Next Article in Journal
Energy Backflow in Unidirectional Monochromatic and Space–Time Waves
Previous Article in Journal
Performance Study of Random Layout Light Source for Visible Light Communication System
Previous Article in Special Issue
Theoretical Models for Performance Analysis of Spintronic THz Emitters
 
 
Font Type:
Arial Georgia Verdana
Font Size:
Aa Aa Aa
Line Spacing:
Column Width:
Background:
Article

A Sensitive THz Fingerprint Sensor Based on Silicon Cylindrical Trimers for the Detection of Kresoxim-methyl

School of Integrated Circuits, Shandong University, Jinan 250101, China
*
Author to whom correspondence should be addressed.
Photonics 2024, 11(12), 1128; https://doi.org/10.3390/photonics11121128
Submission received: 3 November 2024 / Revised: 22 November 2024 / Accepted: 26 November 2024 / Published: 28 November 2024
(This article belongs to the Special Issue Terahertz Photonics: Recent Advances and Future Perspectives)

Abstract

THz waves have garnered significant attention across multiple domains, particularly in high-sensitivity sensing applications. Metamaterials are applicable in THz sensors owing to their exceptional sensitivity, particularly in refractive index measurement and pesticide identification. This paper proposes a THz metamaterial sensor for detecting ether kresoxim-methyl. The sensor comprises a periodic array of silicon cylindrical trimers organized on a silicon substrate. Resonances in the guided mode, dictated by bound states in the continuum spectrum, can be stimulated by meticulously configuring the geometric arrangement of the silicon column trimer. The sensor demonstrates a Q-value of up to 143 at the resonant frequency. The detection of pesticide residues achieved high sensitivity and specificity, with a detection limit of 37.74 μg/cm2. This study presents a novel alternative for THz metamaterial sensors characterized by high sensitivity and a broad spectrum of pesticide concentration detection. The sensor platform developed in this paper, utilizing conventional CMOS technology, is posited as a potential detection instrument for herbicide and pesticide residues in agriculture and food.

1. Introduction

The electromagnetic spectrum of terahertz (THz) waves spans the frequency range of from 0.1 to 10 THz [1]. It not only demonstrates the properties of microwave and infrared waves but also possesses numerous exceptional advantages. For instance, THz waves exhibit transparency to the majority of dielectric materials [2], facilitate non-destructive inspection, and possess a high signal-to-noise ratio. THz technology demonstrates significant potential in biomedical research, because the label-free characteristic of THz waves facilitates a more reliable and reproducible detection of biological tissues. THz fingerprint sensing technology relies on the distinct “spectral fingerprint” characteristic of THz waves, enabling the acquisition of transmission, absorption, or reflection spectra of samples. The distinctive peaks encompass the specific material information of the sample and can precisely determine its composition. In practical applications, when the sample content is minimal, the detection capability of the THz-TDS system is significantly limited [3]. The considerable disparity between the wavelength of THz waves and the sample thickness further constrains the efficacy of conventional detection methods in trace analysis [4].
Metamaterials are periodic artificial structures composed of metal–dielectric–metal or entirely dielectric layers with subwavelength dimensions. Metamaterial sensors are optimal for surface-enhanced infrared absorption spectroscopy applications because of their minimal radiation damping in the infrared spectrum [5,6] and their high absorption capability. Optimal absorption of these materials can be attained across various frequency ranges, from visible light to microwaves, by selecting diverse geometries of varying dimensions. THz sensors engineered for infrared wavelengths can identify extremely faint signals linked to the vibrational modes of relevant molecules. Recent research on metamaterial structures has focused on improving the signal of these molecules [7,8]. Moreover, the distinctive features of multimode antennas create new opportunities for various potential applications, including pyroelectric detectors, solar energy harvesting, sensors, and optical filters. Landy et al. exhibited the inaugural sensor, utilizing a metallic aperture ring and a cutting wire, achieving an absorbance of 88% [9]. Currently, metamaterial sensors are extensively employed to detect the molecular fingerprints of chemical and biological substances in the THz region. Throughout the past decade, numerous metamaterials have been created, including all-dielectric metamaterials [9], tunable metamaterials [10,11,12], metasurfaces, reconfigurable metamaterials [13,14], flexible metamaterials [15], and graphene metamaterials. Specifically, integrating THz spectroscopy techniques with metamaterials will enhance signal amplification and increase detection sensitivity.
In recent years, numerous researchers have concentrated on developing metamaterial structures appropriate for THz fingerprint sensing. In 2020, Pengcheng Nie and associates devised a highly sensitive detection technique utilizing a broadband terahertz dielectric metamaterial absorber for the trace detection of the pesticide chlorpyrifos. The sensor exhibited a minimum detection concentration of 0.1 mg/L [16], demonstrating commendable stability and reproducibility. This method employs the linear responses of the absorption peak intensity and frequency shift, offering an innovative solution for swift and accurate detection in food safety. In 2021, Khwanchai Tantiwanichapan and colleagues developed a detection system utilizing a terahertz metamaterial absorber for the high-sensitivity detection of prevalent pesticide residues, including paraquat and glyphosate [17]. The detection system can accurately measure pesticide concentrations by red-shifting the absorption frequency. In a recent three-year study, Meng et al. reported, in 2022, that an all-dielectric metamaterial, in conjunction with angle scanning technology [18], systematically elucidated its physical mechanism for enhanced detection by applying analytes to its surface, and they validated its superior sensing capabilities for substances like tyrosine. In 2023, Zhang et al. introduced a THz metamaterial sensor exhibiting near-perfect absorption through superreflection, discovering a robust linear correlation between the shift in formant frequency and ascorbic acid concentration [19]. In that year, Lang et al. advanced a highly sensitive flexible THz metamaterial for detecting the pesticide imidacloprid, achieving a detection sensitivity of 12.3 GHz/(mg/mL) and a detection limit of 0.0112 mg/mL [20]. These studies demonstrate that metamaterials are essential to THz fingerprint sensing technology and are a significant catalyst for technological advancement in this domain. As research on THz metamaterials advances, we anticipate that the application of THz fingerprint sensing technology in areas such as pesticide residue detection will become increasingly widespread and comprehensive.
The local field enhancement effect of metal-containing metamaterials arises from the excitation and modulation of surface plasmons. By constraining the electromagnetic energy at the metal–dielectric interface, the intensity of the electromagnetic field is amplified and becomes responsive to variations in the dielectric environment at the interface, which is extensively utilized in electromagnetic wave modulation and sensing applications. All-dielectric metamaterials enhance fields via mechanisms including optical resonance, photonic crystal effects, and Mie resonance. They possess advantages such as a high refractive index and low loss, demonstrating a robust optical response at specific frequencies due to meticulously designed geometric structures, indicating significant potential in THz fingerprint sensing technology.
The swift advancement of contemporary agriculture is leading to a gradual increase in both the variety and quantity of pesticides. The increasing prevalence of pesticide poisoning in recent years has garnered sustained attention. Kresoxim-methyl [21], a highly efficient fungicide pesticide with a broad spectrum and prolonged efficacy, is esteemed by farmers in agricultural production due to its substantial effectiveness in controlling various diseases. Nonetheless, it is important to acknowledge that the degradation rate of kresoxim-methyl in soil is comparatively slow, resulting in its accumulation in soil and crops, thereby presenting a potential environmental pollution risk. Prolonged exposure to or inhalation of ether ester may lead to various health issues, including dizziness, nausea, vomiting, and potentially life-threatening symptoms. Conventional pesticide residue detection methods exhibit limitations, including inadequate sensitivity and selectivity, laborious and intricate procedures, costly equipment, elevated expenses, inability for real-time detection, and suboptimal detection relevance, alongside inherent environmental and health risks. These challenges hinder the fulfillment of contemporary agricultural demands for rapid, economical, portable, and comprehensive testing.
Given the extensive application and potential risks associated with kresoxim-methyl, this study focuses on kresoxim-methyl as the primary detection target and employs the Finite-Difference Time-Domain (FDTD) Solutions tool to design an all-silicon trimeric cylindrical THz metamaterial fingerprint sensor. The sensor exhibited a pronounced resonance dip at 1.61 THz with a Q factor of approximately 143. The metamaterial enhances the electric field and localizes it to the surface, thereby amplifying the interaction of THz waves with the analyte. Through angle scanning, the sensor was utilized to detect the pesticide ether ester. The resonance concave envelope derived from angle scanning displayed a peak at 1.47 THz, corresponding to the THz fingerprint information at this frequency, facilitating the identification of kresoxim-methyl. A strong linear correlation existed between the peak value of the envelope and the thickness of the ether ester, enabling the quantification of the ether ester concentration. The proposed sensor is capable of detecting additional pesticides with fingerprint peaks within the 1.36–1.64 THz band. The sensor is reusable. The sample maintain its stability during the testing procedure.

2. Material and Structure

This paper presents an all-silicon THz fingerprint sensor integrated with angle scanning for the precise identification and content detection of kresoxim-methyl molecules. The sensor comprises a periodic array of silicon cylindrical trimers (SCTs) arranged on a silicon substrate. Figure 1a illustrates a comprehensive schematic of the SCT metamaterial, and Figure 1b delineates the structural elements. Figure 1c provides a superior perspective of the element structure while illustrating the model of the sensor coated with pesticide residues.
After thorough regulating, the appropriate geometric parameters of the SCT metamaterial were determined as follows: Px = 90 μm, Py = 40 μm, thickness of square silicon h1 = 28 μm, height of silicon column trimer h2 = 28 μm, radius of larger cylinder r1 = 12 μm, radius of smaller cylinder r2 = 8 μm, offset of the center of the larger cylinder relative to the x-axis y1 = 5 μm, offset of the center of the circle of the smaller cylinder relative to the x-axis y2 = 7 μm, and offset relative to the y-axis x2 = 24 μm. The primary constituent of the SCT metamaterial is silicon, which can theoretically be produced using standard CMOS processes [22]. To generate the complete envelope, it is necessary to scan the sample 45 times, requiring approximately 90 min.

3. Results and Discussion

Resonances in the guided mode, governed by bound states in the continuum (BIC), can be stimulated by precisely arranging the geometric configuration of the SCT [23] within the sensor. The BIC arises from the asymmetrical discrepancy between the mode distribution of light waves and the external propagation mode under specific conditions, resulting in the confinement of light waves within the medium and preventing their radiation, thereby amplifying the interaction between light and matter. Despite the theoretical possibility of a BIC possessing an infinite Q value, attaining this ideal condition in practice proves challenging. Consequently, a BIC [24] can be converted into a quasi-BIC by disrupting the symmetry of the silicon column trimer, which can be stimulated by the incident wave while preserving its high Q factor characteristics. The Q factor of a quasi-BIC is intricately linked to the extent of breaking the in-plane inversion symmetry of the hypersurface structure. The Q factor can be altered by modifying the degree of asymmetry of the metasurface unit cells. The establishment of a quasi-BIC markedly improves the guided-mode resonance [25], evident as a pronounced transmission dip in the spectrum, thereby offering substantial spectral feature support for the targeted detection of ether ester molecules.
Upon vertical incidence of the THz wave on the SCT metamaterial surface, the resultant transmission spectrum and electromagnetic field distribution at the formant are illustrated in Figure 2. Figure 2a reveals a notable resonance depression at 1.61 THz, characterized by a full width at half maximum (FWHM) of approximately 0.01 THz. The Q value (quality factor) of this resonance depression was estimated to be approximately 143 [26]. The resonance sag phenomenon is a result of the excitation of guided mode resonance. In SCT metamaterial structures, the silicon substrate functions as the waveguide layer, whereas the silicon column trimer serves as a two-dimensional grating. The incident THz wave couples to the waveguide mode through diffraction, successfully exciting the guided mode resonance [27].
Additionally, Figure 2b, c, and d illustrate the electric field distribution on the surface of the SCT metamaterial at frequencies of 1.36 THz, 1.61 THz, and 1.64 THz, respectively. The electric field intensity at 1.61 THz was markedly greater than at 1.36 THz and 1.64 THz, signifying that the electric field gain attained its peak at a resonance frequency of 1.61 THz. At this frequency [28], the electric field intensity was predominantly focused in the area between the larger silicon column and the smaller silicon column on either side, indicating a significant local electric field enhancement effect at the resonance point.
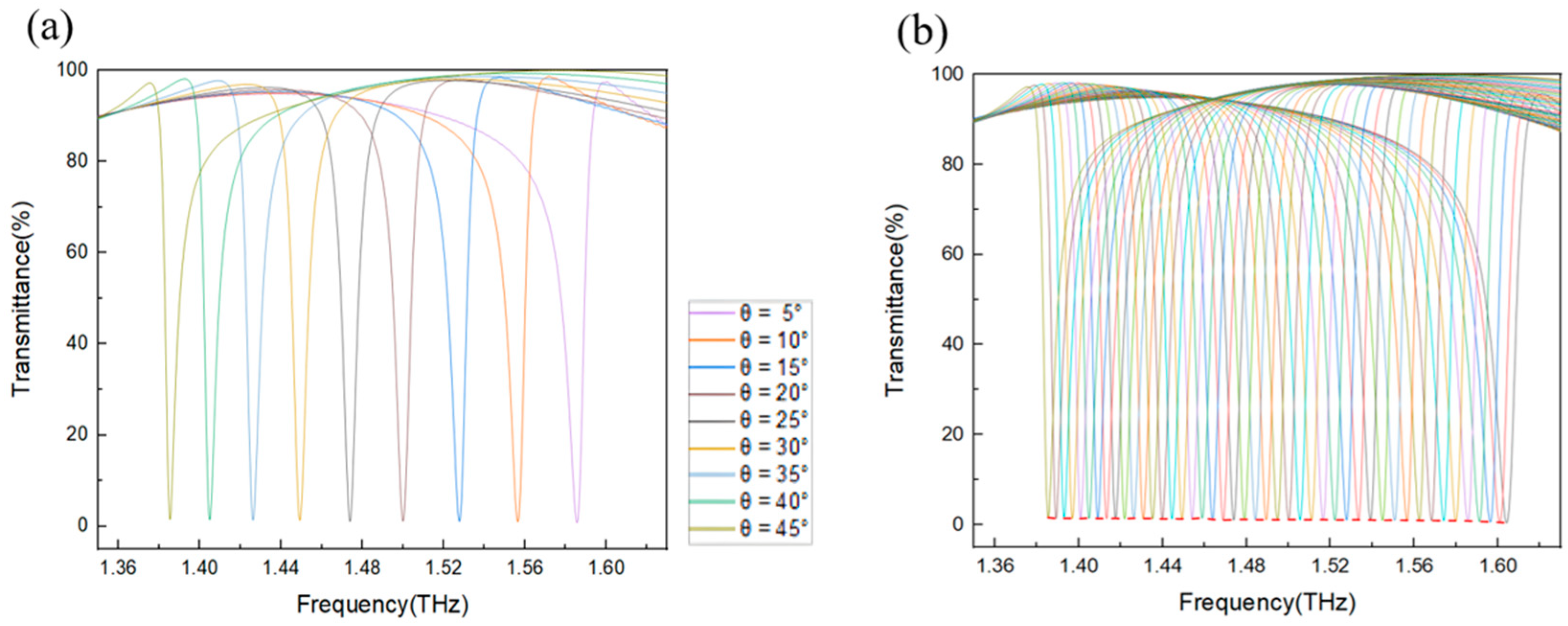
Notably, a thorough analysis of the data in Figure 3a revealed a strong linear correlation between the frequency shift of the resonance depression and the angle of incidence θ. This discovery elucidates the quantitative correlation between the spectral response and the incident angle of the SCT metamaterial [29], which is crucial for optimizing metamaterial design and achieving precise spectral regulation.
The angular-dependent spectral response can be elucidated by guided-mode resonance theory [30]. When an incident wave traverses a metamaterial at a specific angle θ, it induces waveguide patterns at the corresponding frequency. This mode enables the effective capture and propagation of the incident wave within the metamaterial, thereby facilitating the regulation of light waves. The phase matching condition between the in-plane component of the incident light vector and the waveguide’s mode propagation constant can be established according to grating diffraction theory. The mathematical expression for the guided-mode resonance condition can be derived by integrating the guided-mode propagation condition with the waveguide boundary condition, resulting in the law governing the guided-mode resonance as a function of the incident angle.
Figure 3b provides a detailed representation of the angular variation in the SCT metamaterial transmission spectra as the incident angle θ increased from 1° to 45° in increments of 1°. The red dashed line in Figure 3b shows the resonance depression of the transmission spectrum at different incidence angles. To make the analysis easier, these data are plotted as an envelope curve. The potential use of SCT metamaterials in analyte THz fingerprint sensing is demonstrated by this envelope curve, which spans a wide THz frequency band. Covering the surface of the SCT metamaterial with an analyte’s characteristic peak in this frequency band causes the envelope curve to reflect the analyte’s extinction coefficient curve, allowing for the specific detection of the substance.
Initial steps involved scanning a 2.0 μm thick kresoxim-methyl film from an angle ranging from 1° to 45°. Figure 4 displays the resulting images. The resonance frequency dropped into a lower frequency band as the incidence angle increased, as seen by the transmission curve’s noticeable red-shift. The transmittance at the resonance depression initially increased, subsequently decreased, and reached a maximum at θ = 21°. At present, the resonance depression frequency is approximately 1.47 THz, which is in agreement with the kresoxim-methyl extinction coefficient curve.
The distribution of the surface electric field of the metamaterial at the frequency of the resonance depression at θ = 6°, θ = 21°, and θ = 41° is shown in Figure 4c, d, and e, respectively. The uneven distribution of electric fields across the metamaterial’s surface is a result of the angle at which the light wave is incident. More specifically, the area between the leftmost larger and smaller silicon columns is where the strongest electric field is concentrated. When θ = 21°, the electric field gain reached its maximum, which is highly correlated with kresoxim-methyl’s properties and offers a solid spectral characteristic foundation for future detection, further demonstrating the resonance effect’s significance through the enhancement of this localized electric field.
The extent of THz wave absorption by the analyte can be defined by the following formula [31]:
A f = 4 π f n k V | E | 2 d V
In the aforementioned formula, V denotes the volume of the analyte, E signifies the electric field strength, and n and k represent the real and imaginary components of the complex refractive index of the analyte, respectively. The amplitude of A(f) is primarily influenced by the electric field E. The gain electric field is primarily concentrated between the larger silicon column and the smaller silicon column on the left. The silicon column enveloping the analyte allows the SCT metamaterial to markedly augment the absorption of THz waves by the analyte, thereby facilitating the detection of its THz fingerprint.
Figure 4c–e illustrate that while the electric field intensity fluctuated with varying incident angles, the peak electric field intensity at θ = 21° was inferior to that at θ = 6° and θ = 41°. When θ = 21°, the transmittance at the resonance depression was notably high, aligning with the trend of the extinction coefficient curve of kresoxim-methyl. This suggests that the local electric field enhancement of the SCT metamaterial is significantly influenced by the incidence angle of THz waves, allowing for the effective identification of the THz fingerprint information of the analytes through angle scanning.
The resemblance between the envelope of the transmission depression in Figure 4b and the extinction coefficient curve of the analyte arises from the physical mechanism through which THz waves engage with matter. The extinction coefficient is a crucial physical parameter that characterizes a substance’s capacity to absorb electromagnetic radiation. In THz spectral analysis, the extinction coefficient is intimately associated with the molecular structure, vibrational modes, and electronic transition properties of a substance. As a THz wave traverses a sample containing a specific analyte, it interacts with the sample molecules, leading to the absorption of particular wavelengths of light and a corresponding reduction in the transmission spectrum.
To assess the sensing performance of the SCT metamaterial with varying thicknesses of kresoxim-methyl films, films measuring 0.1 μm, 0.3 μm, 0.5 μm, 0.8 μm, and 1.0 μm were systematically scanned from 1° to 45° in 1° increments. Subsequently, the resonance sag phenomena at various angles were consolidated and represented as envelope lines, as illustrated in Figure 5. It is noteworthy that when the thickness of the kresoxim-methyl film was 0.1 μm, the envelope exhibited negligible change, suggesting that the film thickness was insufficient for the SCT metamaterials to effectively discern its THz fingerprint. As the film thickness increased to 0.3 μm, the envelope exhibited minor fluctuations, signifying that the SCT metamaterial commenced detecting the fingerprint signal of the SCT.
To facilitate clearer observation and analysis, the six envelope lines in Figure 4b and Figure 5 were individually extracted and redrawn, with the envelope lines devoid of analyte serving as a reference. Figure 6 illustrates that as the film thickness increased, the envelope’s fluctuation intensified, resulting in an overall upward trend. It is particularly significant that when the film thickness attained or surpasses 0.3 μm, five envelope lines exhibited pronounced maximum values of approximately 1.47 THz, which aligns closely with the extinction coefficient curve of kresoxim-methyl.
The angle scanning results of the various thin film thicknesses effectively validated the application potential of the SCT metamaterials in THz fingerprint sensing and demonstrated a strong correlation between the thin film thickness and sensing performance. These findings offer significant experimental foundations and theoretical backing for the further optimization of metamaterial design and the enhancement of the sensing performance. The correspondence between the envelope created by the transmission sag and the extinction coefficient curve of the analyte offers an efficient analytical method. By juxtaposing the envelope with the extinction coefficient curve of established substances, the analyte can be discerned, indicating significant potential in pesticide residue detection.
The limit of detection (LOD) is a critical metric for evaluating the efficacy of metamaterial sensors. Establishing the LOD can assist in addressing the issue of uneven sample distribution. This indicator signifies that the sensor can detect pesticides as long as the local pesticide concentration surpasses the detection threshold. The LOD is defined by the following formula:
σ = ρ × h
In the equation, ρ denotes the density of the observed object, while h signifies the minimum detectable thickness. The analysis of angle scanning results for various thicknesses of powder rust indicates that the minimum detectable thickness of SCT metamaterials for powder rust is 0.3 μm. At a temperature of 20 °C, the density of kresoxim-methyl is 1.258 kg/L, and the detection limit of the SCT metamaterial is 37.74 μg/cm2, as determined by the aforementioned formula. The results demonstrate that the SCT metamaterial developed in this chapter exhibits exceptional specificity and sensitivity in the trace detection of kresoxim-methyl. To enhance the investigation of the detection efficacy of SCT metamaterial for kresoxim-methyl concentrations, we extracted peak data from the envelope lines of five thicknesses (t = 0.3 μm, 0.5 μm, 0.8 μm, 1.0 μm, and 2.0 μm) near 1.47 THz and illustrated the correlation between the peak value of the envelope and the thickness of kresoxim-methyl. Figure 7 illustrates a significant linear correlation between the peak value of the envelope and the thickness of kresoxim-methyl. The fitted linear equation is as follows [32]:
y = 0.133x + 0.007
with a correlation coefficient of 0.99823. This discovery offers a technique to inversely extrapolate the kresoxim-methyl content by analyzing the peak value of the envelope at an angle, thereby facilitating the sensitive detection of kresoxim-methyl.

4. Conclusions

This paper introduces an innovative metamaterial sensor that integrates THz fingerprint sensing technology with an angle scanning method, aimed at achieving high sensitivity and specificity in pesticide residue detection. This paper presents a sensor that addresses the limitations of current sensing technologies in low-concentration and trace detection, demonstrating exceptional performance, particularly in the detection of rutin. By integrating the angle scanning technique and leveraging the correlation between the transmission sag envelope and the extinction coefficient curve of kresoxim-methyl, the sensor effectively achieved the precise identification and concentration quantification of kresoxim-methyl. The simulation findings indicate that the sensor’s Q value at the transmission depression position reaches 143, with a detection limit of 37.74 μg/cm2. Furthermore, the variation in the peak value of the transmission depression envelope effectively captures minor fluctuations in the rutin concentration, thereby confirming the method’s feasibility and efficiency for high-precision detection and offering a novel technical approach for pesticide residue analysis. The sensor may encounter issues in practical applications, including environmental interference, restricted detection accuracy, manufacturing complexity, cumbersome angle scanning operations, high sample preparation demands, lack of portability, and elevated costs. Enhancements in performance and usability require the optimization of the design, the simplification of operations, the refinement of manufacturing processes, and the development of portable devices to enable their application in intricate scenarios.

Author Contributions

Conceptualization, W.N. and Y.S.; methodology, W.N. and Y.S.; software, W.N., H.L., W.Y. and S.L.; validation, W.N., M.P. and W.S.; formal analysis, W.N., M.P. and W.S.; investigation, W.N.; resources, Y.S.; data curation, W.N., S.L. and Y.S.; writing—original draft preparation, W.N.; writing—review and editing, W.N. and Y.S.; visualization, W.N.; supervision, Y.S.; project administration, Y.S.; funding acquisition, Y.S. and Y.Z. All authors have read and agreed to the published version of the manuscript.

Funding

This work is supported by the National Key Research and Development Program of China 2022YFA1400025, the National Natural Science Foundation of China 62371272, the Shandong Provincial Natural Science Foundation ZR2023ZD08, the Key Technology Program of Qingdao City 23-1-2-qljh-5-gx, and JinanSDU Co-development under Project JNSX2023007.

Institutional Review Board Statement

Not applicable.

Informed Consent Statement

Not applicable.

Data Availability Statement

Since no public dataset was created for this study, please contact me at 202200400095@mail.sdu.edu.cn if you require the data presented in this paper.

Acknowledgments

We confirm that all individuals mentioned in this section have provided their consent to be acknowledged.

Conflicts of Interest

The authors declare no conflicts of interest.

References

  1. Pawar, A.Y.; Sonawane, D.D.; Erande, K.B.; Derle, D.V. Terahertz technology and its applications. Drug Invent. Today 2013, 5, 157–163. [Google Scholar] [CrossRef]
  2. Sun, J.; Lucyszyn, S. Extracting Complex Dielectric Properties from Reflection-Transmission Mode Spectroscopy. IEEE Access 2018, 6, 8302–8321. [Google Scholar] [CrossRef]
  3. Kaushik, M.; Ng, B.W.; Fischer, B.M.; Abbott, D. Reduction of Scattering Effects in THz-TDS Signals. IEEE Photonics Technol. Lett. 2012, 24, 155–157. [Google Scholar] [CrossRef]
  4. Abdullah, M.; Younis, M.; Sohail, M.T.; Wu, S.; Zhang, X.; Khan, K.; Asif, M.; Yan, P. Recent Progress of 2D Materials-Based Photodetectors from UV to THz Waves: Principles, Materials, and Applications. Small 2024, 20, 2402668. [Google Scholar] [CrossRef] [PubMed]
  5. Zhang, Y.; Bian, X.; Liang, M.; You, R. A Terahertz Metamaterial Absorber-Based Biosensor for Ascorbic Acid. In Proceedings of the 2023 IEEE SENSORS, Vienna, Austria, 29 October–1 November 2023; pp. 1–4. [Google Scholar] [CrossRef]
  6. Tzschoppe, M.; Huck, C.; Vogt, J.; Neubrech, F.; Pucci, A. Impact of Metal-Optical Properties on Surface-Enhanced Infrared Absorption. J. Phys. Chem. C 2018, 122, 15678–15687. [Google Scholar] [CrossRef]
  7. Ishikawa, A. Infrared metamaterials for high-sensitive surface-enhanced molecular detection. In Proceedings of the 2016 URSI Asia-Pacific Radio Science Conference (URSI AP-RASC), Seoul, Republic of Korea, 21–25 August 2016; pp. 1–3. [Google Scholar] [CrossRef]
  8. Lee, D.; Kim, G.; Kim, C.; Jhon, Y.M.; Kim, J.H.; Lee, T.; Son, J.; Seo, M. Ultrasensitive Detection of Residual Pesticides Using THz Near-Field Enhancement. IEEE Trans. Terahertz Sci. Technol. 2016, 6, 389–395. [Google Scholar] [CrossRef]
  9. Xu, W.; Huang, Y.; Zhou, R.; Wang, Q.; Yin, J.; Kono, J.; Ping, J.; Xie, L.; Ying, Y. Metamaterial-Free Flexible Graphene-Enabled Terahertz Sensors for Pesticide Detection at Bio-Interface. ACS Appl. Mater. Interfaces 2020, 12, 44281–44287. [Google Scholar] [CrossRef] [PubMed]
  10. Miyamichi, A.; Ono, A.; Kamehama, H.; Kagawa, K.; Yasutomi, K.; Kawahito, S. Multi-band plasmonic color filters for visible-to-near-infrared image sensors. Opt. Express 2018, 26, 25178–25187. [Google Scholar] [CrossRef]
  11. Wang, B.; He, Y.; Lou, P.; Zhu, H. Multi-band terahertz superabsorbers based on perforated square-patch metamaterials. Nanoscale Adv. 2021, 3, 455–462. [Google Scholar] [CrossRef]
  12. Cetin, A.E.; Korkmaz, S.; Durmaz, H.; Aslan, E.; Kaya, S.; Paiella, R.; Turkmen, M. Quantification of Multiple Molecular Fingerprints by Dual-Resonant Perfect Absorber. Adv. Opt. Mater. 2016, 4, 1274–1280. [Google Scholar] [CrossRef]
  13. Jahani, S.; Jacob, Z. All-dielectric metamaterials. Nat. Nanotechnol. 2016, 11, 23–36. [Google Scholar] [CrossRef] [PubMed]
  14. Chen, Z.; Chen, H.; Yin, J.; Zhang, R.; Jile, H.; Xu, D.; Yi, Z.; Zhou, Z.; Cai, S.; Yan, P. Multi-band, tunable, high figure of merit, high sensitivity single-layer patterned graphene—Perfect absorber based on surface plasmon resonance. Diam. Relat. Mater. 2021, 116, 108393. [Google Scholar] [CrossRef]
  15. Wang, Y.; Yi, Y.; Xu, D.; Yi, Z.; Li, Z.; Chen, X.; Jile, H.; Zhang, J.; Zeng, L.; Li, G. Terahertz tunable three band narrowband perfect absorber based on Dirac semimetal. Phys. E Low-Dimens. Syst. Nanostructures 2021, 131, 114750. [Google Scholar] [CrossRef]
  16. Zheludev, N.I.; Plum, E. Reconfigurable nanomechanical photonic metamaterials. Nat. Nanotechnol. 2016, 11, 16–22. [Google Scholar] [CrossRef] [PubMed]
  17. Oliveri, G.; Werner, D.H.; Massa, A. Reconfigurable Electromagnetics Through Metamaterials—A Review. Proc. IEEE 2015, 103, 1034–1056. [Google Scholar] [CrossRef]
  18. Nie, P.; Zhu, D.; Cui, Z.; Qu, F.; Lin, L.; Wang, Y. Sensitive detection of chlorpyrifos pesticide using an all-dielectric broadband terahertz metamaterial absorber. Sens. Actuators B Chem. 2020, 307, 127642. [Google Scholar] [CrossRef]
  19. Tantiwanichapan, K.; Durmaz, H. Herbicide/pesticide sensing with metamaterial absorber in THz regime. Sens. Actuators A Phys. 2021, 331, 112960. [Google Scholar] [CrossRef]
  20. Meng, D.; Liu, J.; Chen, W.; Cheng, Y.; You, K.; Fan, Z.; Ye, Q.; Huang, P.; Chen, Y. Study on the enhancement mechanism of terahertz molecular fingerprint sensing. Results Phys. 2022, 39, 105766. [Google Scholar] [CrossRef]
  21. Lefrancq, M.; Imfeld, G.; Payraudeau, S.; Millet, M. Kresoxim methyl deposition, drift and runoff in a vineyard catchment. Science of The Total Environment 2013, 442, 503–508. [Google Scholar] [CrossRef]
  22. Lang, T.; Zhang, J.; Qiu, Y.; Hong, Z.; Liu, J. Flexible terahertz Metamaterial sensor for sensitive detection of imidacloprid. Opt. Commun. 2023, 537, 129430. [Google Scholar] [CrossRef]
  23. Ypema, H.L.; Gold, R.E. Kresoxim-methyl-methyl: Modification of a Naturally Occurring Compound to Produce a New Fungicide. Plant Dis. 1999, 83, 4–19. [Google Scholar] [CrossRef] [PubMed]
  24. Chen, Z.; Cai, P.; Wen, Q.; Chen, H.; Tang, Y.; Yi, Z.; Wei, K.; Li, G.; Tang, B.; Yi, Y. Graphene Multi-Frequency Broadband and Ultra-Broadband Terahertz Absorber Based on Surface Plasmon Resonance. Electronics 2023, 12, 2655. [Google Scholar] [CrossRef]
  25. Walia, S.; Shah, C.M.; Gutruf, P.; Nili, H.; Chowdhury, D.R.; Withayachumnankul, W.; Bhaskaran, M.; Sriram, S. Flexible metasurfaces and metamaterials: A review of materials and fabrication processes at micro- and nano-scales. Appl. Phys. Rev. 2015, 2, 011303. [Google Scholar] [CrossRef]
  26. Zheludev, N.I.; Kivshar, Y.S. From metamaterials to metadevices. Nat. Mater. 2012, 11, 917–924. [Google Scholar] [CrossRef] [PubMed]
  27. Zhang, Z.; Liu, Z.; Zhou, F.; Wang, J.; Wang, Y.; Zhang, X.; Qin, Y.; Zhuo, S.; Luo, X.; Gao, E. Broadband plasmon-induced transparency modulator in the terahertz band based on multilayer graphene metamaterials. J. Opt. Soc. Am. A 2021, 38, 784–789. [Google Scholar] [CrossRef] [PubMed]
  28. Zhang, X.; Liu, J.; Qin, J. A terahertz metasurface sensor with fingerprint enhancement in a wide spectrum band for thin film detection. Nanoscale Adv. 2023, 5, 2210–2215. [Google Scholar] [CrossRef]
  29. Wang, S.S.; Magnusson, R. Theory and applications of guided-mode resonance filters. Appl. Opt. 1993, 32, 2606–2613. [Google Scholar] [CrossRef]
  30. Wang, S.S.; Moharam, M.G.; Magnusson, R.; Bagby, J.S. Guided-mode resonances in planar dielectric-layer diffraction gratings. J. Opt. Soc. Am. A 1990, 7, 1470–1474. [Google Scholar] [CrossRef]
  31. Fedder, G.K.; Santhanam, S.; Reed, M.L.; Eagle, S.C.; Guillou, D.F.; Lu, M.S.-C.; Carley, L.R. Laminated high-aspect-ratio microstructures in a conventional CMOS process. Sens. Actuators A Phys. 1996, 57, 103–110. [Google Scholar] [CrossRef]
  32. Zhao, T.; Wan, H.; Zhang, T.; Xiao, X. Mechanism of the Terahertz Wave–MXene Interaction and Surface/Interface Chemistry of MXene for Terahertz Absorption and Shielding. Acc. Chem. Res. 2024, 57, 2184–2193. [Google Scholar] [CrossRef]
Figure 1. (a) Schematic diagram of the SCT metamaterial. (b) Schematic diagram of SCT metamaterial unit structure. (c) Schematic diagram of detecting kresoxim-methyl in FDTD.
Figure 1. (a) Schematic diagram of the SCT metamaterial. (b) Schematic diagram of SCT metamaterial unit structure. (c) Schematic diagram of detecting kresoxim-methyl in FDTD.
Photonics 11 01128 g001
Figure 2. (a) THz transmission spectra of SCT metamaterial; (b) electric field distribution on the metamaterial surface at 1.36 THz; (c) electric field distribution on the metamaterial surface at 1.61 THz; (d) electric field distribution on the metamaterial surface at 1.64 THz.
Figure 2. (a) THz transmission spectra of SCT metamaterial; (b) electric field distribution on the metamaterial surface at 1.36 THz; (c) electric field distribution on the metamaterial surface at 1.61 THz; (d) electric field distribution on the metamaterial surface at 1.64 THz.
Photonics 11 01128 g002
Figure 3. (a) Angular scanning results of SCT metamaterial with no analyte and θ step length of 5°; (b) angular scanning results of SCT metamaterial with no analyte and θ step length of 1° and envelope of resonance depression. Scan from 1° to 45°. The red auxiliary line shows the envelope of the Angular scan.
Figure 3. (a) Angular scanning results of SCT metamaterial with no analyte and θ step length of 5°; (b) angular scanning results of SCT metamaterial with no analyte and θ step length of 1° and envelope of resonance depression. Scan from 1° to 45°. The red auxiliary line shows the envelope of the Angular scan.
Photonics 11 01128 g003
Figure 4. (a) Angular scanning results of SCT metamaterial when analyte thickness is 2.0 μm and θ step length is 5°; (b) Angular scanning results of SCT metamaterial and envelope of resonance depression when analyte thickness is 2.0 μm and θ step length is 1°. Scan from 1° to 45°. The red auxiliary line shows the envelope of the Angular scan; (c) the electric field distribution on the surface of the metamaterial at the resonance depression when θ is 6°; (d) the electric field distribution on the metamaterial surface at the resonance depression when θ is 21°; (e) the electric field distribution on the metamaterial surface at the resonance depression when θ is 41°.
Figure 4. (a) Angular scanning results of SCT metamaterial when analyte thickness is 2.0 μm and θ step length is 5°; (b) Angular scanning results of SCT metamaterial and envelope of resonance depression when analyte thickness is 2.0 μm and θ step length is 1°. Scan from 1° to 45°. The red auxiliary line shows the envelope of the Angular scan; (c) the electric field distribution on the surface of the metamaterial at the resonance depression when θ is 6°; (d) the electric field distribution on the metamaterial surface at the resonance depression when θ is 21°; (e) the electric field distribution on the metamaterial surface at the resonance depression when θ is 41°.
Photonics 11 01128 g004
Figure 5. Angular scanning results of different thicknesses of SCT films: (a) t = 0.1 μm; (b) t = 0.3 μm; (c) t = 0.5 μm; (d) t = 0.8 μm; (e) t = 1.0 μm. Scan from 1° to 45°. The red auxiliary line shows the envelope of the Angular scan.
Figure 5. Angular scanning results of different thicknesses of SCT films: (a) t = 0.1 μm; (b) t = 0.3 μm; (c) t = 0.5 μm; (d) t = 0.8 μm; (e) t = 1.0 μm. Scan from 1° to 45°. The red auxiliary line shows the envelope of the Angular scan.
Photonics 11 01128 g005
Figure 6. Resonance sag envelope curves of kresoxim-methyl with different thicknesses.
Figure 6. Resonance sag envelope curves of kresoxim-methyl with different thicknesses.
Photonics 11 01128 g006
Figure 7. Relation between the envelope peak value and the thickness of kresoxim-methyl.
Figure 7. Relation between the envelope peak value and the thickness of kresoxim-methyl.
Photonics 11 01128 g007
Disclaimer/Publisher’s Note: The statements, opinions and data contained in all publications are solely those of the individual author(s) and contributor(s) and not of MDPI and/or the editor(s). MDPI and/or the editor(s) disclaim responsibility for any injury to people or property resulting from any ideas, methods, instructions or products referred to in the content.

Share and Cite

MDPI and ACS Style

Nie, W.; Pan, M.; Shi, Y.; Shu, W.; Li, H.; Yu, W.; Liu, S.; Zhang, Y. A Sensitive THz Fingerprint Sensor Based on Silicon Cylindrical Trimers for the Detection of Kresoxim-methyl. Photonics 2024, 11, 1128. https://doi.org/10.3390/photonics11121128

AMA Style

Nie W, Pan M, Shi Y, Shu W, Li H, Yu W, Liu S, Zhang Y. A Sensitive THz Fingerprint Sensor Based on Silicon Cylindrical Trimers for the Detection of Kresoxim-methyl. Photonics. 2024; 11(12):1128. https://doi.org/10.3390/photonics11121128

Chicago/Turabian Style

Nie, Wanxin, Mengya Pan, Yanpeng Shi, Wenbin Shu, Huanyu Li, Wenyao Yu, Shuo Liu, and Yifei Zhang. 2024. "A Sensitive THz Fingerprint Sensor Based on Silicon Cylindrical Trimers for the Detection of Kresoxim-methyl" Photonics 11, no. 12: 1128. https://doi.org/10.3390/photonics11121128

APA Style

Nie, W., Pan, M., Shi, Y., Shu, W., Li, H., Yu, W., Liu, S., & Zhang, Y. (2024). A Sensitive THz Fingerprint Sensor Based on Silicon Cylindrical Trimers for the Detection of Kresoxim-methyl. Photonics, 11(12), 1128. https://doi.org/10.3390/photonics11121128

Note that from the first issue of 2016, this journal uses article numbers instead of page numbers. See further details here.

Article Metrics

Back to TopTop