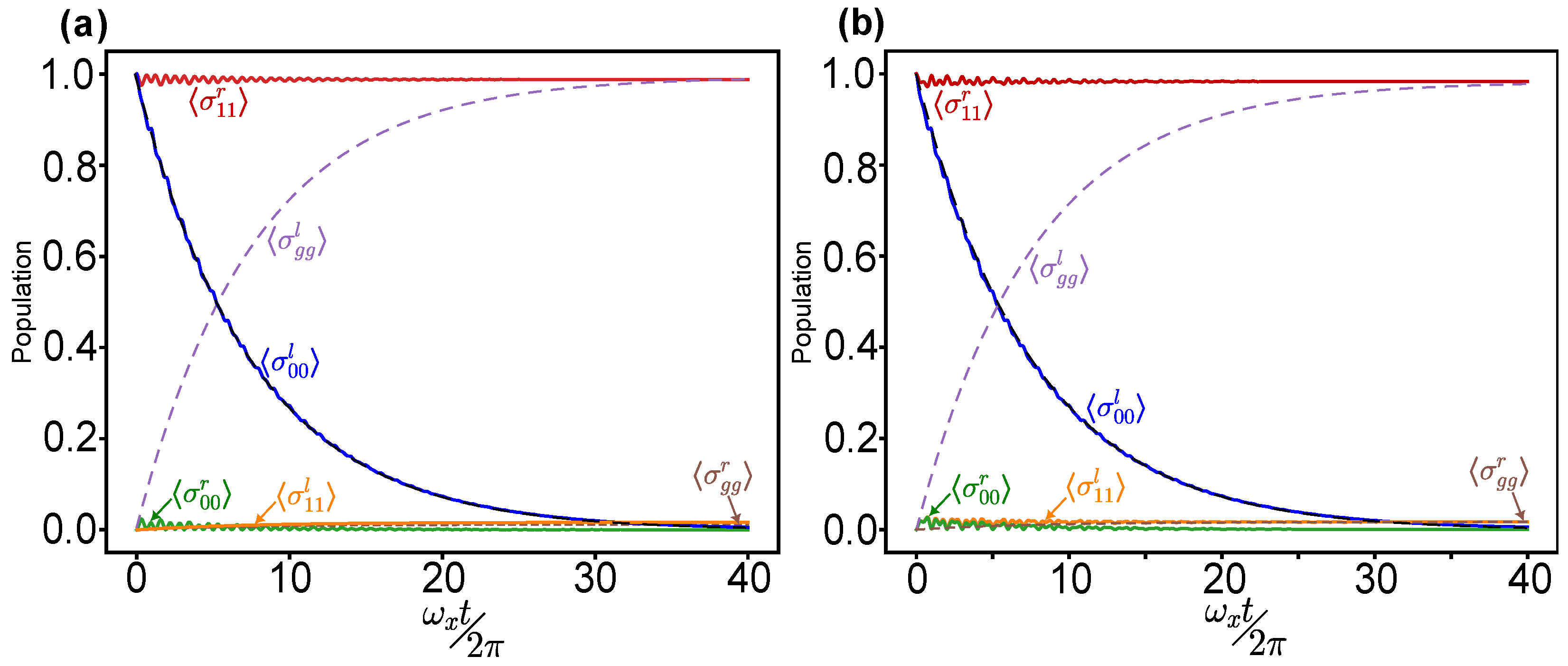
3.3. Dynamics of Individual Rydberg Ions
4. Summary and Conclusions
Author Contributions
Funding
Institutional Review Board Statement
Informed Consent Statement
Data Availability Statement
Conflicts of Interest
Appendix A. Parity Invariance of the Physical Hamiltonian
Appendix B. Mean Field Equations
References
- Domcke, W.; Yarkony, D.; Köppel, H. Conical Intersections: Electronic Structure, Dynamics and Spectroscopy; World Scientific: Singapore, 2004. [Google Scholar] [CrossRef]
- Malhado, J.P.; Bearpark, M.J.; Hynes, J.T. Non-adiabatic dynamics close to conical intersections and the surface hopping perspective. Front. Chem. 2014, 2, 97. [Google Scholar] [CrossRef] [PubMed]
- Yarkony, D.R. Diabolical Conical Intersections. Rev. Mod. Phys. 1996, 68, 985–1013. [Google Scholar] [CrossRef]
- Juanes-Marcos, J.C.; Althorpe, S.C.; Wrede, E. Theoretical Study of Geometric Phase Effects in the Hydrogen-Exchange Reaction. Science 2005, 309, 1227–1230. [Google Scholar] [CrossRef] [PubMed]
- Paterson, M.J.; Bearpark, M.J.; Robb, M.A.; Blancafort, L.; Worth, G.A. Conical Intersections: A Perspective on the Computation of Spectroscopic Jahn–Teller Parameters and the Degenerate ‘Intersection Space’. Phys. Chem. Chem. Phys. 2005, 7, 2100–2115. [Google Scholar] [CrossRef] [PubMed]
- Hamm, P.; Stock, G. Vibrational Conical Intersections as a Mechanism of Ultrafast Vibrational Relaxation. Phys. Rev. Lett. 2012, 109, 173201. [Google Scholar] [CrossRef] [PubMed]
- Hause, M.L.; Heidi Yoon, Y.; Case, A.S.; Crim, F.F. Dynamics at Conical Intersections: The Influence of O–H Stretching Vibrations on the Photodissociation of Phenol. J. Chem. Phys. 2008, 128, 104307. [Google Scholar] [CrossRef]
- Ismail, N.; Blancafort, L.; Olivucci, M.; Kohler, B.; Robb, M.A. Ultrafast decay of electronically excited singlet cytosine via a π, π* to no, π* state switch. J. Am. Chem. Soc. 2002, 124, 6818–6819. [Google Scholar] [CrossRef]
- Domcke, W.; Yarkony, D.R. Role of conical intersections in molecular spectroscopy and photoinduced chemical dynamics. Ann. Rev. Phys. Chem. 2012, 63, 325–352. [Google Scholar] [CrossRef]
- Ryabinkin, I.G.; Joubert-Doriol, L.; Izmaylov, A.F. Geometric phase effects in nonadiabatic dynamics near conical intersections. Acc. Chem. Res. 2017, 50, 1785–1793. [Google Scholar] [CrossRef]
- Whitlow, J.; Jia, Z.; Wang, Y.; Fang, C.; Kim, J.; Brown, K.R. Quantum simulation of conical intersections using trapped ions. Nat. Chem. 2023, 15, 1509–1514. [Google Scholar] [CrossRef]
- Valahu, C.H.; Olaya-Agudelo, V.C.; MacDonell, R.J.; Navickas, T.; Rao, A.D.; Millican, M.J.; Pérez-Sánchez, J.B.; Yuen-Zhou, J.; Biercuk, M.J.; Hempel, C.; et al. Direct observation of geometric-phase interference in dynamics around a conical intersection. Nat. Chem. 2023, 15, 1503–1508. [Google Scholar] [CrossRef] [PubMed]
- Wallis, A.O.G.; Gardiner, S.A.; Hutson, J.M. Conical Intersections in Laboratory Coordinates with Ultracold Molecules. Phys. Rev. Lett. 2009, 103, 083201. [Google Scholar] [CrossRef] [PubMed]
- Wüster, S.; Eisfeld, A.; Rost, J.M. Conical Intersections in an Ultracold Gas. Phys. Rev. Lett. 2011, 106, 153002. [Google Scholar] [CrossRef] [PubMed]
- Chen, L.; Gelin, M.F.; Zhao, Y.; Domcke, W. Mapping of wave packet dynamics at conical intersections by time-and frequency-resolved fluorescence spectroscopy: A computational study. J. Phys. Chem. Lett. 2019, 10, 5873–5880. [Google Scholar] [CrossRef] [PubMed]
- Nelson, T.R.; White, A.J.; Bjorgaard, J.A.; Sifain, A.E.; Zhang, Y.; Nebgen, B.; Fernandez-Alberti, S.; Mozyrsky, D.; Roitberg, A.E.; Tretiak, S. Non-adiabatic excited-state molecular dynamics: Theory and applications for modeling photophysics in extended molecular materials. Chem. Rev. 2020, 120, 2215–2287. [Google Scholar] [CrossRef] [PubMed]
- Barbatti, M.; Aquino, A.J.; Szymczak, J.J.; Nachtigallová, D.; Hobza, P.; Lischka, H. Relaxation mechanisms of UV-photoexcited DNA and RNA nucleobases. Proc. Natl. Acad. Sci. USA 2010, 107, 21453–21458. [Google Scholar] [CrossRef] [PubMed]
- Polli, D.; Altoè, P.; Weingart, O.; Spillane, K.M.; Manzoni, C.; Brida, D.; Tomasello, G.; Orlandi, G.; Kukura, P.; Mathies, R.A.; et al. Conical intersection dynamics of the primary photoisomerization event in vision. Nature 2010, 467, 440–443. [Google Scholar] [CrossRef]
- Hammarström, L.; Styring, S. Coupled electron transfers in artificial photosynthesis. Phil. Trans. R. Soc. B Bio. Sci. 2008, 363, 1283–1291. [Google Scholar] [CrossRef]
- McFarland, B.; Farrell, J.; Miyabe, S.; Tarantelli, F.; Aguilar, A.; Berrah, N.; Bostedt, C.; Bozek, J.; Bucksbaum, P.; Castagna, J.; et al. Ultrafast X-ray Auger probing of photoexcited molecular dynamics. Nat. Comm. 2014, 5, 4235. [Google Scholar] [CrossRef]
- Young, L.; Ueda, K.; Gühr, M.; Bucksbaum, P.H.; Simon, M.; Mukamel, S.; Rohringer, N.; Prince, K.C.; Masciovecchio, C.; Meyer, M.; et al. Roadmap of ultrafast x-ray atomic and molecular physics. J. Phys. B 2018, 51, 032003. [Google Scholar] [CrossRef]
- Adachi, S.; Schatteburg, T.; Humeniuk, A.; Mitrić, R.; Suzuki, T. Probing ultrafast dynamics during and after passing through conical intersections. Phys. Chem. Chem. Phys. 2019, 21, 13902–13905. [Google Scholar] [CrossRef] [PubMed]
- Kowalewski, M.; Mukamel, S. Stimulated Raman signals at conical intersections: Ab initio surface hopping simulation protocol with direct propagation of the nuclear wave function. J. Chem. Phys. 2015, 143, 044117. [Google Scholar] [CrossRef] [PubMed]
- Kitney-Hayes, K.A.; Ferro, A.A.; Tiwari, V.; Jonas, D.M. Two-dimensional Fourier transform electronic spectroscopy at a conical intersection. J. Chem. Phys. 2014, 140, 124312. [Google Scholar] [CrossRef] [PubMed]
- MacDonell, R.J.; Dickerson, C.E.; Birch, C.J.T.; Kumar, A.; Edmunds, C.L.; Biercuk, M.J.; Hempel, C.; Kassal, I. Analog Quantum Simulation of Chemical Dynamics. Chem. Sci. 2021, 12, 9794–9805. [Google Scholar] [CrossRef] [PubMed]
- Wang, C.S.; Frattini, N.E.; Chapman, B.J.; Puri, S.; Girvin, S.M.; Devoret, M.H.; Schoelkopf, R.J. Observation of Wave-Packet Branching through an Engineered Conical Intersection. Phys. Rev. X 2023, 13, 011008. [Google Scholar] [CrossRef]
- Brown, C.D.; Chang, S.W.; Schwarz, M.N.; Leung, T.H.; Kozii, V.; Avdoshkin, A.; Moore, J.E.; Stamper-Kurn, D. Direct geometric probe of singularities in band structure. Science 2022, 377, 1319–1322. [Google Scholar] [CrossRef] [PubMed]
- Ivanov, P.A.; Porras, D.; Ivanov, S.S.; Schmidt-Kaler, F. Simulation of the Jahn–Teller–Dicke Magnetic Structural Phase Transition with Trapped Ions. J. Phys. B At. Mol. Opt. Phys. 2013, 46, 104003. [Google Scholar] [CrossRef]
- Porras, D.; Ivanov, P.A.; Schmidt-Kaler, F. Quantum Simulation of the Cooperative Jahn-Teller Transition in 1D Ion Crystals. Phys. Rev. Lett. 2012, 108, 235701. [Google Scholar] [CrossRef] [PubMed]
- Gambetta, F.M.; Zhang, C.; Hennrich, M.; Lesanovsky, I.; Li, W. Exploring the Many-Body Dynamics Near a Conical Intersection with Trapped Rydberg Ions. Phys. Rev. Lett. 2021, 126, 233404. [Google Scholar] [CrossRef]
- Blatt, R.; Roos, C.F. Quantum simulations with trapped ions. Nat. Phys. 2012, 8, 277. [Google Scholar] [CrossRef]
- Wang, G.X.; Wu, Y.K.; Yao, R.; Lian, W.Q.; Cheng, Z.J.; Xu, Y.L.; Zhang, C.; Jiang, Y.; Xu, Y.Z.; Qi, B.X.; et al. Simulating the spin-boson model with a controllable reservoir in an ion trap. Phys. Rev. A 2024, 109, 062402. [Google Scholar] [CrossRef]
- Li, W.; Lesanovsky, I. Electronically Excited Cold Ion Crystals. Phys. Rev. Lett. 2012, 108, 023003. [Google Scholar] [CrossRef] [PubMed]
- Higgins, G.; Pokorny, F.; Zhang, C.; Hennrich, M. Highly Polarizable Rydberg Ion in a Paul Trap. Phys. Rev. Lett. 2019, 123, 153602. [Google Scholar] [CrossRef] [PubMed]
- Pawlak, M.; Sadeghpour, H.R. Rydberg Spectrum of a Single Trapped Ca+ Ion: A Floquet Analysis. Phys. Rev. A 2020, 101, 052510. [Google Scholar] [CrossRef]
- Niederländer, M.; Vogel, J.; Schulze-Makuch, A.; Gély, B.; Mokhberi, A.; Schmidt-Kaler, F. Rydberg Ions in Coherent Motional States: A New Method for Determining the Polarizability of Rydberg Ions. New J. Phys. 2023, 25, 033020. [Google Scholar] [CrossRef]
- Zhang, C.; Pokorny, F.; Li, W.; Higgins, G.; Pöschl, A.; Lesanovsky, I.; Hennrich, M. Submicrosecond entangling gate between trapped ions via Rydberg interaction. Nature 2020, 580, 345–349. [Google Scholar] [CrossRef] [PubMed]
- Müller, M.; Liang, L.; Lesanovsky, I.; Zoller, P. Trapped Rydberg Ions: From Spin Chains to Fast Quantum Gates. New J. Phys. 2008, 10, 093009. [Google Scholar] [CrossRef]
- Wilkinson, J.W.P.; Li, W.; Lesanovsky, I. Spectral Signatures of Vibronic Coupling in Trapped Cold Ionic Rydberg Systems. Phys. Rev. Lett. 2024, 132, 223401. [Google Scholar] [CrossRef]
- Higgins, G.; Li, W.; Pokorny, F.; Zhang, C.; Kress, F.; Maier, C.; Haag, J.; Bodart, Q.; Lesanovsky, I.; Hennrich, M. Single Strontium Rydberg Ion Confined in a Paul Trap. Phys. Rev. X 2017, 7, 021038. [Google Scholar] [CrossRef]
- Gambetta, F.M.; Lesanovsky, I.; Li, W. Exploring Nonequilibrium Phases of the Generalized Dicke Model with a Trapped Rydberg-ion Quantum Simulator. Phys. Rev. A 2019, 100, 022513. [Google Scholar] [CrossRef]
- Martins, W.S.; Carollo, F.; Li, W.; Brandner, K.; Lesanovsky, I. Rydberg-Ion Flywheel for Quantum Work Storage. Phys. Rev. A 2023, 108, L050201. [Google Scholar] [CrossRef]
- Nath, R.; Dalmonte, M.; Glaetzle, A.W.; Zoller, P.; Schmidt-Kaler, F.; Gerritsma, R. Hexagonal Plaquette Spin–Spin Interactions and Quantum Magnetism in a Two-Dimensional Ion Crystal. New J. Phys. 2015, 17, 065018. [Google Scholar] [CrossRef]
- Lourenço, J.A.S.; Higgins, G.; Zhang, C.; Hennrich, M.; Macrì, T. Non-Hermitian Dynamics and -Symmetry Breaking in Interacting Mesoscopic Rydberg Platforms. Phys. Rev. A 2022, 106, 023309. [Google Scholar] [CrossRef]
- Hamlyn, T.J.; Zhang, C.; Lesanovsky, I.; Li, W. Tripartite Quantum Rabi Model with Trapped Rydberg Ions. Phys. Rev. Res. 2024, 6, 023223. [Google Scholar] [CrossRef]
- Leibfried, D.; Blatt, R.; Monroe, C.; Wineland, D. Quantum Dynamics of Single Trapped Ions. Rev. Mod. Phys. 2003, 75, 281. [Google Scholar] [CrossRef]
- Häffner, H.; Roos, C.; Blatt, R. Quantum Computing with Trapped Ions. Phys. Rep. 2008, 469, 155–203. [Google Scholar] [CrossRef]
- Higgins, G.; Pokorny, F.; Zhang, C.; Bodart, Q.; Hennrich, M. Coherent Control of a Single Trapped Rydberg Ion. Phys. Rev. Lett. 2017, 119, 220501. [Google Scholar] [CrossRef]
- Gambetta, F.M.; Zhang, C.; Hennrich, M.; Lesanovsky, I.; Li, W. Long-Range Multibody Interactions and Three-Body Antiblockade in a Trapped Rydberg Ion Chain. Phys. Rev. Lett. 2020, 125, 133602. [Google Scholar] [CrossRef]
- Mokhberi, A.; Hennrich, M.; Schmidt-Kaler, F. Trapped Rydberg ions: A new platform for quantum information processing. In Advances in Atomic, Molecular, and Optical Physics; Elsevier: Amsterdam, The Netherlands, 2020; Volume 69, pp. 233–306. [Google Scholar] [CrossRef]
- Chen, L.; Gelin, M.F.; Chernyak, V.Y.; Domcke, W.; Zhao, Y. Dissipative Dynamics at Conical Intersections: Simulations with the Hierarchy Equations of Motion Method. Faraday Discuss. 2016, 194, 61–80. [Google Scholar] [CrossRef]
- Gelman, D.; Katz, G.; Kosloff, R.; Ratner, M.A. Dissipative Dynamics of a System Passing through a Conical Intersection: Ultrafast Pump-Probe Observables. J. Chem. Phys. 2005, 123, 134112. [Google Scholar] [CrossRef]
- Burghardt, I.; Hynes, J.T. Excited-State Charge Transfer at a Conical Intersection: Effects of an Environment. J. Phys. Chem. A 2006, 110, 11411–11423. [Google Scholar] [CrossRef] [PubMed]
- Cederbaum, L.S.; Gindensperger, E.; Burghardt, I. Short-Time Dynamics Through Conical Intersections in Macrosystems. Phys. Rev. Lett. 2005, 94, 113003. [Google Scholar] [CrossRef] [PubMed]
- Saffman, M.; Walker, T.G.; Mølmer, K. Quantum Information with Rydberg Atoms. Rev. Mod. Phys. 2010, 82, 2313. [Google Scholar] [CrossRef]
- Shao, X.Q.; Su, S.L.; Li, L.; Nath, R.; Wu, J.H.; Li, W. Rydberg Superatoms: An Artificial Quantum System for Quantum Information Processing and Quantum Optics. Appl. Phys. Rev. 2024, 11, 031320. [Google Scholar] [CrossRef]
- James, D. Quantum Dynamics of Cold Trapped Ions with Application to Quantum Computation. Appl. Phys. B Lasers Opt. 1998, 66, 181–190. [Google Scholar] [CrossRef]
- Aymar, M.; Greene, C.; Luc-Koenig, E. Multichannel Rydberg Spectroscopy of Complex Atoms. Rev. Mod. Phys. 1996, 68, 1015–1123. [Google Scholar] [CrossRef]
- Monroe, C.; Meekhof, D.M.; King, B.E.; Wineland, D.J. A “Schrödinger Cat” Superposition State of an Atom. Science 1996, 272, 1131–1136. [Google Scholar] [CrossRef] [PubMed]
- Scully, M.O.; Zubairy, M.S. Quantum Optics, 1st ed.; Cambridge University Press: Cambridge, UK, 1997. [Google Scholar] [CrossRef]
- Braak, D. Integrability of the Rabi Model. Phys. Rev. Lett. 2011, 107, 100401. [Google Scholar] [CrossRef] [PubMed]
- Xie, Q.; Zhong, H.; Batchelor, M.T.; Lee, C. The Quantum Rabi Model: Solution and Dynamics. J. Phys. A Math. Theor. 2017, 50, 113001. [Google Scholar] [CrossRef]
- Gallagher, T.F. Rydberg Atoms; Cambridge University Press: Cambridge, UK, 2005. [Google Scholar] [CrossRef]
- Breuer, H.P.; Petruccione, F. The Theory of Open Quantum Systems; Oxford University Press: Oxford, UK, 2007. [Google Scholar] [CrossRef]
- QuTiP. Qutip Documentation and Coding. 2024. Available online: https://qutip.org (accessed on 27 September 2024).
- Glukhov, I.L.; Nikitina, E.A.; Ovsiannikov, V.D. Lifetimes of Rydberg States in Ions of the Group II Elements. Opt. Spectrosc. 2013, 115, 9–17. [Google Scholar] [CrossRef]
- Martins, W.S.; Wilkinson, J.W.P.; Hennrich, M.; Lesanovsky, I. Impact of Micromotion on the Excitation of Rydberg States of Ions in a Paul Trap. arXiv 2024, arXiv:2410.24047. [Google Scholar]
- Turchette, Q.A.; Kielpinski; King, B.E.; Leibfried, D.; Meekhof, D.M.; Myatt, C.J.; Rowe, M.A.; Sackett, C.A.; Wood, C.S.; Itano, W.M.; et al. Heating of trapped ions from the quantum ground state. Phys. Rev. A 2000, 61, 063418. [Google Scholar] [CrossRef]
- Tomadin, A.; Diehl, S.; Zoller, P. Nonequilibrium Phase Diagram of a Driven and Dissipative Many-Body System. Phys. Rev. A 2011, 83, 013611. [Google Scholar] [CrossRef]






Disclaimer/Publisher’s Note: The statements, opinions and data contained in all publications are solely those of the individual author(s) and contributor(s) and not of MDPI and/or the editor(s). MDPI and/or the editor(s) disclaim responsibility for any injury to people or property resulting from any ideas, methods, instructions or products referred to in the content. |
© 2024 by the authors. Licensee MDPI, Basel, Switzerland. This article is an open access article distributed under the terms and conditions of the Creative Commons Attribution (CC BY) license (https://creativecommons.org/licenses/by/4.0/).
Share and Cite
Chaudhary, M.; Nath, R.; Li, W. Spin–Phonon Relaxation Dynamics from a Conical Intersection of Trapped Rydberg Ions. Photonics 2024, 11, 1135. https://doi.org/10.3390/photonics11121135
Chaudhary M, Nath R, Li W. Spin–Phonon Relaxation Dynamics from a Conical Intersection of Trapped Rydberg Ions. Photonics. 2024; 11(12):1135. https://doi.org/10.3390/photonics11121135
Chicago/Turabian StyleChaudhary, Manish, Rejish Nath, and Weibin Li. 2024. "Spin–Phonon Relaxation Dynamics from a Conical Intersection of Trapped Rydberg Ions" Photonics 11, no. 12: 1135. https://doi.org/10.3390/photonics11121135
APA StyleChaudhary, M., Nath, R., & Li, W. (2024). Spin–Phonon Relaxation Dynamics from a Conical Intersection of Trapped Rydberg Ions. Photonics, 11(12), 1135. https://doi.org/10.3390/photonics11121135

