Generation of Wideband Signals Based on Continuous-Time Photonic Compression
Abstract
1. Introduction
2. Principle of Operation
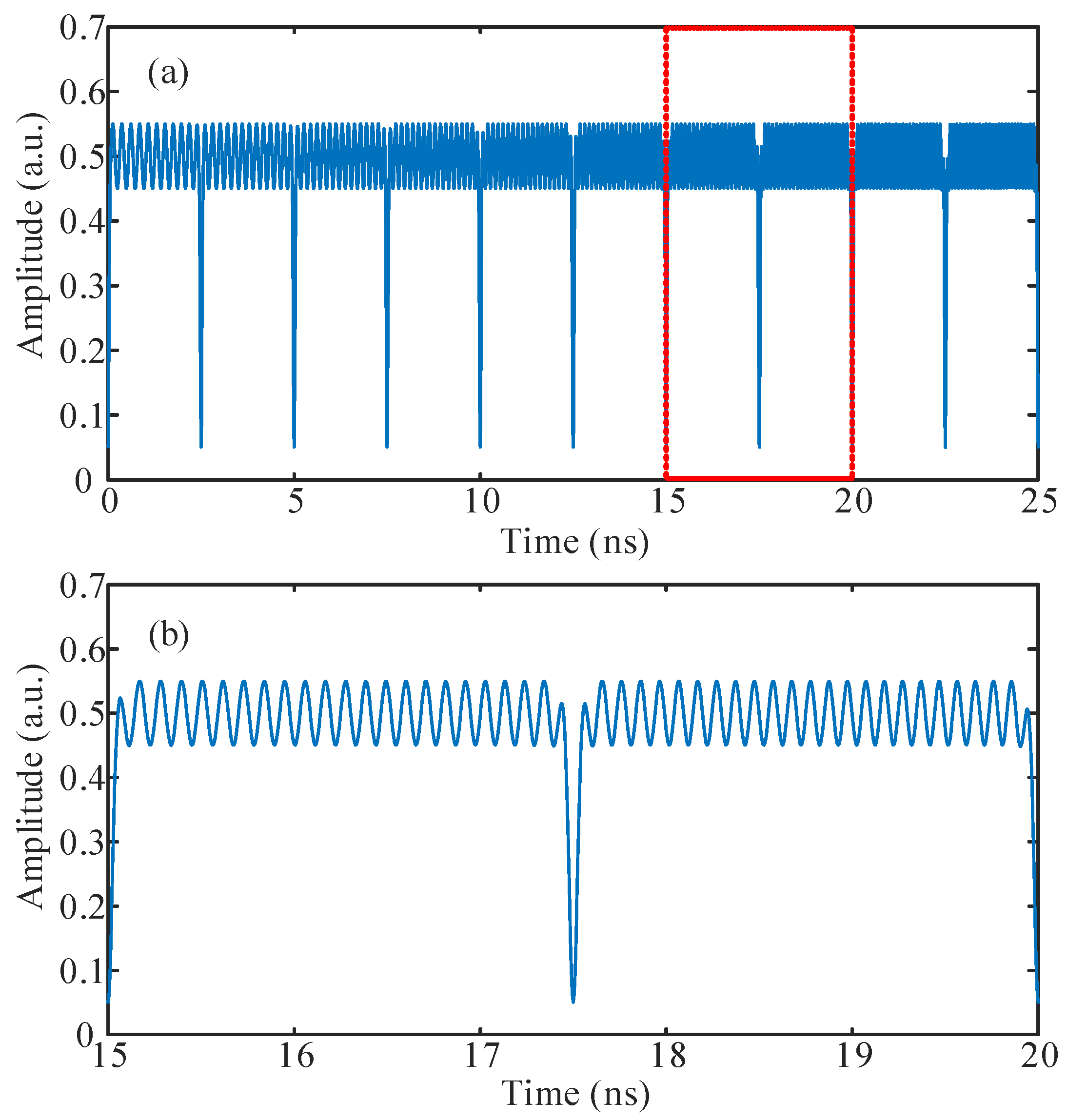
3. Experiment
4. Predistortion Algorithm
5. Discussions
6. Conclusions
Author Contributions
Funding
Institutional Review Board Statement
Informed Consent Statement
Data Availability Statement
Conflicts of Interest
References
- Skolnik, M. Role of radar in microwaves. IEEE Trans. Microw. Theory Tech. 2002, 50, 625–632. [Google Scholar] [CrossRef]
- Chi, H.; Wang, C.; Yao, J. Photonic generation of wideband chirped microwave waveforms. IEEE J. Microw. 2021, 1, 787–803. [Google Scholar] [CrossRef]
- Jiang, Z.; Leaird, D.E.; Weiner, A.M. Line-by-line pulse shaping control for optical arbitrary waveform generation. Opt. Exp. 2005, 13, 10431–10439. [Google Scholar] [CrossRef]
- Chen, L.R. Photonic generation of chirped microwave and millimeter wave pulses based on optical spectral shaping and wavelength-to-time mapping in silicon photonics. Opt. Commun. 2016, 373, 70–81. [Google Scholar] [CrossRef]
- Zhang, F.; Ge, X.; Pan, S. Triangular pulse generation using a dual-parallel Mach–Zehnder modulator driven by a single-frequency radio frequency signal. Opt. Lett. 2013, 38, 4491–4493. [Google Scholar] [CrossRef]
- Saperstein, R.E.; Fainman, Y. Information processing with longitudinal spectral decomposition of ultrafast pulses. Appl. Opt. 2008, 47, A21–A31. [Google Scholar] [CrossRef]
- Jolly, S.W.; Matlis, N.H.; Ahr, F.; Leroux, V.; Eichner, T.; Calendron, A.; Ishizuki, H.; Taira, T.; Kärtner, F.X.; Maier, A.R. Spectral phase control of interfering chirped pulses for high-energy narrowband terahertz generation. Nat. Commun. 2019, 10, 2591–2598. [Google Scholar] [CrossRef]
- Hao, T.; Tang, J.; Li, W.; Zhu, N.; Li, M. Fourier domain mode locked optoelectronic oscillator based on the deamplification of stimulated Brillouin scattering. OSA Continuum 2018, 1, 408–415. [Google Scholar] [CrossRef]
- Shi, J.W.; Kuo, F.M.; Chen, N.W.; Set, S.Y.; Huang, C.B.; Bowers, J.E. Photonic generation and wireless transmission of linearly/nonlinearly continuously tunable chirped millimeter-wave waveforms with high time-bandwidth product at W-band. IEEE Photon. J. 2012, 4, 215–223. [Google Scholar] [CrossRef]
- Coppinger, F.; Bhushan, A.S.; Jalali, B. Photonic time stretch and its application to analog-to-digital conversion. IEEE Trans. Microw. Theory 1999, 47, 1309–1314. [Google Scholar] [CrossRef]
- Dong, X.; Zhou, Y.; Kong, J.; Zhang, F.; Pan, S. High-speed digital-to-analog conversion by fiber-dispersion-based temporal compression. In Proceedings of the 2022 20th International Conference on Optical Communications and Networks (ICOCN), Shenzhen, China, 12–15 August 2022. [Google Scholar]
- Zhang, Y.; Jin, R.; Peng, D.; Lyu, W.; Fu, Z.; Zhang, Z.; Zhang, S.; Li, H.; Liu, Y. Broadband transient waveform digitizer based on photonic time stretch. J. Lightw. Technol. 2021, 39, 2880–2887. [Google Scholar] [CrossRef]
- Fuster, J.M.; Novak, D.; Nirmalathas, A.; Marti, J. Single-sideband modulation in photonic time-stretch analogue-to-digital conversion. Electron. Lett. 2001, 37, 67–68. [Google Scholar] [CrossRef]
- Han, J.; Seo, B.; Han, Y.; Jalali, B.; Fetterman, H.R. Reduction of fiber chromatic dispersion effects in fiber-wireless and photonic time-stretching system using polymer modulators. J. Lightw. Technol. 2003, 21, 1504–1509. [Google Scholar]
- Yang, S.; Wang, J.; Chi, H.; Yang, B. Distortion compensation in continuous-time photonic time-stretched ADC based on redundancy detection. Appl. Opt. 2021, 60, 1646–1652. [Google Scholar] [CrossRef] [PubMed]
- Fard, A.M.; DeVore, P.T.; Solli, D.R.; Jalali, B. Impact of optical nonlinearity on performance of photonic time-stretch analog-to-digital converter. J. Lightw. Technol. 2011, 29, 2025–2030. [Google Scholar] [CrossRef]
- Fard, A.M.; Gupta, S.; Jalali, B. Photonic time-stretch digitizer and its extension to real-time spectroscopy and imaging. Laser Photon. Rev. 2013, 7, 207–263. [Google Scholar] [CrossRef]
- Qian, N.; Zou, W.; Zhang, S.; Chen, J. Signal-to-noise ratio improvement of photonic time-stretch coherent radar enabling high-sensitivity ultrabroad W-band operation. Opt. Lett. 2018, 43, 5869–5872. [Google Scholar] [CrossRef]
- Coppinger, F.; Bhushan, A.S.; Jalali, B. Time reversal of broadband microwave signals. Electron. Lett. 1999, 35, 1230–1232. [Google Scholar] [CrossRef]
- Wang, C.; Li, M.; Yao, J. Continuously tunable photonic microwave frequency multiplication by use of an unbalanced temporal pulse shaping system. IEEE Photon. Technol. Lett. 2010, 22, 1285–1287. [Google Scholar] [CrossRef]
- Li, M.; Wang, C.; Li, W.; Yao, J. An unbalanced temporal pulse-shaping system for chirped microwave waveform generation. IEEE Trans. Microw. Theory 2010, 58, 2968–2975. [Google Scholar] [CrossRef]
- Konishi, T.; Kaihori, Y.; Makino, M. Photonic-assisted arbitrary waveform generation for uplink applications in beyond 5G taking advantage of low frequency technology. J. Lightw. Technol. 2022, 40, 6608–6615. [Google Scholar] [CrossRef]
- Zhang, Y.; Chi, H. An optical front-end for wideband transceivers based on photonic time compression and stretch. Photonics 2022, 9, 658. [Google Scholar] [CrossRef]
- Muriel, M.A.; Azaña, J.; Carballar, A. Real-time Fourier transformer based on fiber gratings. Opt. Lett. 1999, 24, 1–3. [Google Scholar] [CrossRef]
- Mei, Y.; Xu, B.; Chi, H.; Jin, T.; Zheng, S.; Jin, X.; Zhang, X. Harmonics analysis of the photonic time stretch system. Appl. Opt. 2016, 55, 7222–7228. [Google Scholar] [CrossRef]









Disclaimer/Publisher’s Note: The statements, opinions and data contained in all publications are solely those of the individual author(s) and contributor(s) and not of MDPI and/or the editor(s). MDPI and/or the editor(s) disclaim responsibility for any injury to people or property resulting from any ideas, methods, instructions or products referred to in the content. |
© 2024 by the authors. Licensee MDPI, Basel, Switzerland. This article is an open access article distributed under the terms and conditions of the Creative Commons Attribution (CC BY) license (https://creativecommons.org/licenses/by/4.0/).
Share and Cite
Zhou, Z.; Zhang, Y.; Chi, H. Generation of Wideband Signals Based on Continuous-Time Photonic Compression. Photonics 2024, 11, 1019. https://doi.org/10.3390/photonics11111019
Zhou Z, Zhang Y, Chi H. Generation of Wideband Signals Based on Continuous-Time Photonic Compression. Photonics. 2024; 11(11):1019. https://doi.org/10.3390/photonics11111019
Chicago/Turabian StyleZhou, Zhen, Yukang Zhang, and Hao Chi. 2024. "Generation of Wideband Signals Based on Continuous-Time Photonic Compression" Photonics 11, no. 11: 1019. https://doi.org/10.3390/photonics11111019
APA StyleZhou, Z., Zhang, Y., & Chi, H. (2024). Generation of Wideband Signals Based on Continuous-Time Photonic Compression. Photonics, 11(11), 1019. https://doi.org/10.3390/photonics11111019

