Next Article in Journal
Modeling a Fully Polarized Optical Fiber Suitable for Photonic Integrated Circuits or Sensors
Previous Article in Journal
Nonlinear Optical Microscopic Imaging for Real-Time Gaseous Chemical Sensing
 
 
Font Type:
Arial Georgia Verdana
Font Size:
Aa Aa Aa
Line Spacing:
Column Width:
Background:
Article

Enhancing the Cooling of a Rotating Mirror in a Laguerre–Gaussian Cavity Optorotational System via Nonlinear Cross-Kerr Interaction

1
Zhejiang Key Laboratory of Quantum State Control and Optical Field Manipulation, Department of Physics, Zhejiang Sci-Tech University, Hangzhou 310018, China
2
School of Science, Zhejiang Sci-Tech University, Hangzhou 310018, China
*
Author to whom correspondence should be addressed.
Photonics 2024, 11(10), 960; https://doi.org/10.3390/photonics11100960
Submission received: 30 July 2024 / Revised: 10 October 2024 / Accepted: 10 October 2024 / Published: 13 October 2024
(This article belongs to the Section Quantum Photonics and Technologies)

Abstract

The cooling of a macroscopic mechanical oscillator to its quantum ground state is an important step for achieving coherent control over mechanical quantum states. Here, we theoretically study the cooling of a rotating mirror in a Laguerre–Gaussian (L-G) cavity optorotational system with a nonlinear cross-Kerr (CK) interaction. We discuss the effects of the nonlinear CK coupling strength, the cavity detuning, the power of the input Gaussian beam, the topological charge (TC) of the L-G cavity mode, the mass of the rotating mirror, and the cavity length on the cooling of the rotating mirror. We find that it is only possible to realize the improvement in the cooling of the rotating mirror by the nonlinear CK interaction when the cavity detuning is less than the mechanical frequency. Compared to the case without the nonlinear CK interaction, we find that the cooling of the rotating mirror can be improved by the nonlinear CK interaction at lower laser powers, smaller TCs of the L-G cavity mode, larger masses of a rotating mirror, and longer optorotational cavities. We show that the cooling of the rotating mirror can be enhanced by the nonlinear CK interaction by a factor of about 23.3 compared to that without the nonlinear CK interaction.

1. Introduction

In the last two decades, there has been a great surge of interest in optomechanical systems due to their potential applications in the exploration of the quantum–classical boundary of massive objects [1] and high-precision measurement [2]. The optomechanical systems are composed of optical modes coupled to micro- and nanomechanical oscillators by way of radiation pressure of light. Due to the coupling of the mechanical oscillator to the thermal environment, the inevitably thermal noise acting on the mechanical oscillator is the main obstacle towards observing quantum phenomena in the optomechanical system. Thus, cooling the mechanical oscillator down to its ground state is a necessary step to observe quantum phenomena in such a system. Up to now, many different methods have been employed to cool the mechanical oscillator. It has been reported that the mechanical oscillator can be cooled to near its quantum mechanical ground state with the aid of the measurement-based feedback loop [3,4,5] and the coherent feedback loop [6,7,8]. Moreover, it has been shown theoretically that a mechanical oscillator can be cooled down to near its quantum ground state in the resolved-sideband limit [9,10,11], which has been demonstrated experimentally [12,13,14]. It is noted that the method used in [9,10] is based on the steady-state of the system, whereas the method used in [11] is based on a dynamical process. In the experiments [12,13,14], the phonon number of the mechanical oscillator has been reduced to 0.34, 0.85, and 0.09 from 20 mK, 20 K, and 2 K, respectively. In addition, it has been shown that the ground state of the mechanical oscillator in the unresolved sideband regime can be approached by using a pulsed cooling scheme [15,16] and using electromagnetically induced transparency [17,18]. Additionally, it has been pointed out that the ground-state cooling of the mechanical oscillator can be reached by combining the optomechanical system with identical ground-state two-level atoms [19], an optical parametric amplifier [20,21], a second microwave (or optical) auxiliary resonator [22], a squeezed light [23], an incoherent thermal light [24], a three-level atomic ensemble [25], two controllable external optical driving fields [26], an auxiliary high-quality optical cavity [27], and two red-detuned driving lasers [28].
In 2007, Bhattacharya and Meystre proposed a Laguerre–Gaussian (L-G) cavity optorotational system, in which a L-G cavity mode is coupled to a macroscopic rotating mirror through radiation torque [29]. The L-G beam is characterized by a helical wavefront and a doughnut-shaped intensity distribution [30]. It carries an orbital angular momentum of l per photon with l being the topological charge (TC) value [30]. Experimentally, there are many methods to generate the L-G beam, including spatial light modulators [31], spiral phase plate [32], and computer-generated holograms [33]. It has been pointed out that the phonon number of the rotating mirror can be reduced to less than 1 from 3 K due to the exchange of orbital angular momentum from a L-G cavity mode to the rotating mirror [29], which allows one to observe many physical phenomena in such systems. Feng et al. have shown the electromechanically induced transparency behavior in an L-G cavity optorotational system, and found that the TC carried by the L-G cavity mode can be detected via measuring the linewidth of the window of eletromechanically induced transparency [34]. Peng et al. have studied the double electromagnetically induced transparency in an L-G cavity optorotational system with two mechanical modes [35]. Abbas et al. have investigated the double electromechanically induced transparency behavior in the double optomechanical cavities, in which one cavity is the L-G cavity [36]. Xiong et al. have found that the L-G sum-sideband generation can be remarkable even at a lower input laser power under matching conditions [37]. Mahmoudi et al. have studied the influence of the coupling power and the cavity detuning on the second-order upper sideband generation in the L-G cavity optorotational system [38]. Bhattacharya et al. have shown that radiation torque can give rise to the entanglement between an L-G cavity mode and a rotating mirror [39]. Chen et al. have studied the stationary entanglement between the two rotating mirrors coupled to the same L-G cavity field [40]. Cheng et al. have shown that the genuine tripartite entanglement among the L-G cavity mode, the magnon mode, and the phonon mode in a hybrid rotating cavity optorotational system [41]. Lai et al. have studied that the cross-Kerr interaction can enhance the stationary entanglement between an L-G cavity mode and a rotating mirror [42]. Liu et al. have studied that a rotating mirror can be cooled close to its ground state in a double L-G cavity optorotational system with a two-level atomic ensemble [43].
The optical Kerr effect is the change in the refractive index of a nonlinear medium when a strong signal wave is applied [44], and the change in the refractive index is proportional to the intensity of the signal field. For two electric fields acting on a nonlinear medium simultaneously, the cross-Kerr (CK) effect is generated, and the variation in the refractive index of the nonlinear medium related to the propagation of one field is proportional to the intensity of the other [45]. During the past several decades, CK nonlinearity can complete many tasks in quantum information processing, such as constructing quantum phase gates [46], creating macroscopic quantum superposition states [47], completing quantum teleportation [48], and realizing entanglement purification [49]. Recent papers have shown that a CK type of coupling can appear between a micromechanical resonator and a microwave cavity field by using a Josephson junction qubit [50,51]. The reason is that there is a change in the photon Stark shift due to the phonon-driven qubit Stark shift, and it implies a term of the form c c a a , which is of the form of the CK effect between the microwave cavity mode c and the mechanical mode a [50]. The nonlinear CK coupling strength g c k depends on the radiation-pressure coupling strength g 0 , the Josephson energies, the charging energy of a single electron, and so on [50], and it is estimated that g c k can be about 0.25 g 0 [50]. The CK coupling can also appear in a cold Rydberg gas [52] and a ferrimagnetic crystal [53]. In the past few years, the optomechanical systems with a nonlinear CK coupling are a subject of growing interest. For instance, it has been found that the CK coupling can affect the mechanical frequency shift, the optical damping rate, and the mechanical cooling [54], the stable behavior of the intracavity photon number [55,56], the optical nonreciprocity [57], the photon blockade effect [58], and the steady-state entanglement between the optical and mechanical modes [59,60].
In this paper, we study the cooling of the rotating end mirror in a L-G cavity optorotational system in the presence of the nonlinear CK interaction. We analyze how the nonlinear CK interaction strength, the cavity detuning, the power of the input Gaussian beam, the TC of the L-G cavity mode, the mass of the rotating mirror, and the cavity length affect the cooling of the rotating end mirror. In the presence of the nonlinear CK interaction, we find that it is possible to improve the cooling of the rotating end mirror only when the cavity detuning is less than the frequency of the rotating end mirror. With the nonlinear CK interaction, the cooling of the rotating end mirror can be substantially improved at lower input powers, smaller TCs of the L-G cavity mode, larger masses of the rotating mirror, and longer optical cavity.
The remainder of this paper is organized as follows. In Section 2, we introduce the theoretical model under study, give the Hamiltonian of the coupled system, and derive the time evolution equations, and calculate the steady-state solution to the time evolution equations. In Section 3, we calculate the variances of the angular displacement and the angular momentum of the rotating end mirror in the steady-state. In Section 4, we analyze the influence of the nonlinear CK interaction strength, the cavity detuning, the power of the input Gaussian beam, the TC of the L-G cavity mode, the mass of the rotating end mirror, and the cavity length on the cooling of the rotating end mirror. In Section 5, we summarize our results.

2. Model

Our hybrid system consists of a one-dimensional L-G cavity optorotational system [29] with nonlinear CK interaction, as shown in Figure 1. The L-G cavity optorotational system is formed by two spiral phase elements separated by a distance of L. The left one is a fixed partially transmitting mirror, while the right one is a totally reflective mirror rotating about the z axis. Spiral phase elements are used to modify the TC of the light beams. The left mirror does not change the TC of the light beam transmitting through it, but reduces a TC 2 l from the light beam upon reflection, while the right mirror adds a TC 2 l to the light beam upon reflection. When a Gaussian light beam with TC zero is injected on the left mirror, an L-G cavity mode is built up in the cavity. The TCs of the light beams at different positions along the z axis are shown in Figure 1. When the photons in the cavity interact with the rotating end mirror, the angular momentum exchange between them leads to a radiation torque applied to the rotating end mirror, causing the rotating end mirror to oscillate about the z axis. During the time 2 L / c taken by the photons in the cavity to travel each round trip, the angular momentum exchange between a photon in the cavity and the rotating end mirror is 2 l ; thus, the optical torque exerted on the rotating end mirror is equal to the angular momentum exchange per unit time is 2 l / ( 2 L / c ) = g ϕ , where g ϕ = c l L is the coupling parameter between a single intracavity photon and the rotating end mirror, c is the light speed in vacuum, and l is the TC of the cavity mode. The rotating end mirror is a thin disk with mass m, radius R, rotational frequency ω m , and damping rate γ m . Thus, I = 1 2 m R 2 is the moment of inertia of the rotating end mirror about the z axis passing through its center, and the rotating end mirror can be modeled as a damped harmonic oscillator. The angular displacement and conjugate angular momentum operators of the rotating end mirror are denoted by ϕ and L z , respectively. We define the annihilation (creation) operator b ( b ) of the rotating end mirror as b = 1 2 ( ϕ + i L z ) ( b = 1 2 ( ϕ i L z ) ), respectively. In the adiabatic limit, the frequency ω m of the rotating end mirror satisfies ω m π c / L , the mirror rotates so slowly that we can consider one cavity mode at frequency ω c only, and the photons at other frequencies generated by the movement of the rotating end mirror can be neglected [61]. Under the adiabatic approximation, the photons produced by the Casimir effect [62] and the rotational Doppler effect [63] can be ignored. In addition, we assume that an additional CK coupling exists between the cavity field and the rotating end mirror [51].
The Hamiltonian of the entire optorotational system with the nonlinear CK interaction is given by
H 0 = H o p t + H c k .
In Equation (1), H o p t is the Hamiltonian of the optorotational system without the nonlinear CK interaction, and is given by
H o p t = ω c a a + ω m b b g a a ( b + b ) + i ε ( a e i ω l t a e i ω l t ) ,
where the first term is the energy of the cavity field, a and a are the annihilation and creation photon operators in the cavity, satisfying the commutation relation [ a , a ] = 1 , the second term is the energy of the rotating end mirror, the third term describes the interaction between the cavity field and the rotating end mirror, and g characterizes the single-photon optorotational coupling rate and is related to the original coupling constant g ϕ by g = g ϕ 2 I ω m , the final term denotes that the cavity field is driven by a Gaussian beam with amplitude ε = 2 κ ω l . It is noted that ε is proportional to the square root of the input laser power and the cavity decay rate κ . In Equation (1), H c k is the Hamiltonian corresponding to the nonlinear CK interaction, and is given by
H c k = g c k a a b b .
where a a denotes the photon number operator for the cavity field and b b denotes the phonon number operator for the rotating end mirror. To transform the Hamiltonian of the system into the rotating frame, which rotates at the drive frequency ω l , we apply the unitary transformation S = exp ( i ω l a a t ) . Then, the total Hamiltonian for the coupled field-mirror system can be written as
H = S H 0 S + i S H 0 t S , = ( ω c ω l ) a a + ω m b b g a a ( b + b ) g c k a a b b + i ε ( a a ) ,
According to the Heisenberg equation of motion, the quantum dynamics of the considered system can be described by the following equations:
a ˙ = [ κ + i ( ω c ω l ) ] a + i g a ( b + b ) + i g c k a b b + ε + 2 κ a i n , b ˙ = ( γ m 2 + i ω m ) b + i g a a + i g c k a a b + γ m b i n ,
where we have included the corresponding damping and noise terms, a i n describes the vacuum noise entering the cavity through the fixed mirror, and b i n describes the thermal noise acting on the rotating end mirror due to its contact with the thermal environment at temperature T. The expectation values of a i n and b i n vanish at all times, i.e., a i n ( t ) = b i n ( t ) = 0 . Under the Markov approximation, the time correlation functions for the input noise operators a i n and b i n are given by
a i n ( t ) a i n ( t ) = δ ( t t ) , b i n ( t ) b i n ( t ) = n t h δ ( t t ) , b i n ( t ) b i n ( t ) = ( n t h + 1 ) δ ( t t ) ,
where n t h = ( e ω m / ( k B T ) 1 ) 1 is the mean thermal phonon number of the rotating end mirror, and k B is the Boltzmann constant. When the system reaches the steady-state, the expectation values of the system operators are found to be
a s = ε κ + i [ Δ 0 g ( b s + b s * ) g c k | b s | 2 ] , b s = i g | a s | 2 γ m 2 + i ( ω m g c k | a s | 2 ) ,
where Δ 0 = ω c ω l is the cavity detuning with respect to the frequency ω l of the input Gaussian beam, a s is the cavity amplitude at the steady-state, and b s is the mechanical amplitude at the steady-state. Notably, the stationary amplitudes a s and b s are dependent on the optorotational coupling rate g and the nonlinear CK interaction strength g c k . In the absence of the optorotational coupling ( g = 0 ), the stationary mechanical amplitude is b s = 0, the stationary angular displacement is ϕ s = 0 , and the stationary cavity amplitude is a s = ε κ + i Δ 0 , thus the cavity field and the rotating end mirror are decoupled.

3. Quantum Fluctuations

We are here concerned with the cooling of the rotating end mirror; thus, we need to calculate the small quadrature fluctuations of the rotating end mirror. We assume that an external strong Gaussian laser beam drives an L-G cavity mode. Thus, the operators a and b can be decomposed into the sum of the expectation values o s and the small fluctuations δ o , i.e., o = o s + δ o ( o = a , b ). Only taking into account the first order in the small fluctuations, we obtain the linearized equations for the fluctuations δ a and δ b
δ a ˙ = ( κ + i Δ ) δ a + i a s G * δ b + i a s G δ b + 2 κ a i n , δ b ˙ = ( γ m 2 + i ω ¯ m ) δ b + i a s * G δ a + i a s G δ a + γ m b i n ,
where Δ = Δ 0 g ( b s + b s * ) g c k | b s | 2 , G = g + g c k b s , and ω ¯ m = ω m g c k | a s | 2 . In Equation (8), the dependence of δ a ˙ ( δ b ˙ ) on δ b ( δ a ) represents the beam-splitter interaction, which leads to the cooling of the rotating end mirror, and the dependence of δ a ˙ ( δ b ˙ ) on δ b ( δ a ) represents the two-mode squeezing interaction, which leads to the heating of the rotating end mirror [64].
The dimensionless quadrature fluctuations of the rotating end mirror are given by δ ϕ = 1 2 ( δ b + δ b ) , δ L z = 1 i 2 ( δ b δ b ) . The dimensionless quadrature fluctuations of the cavity field are given by δ x = 1 2 ( δ c + δ c ) and δ y = 1 i 2 ( δ c δ c ) . The dimensionless quadrature fluctuations of the thermal noise of the rotating end mirror are given by ϕ i n = 1 2 ( b i n + b i n ) , L z i n = 1 i 2 ( b i n b i n ) . The dimensionless quadrature fluctuations of the input vacuum noise are given by x i n = 1 2 ( c i n + c i n ) and y i n = 1 i 2 ( c i n c i n ) . Then, based on Equation (8), we obtain the equations of motion for the quadrature fluctuations of the mechanical and cavity modes
f ˙ ( t ) = Λ f ( t ) + n ( t ) ,
where f ( t ) is the column vector of the quadrature fluctuations of the mechanical and cavity modes, n ( t ) is the column vector of the noises of the mechanical and cavity modes, their transposes are given by
f ( t ) T = ( δ ϕ , δ L z , δ x , δ y ) , n ( t ) T = ( γ m ϕ i n , γ m L z i n , 2 κ x i n , 2 κ y i n ) ;
and Λ is a 4 × 4 matrix given by
Λ = γ m 2 ω ¯ m α β ω ¯ m γ m 2 A B B β κ Δ A α Δ κ ,
where u = 1 2 ( a s + a s * ) , v = 1 i 2 ( a s a s * ) , ρ = 1 2 ( G + G * ) , σ = 1 i 2 ( G G * ) , α = u σ , β = v σ , A = u ρ , and B = v ρ . The stability of the coupled system is determined by the real parts of the eigenvalues of the matrix Λ . If all the real parts of the eigenvalues of the matrix Λ are negative, the coupled system is stable. We apply the Routh–Hurwitz stability criterion [65] to derive the stability conditions for the system, which yields
s 1 = ( Δ 2 + κ 2 ) ( γ 2 4 + ω ¯ m 2 ) ( u 2 + v 2 ) ( ρ 2 + σ 2 ) Δ ω ¯ m > 0 , s 2 = w { γ m [ Δ 2 + κ ( κ + γ m 2 ) ] + 2 κ ω ¯ m 2 } ( 2 κ + γ m ) 2 s 1 > 0 ,
where w = [ 2 κ ( κ 2 + 2 κ γ m + Δ 2 + γ m 2 4 ) ] + γ m ( 3 2 κ γ m + γ m 2 4 + ω ¯ m 2 ) .
In Equation (9), we make a Fourier transform of the fluctuation and noise operators and solve it, and we find the fluctuations of angular displacement and angular momentum of the rotating end mirror in the frequency domain,
δ ϕ ( ω ) = U 1 ( ω ) x i n ( ω ) + U 2 ( ω ) y i n ( ω ) + U 3 ( ω ) ϕ i n ( ω ) + U 4 ( ω ) L z i n ( ω ) , δ L z ( ω ) = V 1 ( ω ) x i n ( ω ) + V 2 ( ω ) y i n ( ω ) + V 3 ( ω ) ϕ i n ( ω ) + V 4 ( ω ) L z i n ( ω ) ,
where
U 1 ( ω ) = 1 d ( ω ) { [ ω ¯ m α M 2 ( ω ) β N 2 ( ω ) ] [ A M 3 ( ω ) + B N 3 ( ω ) ] R 2 ( ω ) [ α M 3 ( ω ) + β N 3 ( ω ) ] } , U 2 ( ω ) = 1 d ( ω ) { [ ω ¯ m α M 2 ( ω ) β N 2 ( ω ) ] [ A M 4 ( ω ) + B N 4 ( ω ) ] R 2 ( ω ) [ α M 4 ( ω ) + β N 4 ( ω ) ] } , U 3 ( ω ) = γ m d ( ω ) R 2 ( ω ) , U 4 ( ω ) = γ m d ( ω ) [ ω ¯ m α M 2 ( ω ) β N 2 ( ω ) ] ,
V 1 ( ω ) = 1 d ( ω ) { [ ω ¯ m A M 1 ( ω ) B N 1 ( ω ) ] [ α M 3 ( ω ) + β N 3 ( ω ) ] + R 1 ( ω ) [ A M 3 ( ω ) + B N 3 ( ω ) ] } , V 2 ( ω ) = 1 d ( ω ) { [ ω ¯ m A M 1 ( ω ) B N 1 ( ω ) ] [ α M 4 ( ω ) + β N 4 ( ω ) ] + R 1 ( ω ) [ A M 4 ( ω ) + B N 4 ( ω ) ] } , V 3 ( ω ) = γ m d ( ω ) [ ω ¯ m A M 1 ( ω ) B N 1 ( ω ) ] , V 4 ( ω ) = γ m d ( ω ) R 1 ( ω ) ,
and R 2 ( ω ) = γ m 2 i ω A M 2 ( ω ) B N 2 ( ω ) , R 1 ( ω ) = γ m 2 i ω + α M 1 ( ω ) + β N 1 ( ω ) , Γ ( ω ) = ( κ i ω ) 2 + Δ 2 , M 1 ( ω ) = [ B ( κ i ω ) + Δ A ] / Γ ( ω ) , M 2 ( ω ) = [ β ( κ i ω ) + Δ α ] / Γ ( ω ) , M 3 ( ω ) = 2 κ ( κ i ω ) / Γ ( ω ) , M 4 ( ω ) = 2 κ Δ / Γ ( ω ) , N 1 ( ω ) = [ A ( κ i ω ) + Δ B ] / Γ ( ω ) , N 2 ( ω ) = [ α ( κ i ω ) + Δ β ] / Γ ( ω ) , N 3 ( ω ) = 2 κ Δ / Γ ( ω ) , N 4 ( ω ) = 2 κ ( κ i ω ) / Γ ( ω ) , and d ( ω ) = R 1 ( ω ) R 2 ( ω ) + [ ω ¯ m A M 1 ( ω ) B N 1 ( ω ) ] [ ω ¯ m α M 2 ( ω ) β N 2 ( ω ) ] . In Equation (13), the first two terms of δ ϕ ( ω ) and δ L z ( ω ) are the contributions of the input vacuum noise, and the last two terms are the contributions of the thermal noise of the rotating end mirror. The spectra of fluctuations in angular displacement and angular momentum of the rotating end mirror can be calculated by
S ϕ ( ω ) = 1 4 π + d Ω e i ( ω + Ω ) t [ δ ϕ ( ω ) δ ϕ ( Ω ) + δ ϕ ( Ω ) δ ϕ ( ω ) ] , S L z ( ω ) = 1 4 π + d Ω e i ( ω + Ω ) t [ δ L z ( ω ) δ L z ( Ω ) + δ L z ( Ω ) δ L z ( ω ) ] .
With the aid of the correlation functions of the system noises in the frequency domain,
x i n ( ω ) x i n ( Ω ) = y i n ( ω ) y i n ( Ω ) = 1 2 2 π δ ( ω + Ω ) , x i n ( ω ) y i n ( Ω ) = y i n ( ω ) x i n ( Ω ) = i 2 2 π δ ( ω + Ω ) , ϕ i n ( ω ) ϕ i n ( Ω ) = L z i n ( ω ) L z i n ( Ω ) = ( n t h + 1 2 ) 2 π δ ( ω + Ω ) , ϕ i n ( ω ) L z i n ( Ω ) = L z i n ( ω ) ϕ i n ( Ω ) = i 2 2 π δ ( ω + Ω ) ,
we find that the spectra of fluctuations in the angular displacement and angular momentum of the rotating end mirror is as follows:
S ϕ ( ω ) = 1 2 [ U 1 ( ω ) U 1 ( ω ) + U 2 ( ω ) U 2 ( ω ) ] + ( n t h + 1 2 ) [ U 3 ( ω ) U 3 ( ω ) + U 4 ( ω ) U 4 ( ω ) ] , S L z ( ω ) = 1 2 [ V 1 ( ω ) V 1 ( ω ) + V 2 ( ω ) V 2 ( ω ) ] + ( n t h + 1 2 ) [ V 3 ( ω ) V 3 ( ω ) + V 4 ( ω ) V 4 ( ω ) ] ,
where the first two terms of S ϕ ( ω ) and S L z ( ω ) arise from the input vacuum noise, and the last two terms are from the thermal noise of the rotating end mirror. The variances of the angular displacement and angular momentum of the rotating end mirror are calculated as follows:
δ ϕ 2 = 1 2 π + d ω S ϕ ( ω ) , δ Ł z 2 = 1 2 π + d ω S L z ( ω ) .
Furthermore, from the mean energy of the rotating end mirror at the steady-state ω m 2 [ δ ϕ 2 + δ Ł z 2 ] = ω m ( n e f f + 1 2 ) , we obtain the effective mean phonon number n e f f of the rotating end mirror
n e f f = 1 2 [ δ ϕ 2 + δ Ł z 2 1 ] .
When n e f f = 0 , the rotating end mirror is in the quantum ground state. Moreover, we introduce the ratio of the variance of the angular displacement of the rotating end mirror to the variance of the angular momentum of the rotating end mirror r = δ ϕ 2 δ Ł z 2 to show the relative importance of fluctuations in the angular displacement and angular momentum of the rotating end mirror.

4. The Cooling of the Rotating End Mirror in the Presence of the Nonlinear CK Interaction

In this section, we show how the cavity detuning Δ 0 , the nonlinear CK strength g c k , the power of the input Gaussian beam, the value l of the TC of the L-G cavity mode, the mass m of the rotating end mirror, and the cavity length L affect the cooling of the rotating end mirror.
The parameters we use are close to those from Ref. [39]: the wavelength of the input Gaussian laser is λ = 810 nm, the cavity decay rate is κ = 2 π × 1.5 MHz, the radius, resonance frequency, and damping rate of the rotating end mirror are R = 10 μm, ω m = 2 π × 10 MHz, and γ m = 2 π × 5 Hz, respectively; thus, the quality factor of the rotating end mirror is Q m = ω m / γ m = 2 × 10 6 . The system is working in the resolved-sideband regime due to κ / ω m = 0.15 1 . The temperature of the environment is T = 0.1 K, the corresponding mean phonon number n t h of the rotating end mirror is about 207.769.
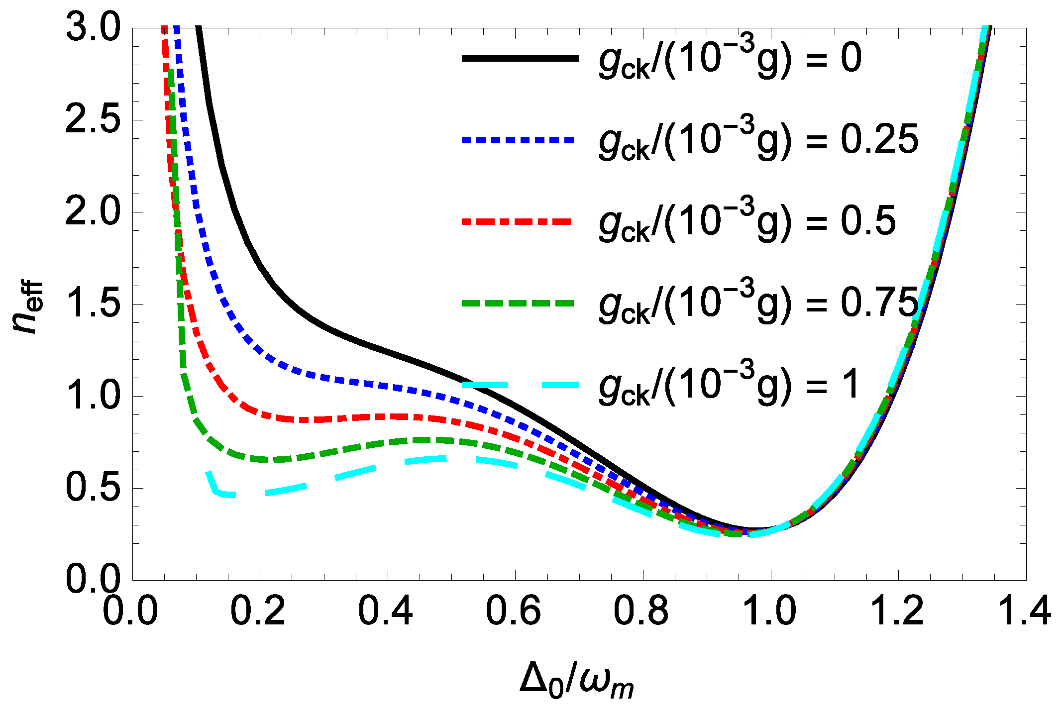
In Figure 2, we illustrate the effect of the normalized cavity detuning Δ 0 / ω m on the effective mean phonon number n e f f of the rotating end mirror for various values of the nonlinear CK strength g c k when m = 100 ng, L = 1 mm, = 1 mW, and l = 20 . Through calculations, we find g / ω m 1.24 × 10 6 1 , thus the system is in the single-photon weak-coupling regime. For g c k / ( 10 3 g ) = 0 , 0.25, 0.5, 0.75, 1, the stability conditions require that the cavity detuning Δ 0 must be not less than 0.001   ω m , 0.005   ω m , 0.009   ω m , 0.041   ω m , and 0.116   ω m , respectively. Thus, by increasing the nonlinear CK strength g c k , the system becomes stable at a larger cavity detuning Δ 0 . For g c k / ( 10 3 g ) = 0 , 0.25, 0.5, 0.75, 1, the minimum effective mean phonon number n e f f of the rotating end mirror is 0.269, 0.263, 0.256, 0.250, and 0.244 at Δ 0 = 0.98   ω m , 0.97   ω m , 0.964   ω m , 0.956   ω m , and 0.94   ω m , respectively. Thus, by increasing the nonlinear CK strength g c k , the minimum effective mean phonon number n e f f of the rotating end mirror decreases a little, and this also occurs at a smaller cavity detuning Δ 0 . Moreover, when the cavity detuning Δ 0 is much less than the resonance frequency ω m of the rotating end mirror, the improvement in the cooling of the rotating end mirror by the nonlinear CK interaction is more apparent. When Δ 0 = 0.35   ω m , without the nonlinear CK interaction ( g c k = 0 ), the effective mean phonon number n e f f of the rotating end mirror is about 1.302, with the nonlinear CK interaction, the effective mean phonon number n e f f of the rotating end mirror for g c k / ( 10 3 g ) = 0.25 , 0.5, 0.75, 1 are about 1.076, 0.884, 0.722, and 0.586, respectively—factors of about 1.2, 1.5, 1.8, and 2.2 lower than those without the nonlinear CK interaction. However, when the cavity detuning Δ 0 is not less than the resonance frequency ω m of the rotating end mirror, it is seen that the cooling of the rotating end mirror could not be improved by the nonlinear CK interaction.
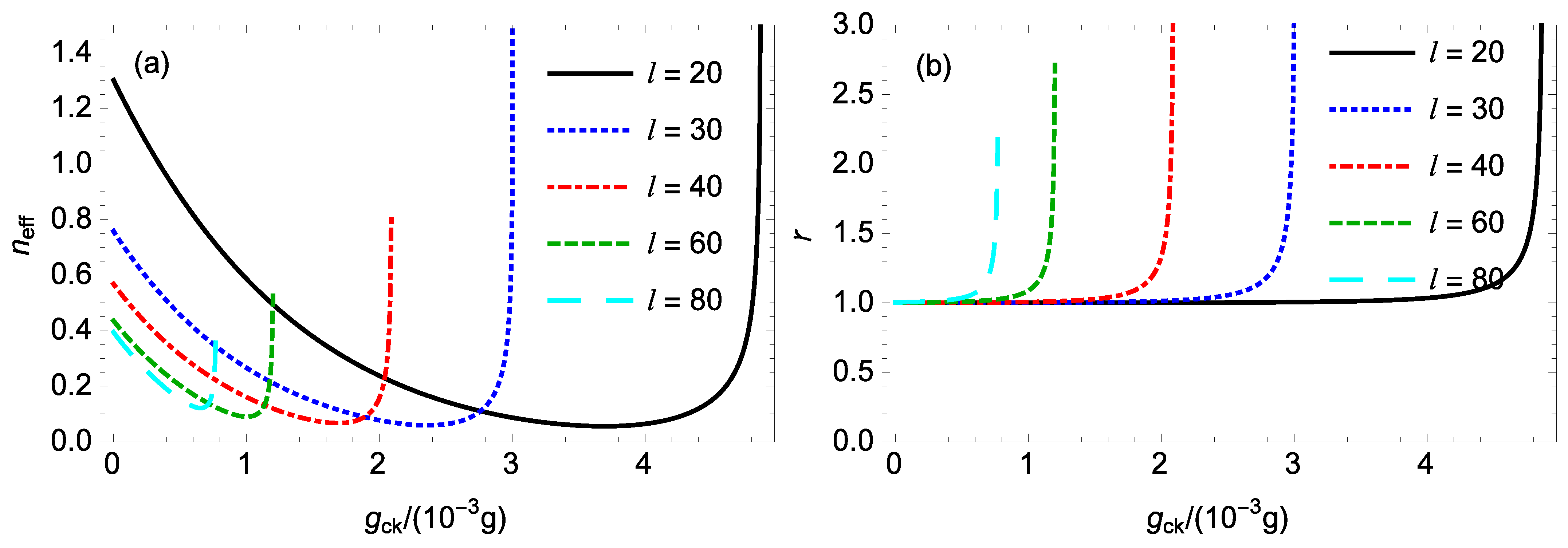
Figure 3a shows the effective mean phonon number n e f f of the rotating end mirror against the normalized nonlinear CK strength g c k / ( 10 3 g ) for various values l of the TC of the L-G cavity mode when m = 100 ng, L = 1 mm, = 1 mW, and Δ 0 = 0.35 ω m . For l = 20 , 30 , 40 , 60 , and 80, the stability conditions require that the normalized nonlinear CK strength g c k / ( 10 3 g ) must not exceed 4.87, 3.01, 2.09, 1.2, and 0.77, respectively. Thus, increasing the value l of the TC of the L-G cavity mode makes the system unstable at a smaller value of g c k / ( 10 3 g ) . For a fixed value l of the TC of the L-G cavity mode, with an increase in the nonlinear CK strength g c k , the effective mean phonon number n e f f of the rotating end mirror first decreases, and then increases before the unstable regime of the system. Thus, it is possible to improve the cooling of the rotating end mirror by increasing the nonlinear CK strength g c k , which is the result of the competition between the two-mode squeezing interaction and the beam-splitter interaction shown in Equation (8). Without the nonlinear CK interaction ( g c k = 0 ), the effective mean phonon number n e f f of the rotating end mirror for l = 20 , 30, 40, 60, and 80 is about 1.302, 0.758, 0.568, 0.436, and 0.394, respectively. Thus, when the nonlinear CK interaction is absent ( g c k = 0 ), increasing the value l of the TC of the L-G cavity mode can enhance the cooling of the rotating end mirror. This is due to the fact that a larger value l of the TC leads to a larger optorotational coupling strength g since g l . With the nonlinear CK interaction, the minimum effective mean phonon number n e f f of the rotating end mirror for l = 20 , 30 , 40 , 60 , and 80 is 0.056, 0.059, 0.067, 0.090, and 0.121 at g c k / ( 10 3 g ) = 3.7 , 2.36, 1.68, 1, and 0.65, respectively. Thus, with increasing the value l of the TC of the L-G cavity mode, the minimum effective mean phonon number n e f f of the rotating end mirror increases, and it takes place at a smaller value of g c k / ( 10 3 g ) . For l = 20 , 30 , 40 , 60 , and 80, the cooling of the rotating end mirror can be maximally enhanced by the nonlinear CK interaction by a factor of about 23.3, 12.8, 8.5, 4.8, and 3.3, compared to that in the absence of the nonlinear CK interaction, respectively. Hence, the maximum improvement factor for the mirror cooling by the nonlinear CK interaction reduces with an increase in the value l of the TC of the L-G cavity mode. Figure 3b shows that the dependence of the ratio r on the normalized nonlinear CK strength g c k / ( 10 3 g ) for different values l of the TC of the L-G cavity mode when m = 100 ng, L = 1 mm, = 1 mW, and Δ 0 = 0.35   ω m . Without the nonlinear CK interaction ( g c k = 0 ), the ratio r is about equal to 1, which means that the angular displacement variance δ ϕ 2 of the rotating end mirror is almost equal to the angular momentum variance δ L z 2 of the rotating end mirror. With the nonlinear CK interaction ( g c k 0 ), it is seen that the ratio r is still almost equal to 1 with an increase in g c k / ( 10 3 g ) , but when g c k / ( 10 3 g ) is close to the instability threshold, the ratio r increases nonlinearly with increasing g c k / ( 10 3 g ) and reaches the maximum value just before the unstable regime of the system. When the ratio r is larger than 1, the angular displacement variance δ ϕ 2 of the rotating end mirror is larger than the angular momentum variance δ L z 2 of the rotating end mirror. This is different from the case by using the degenerate optical parametric amplifier to improve the stochastic feedback cooling of the moving mirror in an optomechanical system [66], in which the the ratio r is less than 1, and the displacement variance of the moving mirror is less than the momentum variance of the moving mirror.
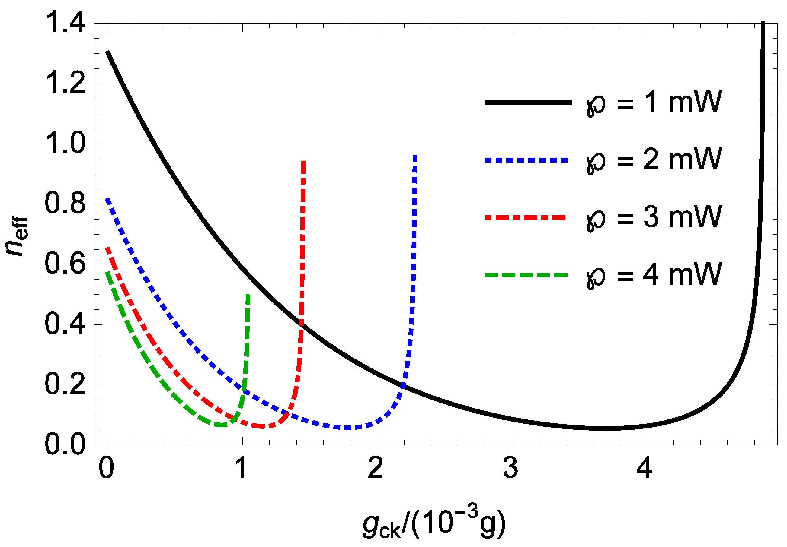
Figure 4a shows the effective mean phonon number n e f f of the rotating end mirror against the normalized nonlinear CK strength g c k / ( 10 3 g ) for different powers of the input Gaussian beam when m = 100 ng, L = 1 mm, l = 20 , and Δ 0 = 0.35   ω m . For = 1 , 2 , 3 , and 4 mW, the stability conditions require that the normalized nonlinear CK strength g c k / ( 10 3 g ) must not exceed 4.87, 2.28, 1.45, and 1.04, respectively. Thus, for a higher input power , the system becomes unstable at a smaller nonlinear CK strength g c k . For a given power of the input laser, with an increase in the nonlinear CK strength g c k , the effective mean phonon number n e f f of the rotating end mirror first decreases, and then increases before the system goes into the unstable regime, which is similar to Figure 3a. Thus, it is possible to enhance the cooling of the rotating end mirror by increasing the nonlinear CK interaction strength g c k . Without the nonlinear CK interaction ( g c k = 0 ), the effective mean phonon number n e f f of the rotating end mirror for = 1 , 2 , 3 , and 4 mW is about 1.302, 0.812, 0.649, and 0.568, respectively. Thus, when the nonlinear CK interaction is absent ( g c k = 0 ), increasing the power of the input laser is helpful for the improvement in the cooling of the rotating end mirror. This is because an increase in the input laser power increases the intracavity photon number | a s | 2 , thereby leading to a stronger optorotational coupling of the L-G cavity field to the rotating end mirror. With the nonlinear CK interaction, the minimum effective mean phonon number n e f f of the rotating end mirror for = 1 , 2 , 3 , and 4 mW is about 0.056, 0.058, 0.063, and 0.067 at g c k / ( 10 3 g ) = 3.7 , 1.78 , 1.16 , and 0.84, respectively. Thus, by increasing the power of the input laser, the minimum effective mean phonon number n e f f of the rotating end mirror rises, and it occurs at a smaller value of g c k / ( 10 3 g ) . For = 1 , 2 , 3 , and 4 mW, the cooling of the rotating end mirror can be maximally enhanced by the nonlinear CK interaction by a factor of about 23.3, 14.0, 10.3, and 8.5 compared to that without the nonlinear CK interaction, respectively. Hence, the maximum improvement factor for the mirror cooling by the nonlinear CK interaction decreases with an increase in the power of the input laser.
Figure 5 shows the effective mean phonon number n e f f of the rotating end mirror against the power of the input Gaussian beam for various values of the nonlinear CK strengths g c k when m = 100 ng, L = 1 mm, l = 20 , and Δ 0 = 0.35 ω m . We first see the case of Δ 0 = 0.35   ω m , as shown in Figure 5a. Without the nonlinear CK interaction, the system is always stable when the power of the input laser is larger than 0 but less than 20 mW, and the effective mean phonon number n e f f of the rotating end mirror decreases with increasing the power of the input laser. When = 20 mW, the effective mean phonon number n e f f of the rotating end mirror takes a minimum value of about 0.386. With the nonlinear CK interaction, for g c k / ( 10 3 g ) = 0.25 , 0.5 , 0.75 , 1 , the stability conditions impose the limitation 13.15, 7.5, 5.34, 4.15 mW, respectively. Thus, for a larger nonlinear CK strength g c k , the system becomes unstable at a smaller input laser power, which implies that the nonlinear CK effect is harmful for the system stability. For a fixed value of the nonlinear CK strengths g c k , when the power of the input laser increases, the effective mean phonon number n e f f of the rotating end mirror first decreases, and then increases before the system passes into the unstable regime. Thus, it is possible to enhance the cooling of the rotating end mirror by increasing the power of the input laser. For g c k / ( 10 3 g ) = 0.25 , 0.5 , 0.75 , 1 , the effective mean phonon number n e f f of the rotating end mirror takes its minimum value of about 0.101, 0.078, 0.069, and 0.064 at 11.2, 6.3, 4.4, and 3.4 mW, respectively. Hence, increasing the nonlinear CK strengths g c k can lower the minimum effective mean phonon number n e f f of the rotating end mirror, and make it happen at a lower power of the input laser. For g c k / ( 10 3 g ) = 0.25 , 0.5 , 0.75 , 1 , the cooling of the rotating end mirror can be maximally improved by a factor of about 3.8, 4.9, 5.6, and 6.0 compared to the case without the nonlinear CK interaction, respectively. Hence, the maximum improvement factor for the mirror cooling by the nonlinear CK interaction increases with the increase in the nonlinear CK strength g c k . We next see the case of Δ 0 = ω m , as shown in Figure 5b. According to the stability conditions, we find that the system is always stable in the input power range of 0–20 mW for g c k / ( 10 3 g ) = 0 , 0.25 , 0.5 , 0.75 , 1 . From Figure 5b, as the nonlinear CK strength g c k increases, the minimum effective mean phonon number n e f f of the rotating end mirror increases, and happens at a lower input power . Therefore, if the L-G cavity field is driven by a red-detuned Gaussian beam with Δ 0 = ω m , the nonlinear CK interaction could not improve the cooling of the rotating end mirror. These results for the case of Δ 0 = ω m are consistent with those in Ref. [54], which focuses on the effect of nonlinear CK interaction on the cooling of a movable mirror in an optomechanical system.
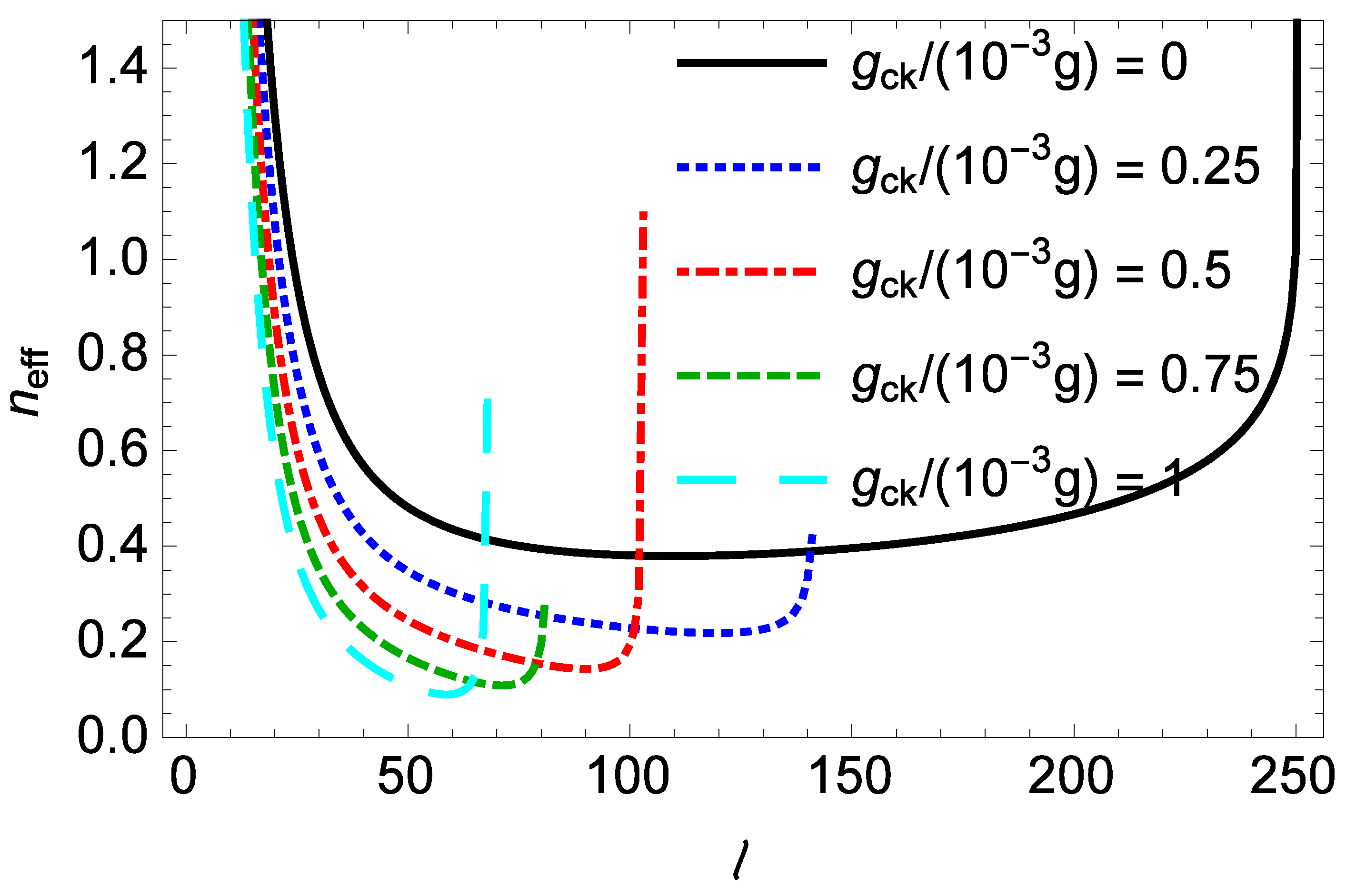
Figure 6 shows the effective mean phonon number n e f f of the rotating end mirror against the value l of the TC of the L-G cavity mode for various values of the nonlinear CK strengths g c k when m = 100 ng, L = 1 mm, = 1 mW, and Δ 0 = 0.35   ω m . For g c k / ( 10 3 g ) = 0 , 0.25 , 0.5 , 0.75 , 1 , the stability conditions impose the limitation l     251, 141, 103, 81, 68, respectively. Thus, increasing the nonlinear CK strength g c k makes the system become unstable at a smaller value of the TC of the L-G cavity mode, which shows that the nonlinear CK effect has a negative effect on the system stability. For a given value of the nonlinear CK strength g c k , as the value l of the TC of the L-G cavity mode increases, the effective mean phonon number n e f f of the rotating end mirror first decreases, and then increases before the system enters the unstable regime. Thus, it is possible to enhance the cooling of the rotating end mirror by increasing the value l of the TC of the L-G cavity mode. For g c k / ( 10 3 g ) = 0 , 0.25 , 0.5 , 0.75 , 1 , the effective mean phonon number n e f f of the rotating end mirror takes minimum values of about 0.380, 0.218, 0.143, 0.109, and 0.090 at l = 110, 119, 90, 71, and 59, respectively. By increasing the nonlinear CK strength g c k , the minimum effective mean phonon number n e f f of the rotating end mirror is reduced. For a nonzero larger CK strength g c k , the minimum effective mean phonon number n e f f of the rotating end mirror appears at a smaller TC of the L-G cavity mode. For g c k / ( 10 3 g ) = 0.25 , 0.5 , 0.75 , 1 , the cooling of the rotating end mirror can be maximally improved by the nonlinear CK interaction by factors of about 1.7, 2.7, 3.5, and 4.2 compared to the cases without the nonlinear CK interaction, respectively. Hence, when the nonlinear CK strength g c k is larger, the maximum improvement factor for the mirror cooling by the nonlinear CK interaction becomes larger.
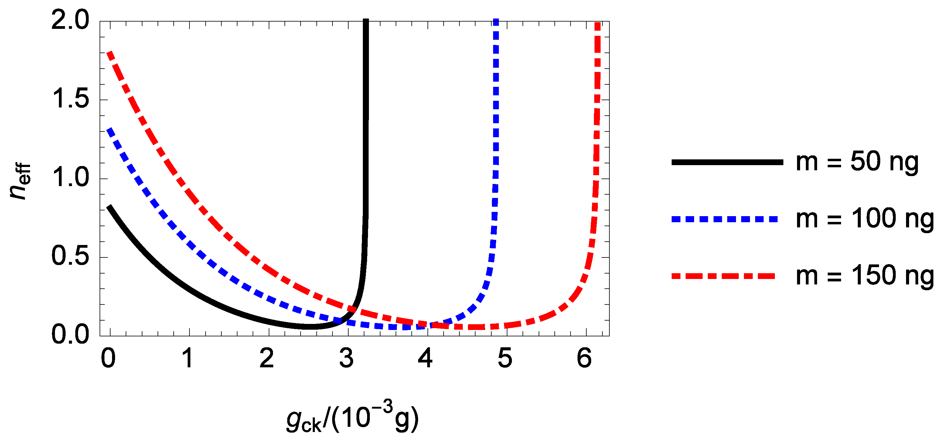
Figure 7 shows the effective mean phonon number n e f f of the rotating end mirror against the normalized nonlinear CK strength g c k / ( 10 3 g ) for different masses m of the rotating end mirror when L = 1 mm, = 1 mW, l = 20 , and Δ 0 = 0.35   ω m . For m = 50 , 100, 150 ng, the stability conditions require that the normalized nonlinear CK strength g c k / ( 10 3 g ) is less than 3.22, 4.86, and 6.14, respectively. Thus, for a heavier rotating end mirror, the system becomes unstable at a larger value of g c k / ( 10 3 g ) . For a given mass m of the rotating end mirror, as the nonlinear CK strength g c k increases, the effective mean phonon number n e f f of the rotating end mirror first decreases, and then increases before the system enters the unstable regime. Without the nonlinear CK interaction ( g c k = 0 ), for m = 50 , 100, 150 ng, the effective mean phonon number n e f f of the rotating end mirror is about 0.812, 1.302, and 1.789, respectively. Thus, when the nonlinear CK interaction is absent, increasing the mass m of the rotating end mirror makes the effective mean phonon number n e f f of the rotating end mirror larger. This is because increasing the mass m of the rotating end mirror gives rise to a smaller optorotational coupling strength g due to g 1 m . With the nonlinear CK interaction ( g c k 0 ) , for m = 50 , 100, 150 ng, the effective mean phonon number n e f f of the rotating end mirror has minimum values of about 0.058, 0.056, and 0.057 at g c k / ( 10 3 g ) = 2.52 , 3.70, and 4.60, respectively. We find that g c k / ( 10 3 g ) = 2.52 , 3.70, and 4.60 is equivalent to g c k 0.277 , 0.287 , 0.292 Hz, respectively. Thus, in order to cool a heavier rotating end mirror to almost the same minimum effective mean phonon number n e f f as a lighter rotating end mirror, the nonlinear CK strength g c k has to be larger. For m = 50 , 100, 150 ng, it is found that the cooling of the rotating end mirror can be maximally improved by the nonlinear CK interaction by a factor of about 14.0, 23.3, and 31.4 compared to the case without the nonlinear CK interaction, respectively. Hence, for a heavier rotating mirror, the maximum improvement factor for the mirror cooling by the nonlinear CK interaction becomes larger.
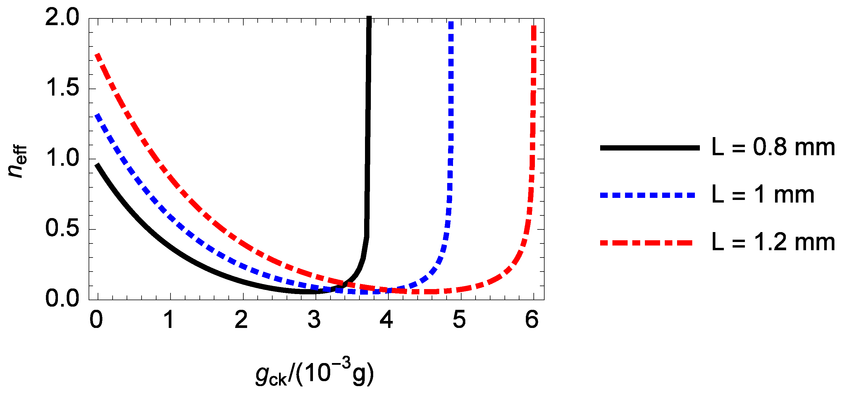
Figure 8 shows the effective mean phonon number n e f f of the rotating end mirror against the normalized nonlinear CK strength g c k / ( 10 3 g ) for different lengths L of the optical cavity when m = 100 ng, = 1 mW, l = 20 , and Δ 0 = 0.35   ω m . For L = 0.8 , 1, 1.2 mm, the stability conditions impose the limitation g c k / ( 10 3 g ) 3.75, 4.86, 6.00, respectively. Thus, for a larger length L of the cavity, the system becomes unstable at a larger value of g c k / ( 10 3 g ) . For a given length L of the cavity, as the nonlinear CK strength g c k increases, the effective mean phonon number n e f f of the rotating end mirror first decreases, and then increases before the system enters the unstable regime. Without the nonlinear CK interaction ( g c k = 0 ), for L = 0.8 , 1, 1.2 mm, the effective mean phonon number n e f f of the rotating end mirror is about 0.949, 1.302, and 1.731, respectively. Thus, when the nonlinear CK interaction is absent, increasing the length L of the cavity gives rise to the increase in the effective mean phonon number n e f f of the rotating end mirror. The reason is that a larger length L of the cavity leads to a smaller optorotational coupling strength g due to g 1 L . With the nonlinear CK interaction ( g c k 0 ) , for L = 0.8 , 1, 1.2 mm, the effective mean phonon number n e f f of the rotating end mirror has its minimum value of about 0.057, 0.056, and 0.057 at g c k / ( 10 3 g ) = 2.9 , 3.7, and 4.5, respectively. We find that g c k / ( 10 3 g ) = 2.9 , 3.7, and 4.5 is equivalent to g c k 0.281 , 0.287 , 0.291 Hz, respectively. Thus, in order to cool a rotating end mirror in a longer cavity to almost the same minimum effective mean phonon number n e f f as a rotating end mirror in a shorter cavity, the nonlinear CK strength g c k has to be larger. For L = 0.8 , 1, 1.2 mm, it is found that the cooling of the rotating end mirror can be maximally improved by the nonlinear CK interaction by a factor of about 16.7, 23.3, and 30.4 compared to the case without the nonlinear CK interaction, respectively. Thus, for a longer cavity, the maximum improvement factor for the mirror cooling by the nonlinear CK interaction is larger.
Finally, we discuss the experimental feasibility of this proposal. Experimentally, an L-G laser beam with a TC of l = 1000 can be achieved by using spiral-phase plates [67]. In addition, an experiment [68] has demonstrated the cooling of a micromechanical resonator with mass 25 ng, radius 15 μm, and mechanical quality factor 1.3 × 10 5 . Moreover, it has shown experimentally that the torsional frequency of a mechanical oscillator can be in the range of 3-20 MHz [69]. Therefore, with the rapid development of the optomechanical devices, the rotating mirror with mass 100 ng, radius 10 μm, frequency 2 π × 10 MHz and mechanical quality factor 2 × 10 6 in this work is within reach.

5. Conclusions

In conclusion, we have analyzed the cooling of the rotating end mirror in an L-G cavity optorotational system with the nonlinear CK interaction. We find that the presence of the nonlinear CK interaction can improve the cooling of the rotating end mirror only when the cavity detuning is less than the resonance frequency of the rotating end mirror. When the nonlinear CK interaction is present, it is possible to considerably improve the cooling of the rotating end mirror at lower input powers, smaller TCs of the L-G cavity mode, larger masses of the rotating end mirror, and longer optical cavity. The nonlinear CK interaction makes the system unstable at lower input powers and smaller TCs of the L-G cavity mode, which leads to the substantial enhancement of the cooling of the rotating end mirror near the instability threshold. The combination of the L-G cavity optorotational system with the nonlinear CK interaction provides an alternative method to enhance the cooling of the macroscopic rotating end mirror, which has possible applications in high-precision measurement [2].

Author Contributions

Conceptualization, S.H. and A.C.; methodology, S.H. and A.C.; software, X.C., S.H. and L.D.; formal analysis, X.C., S.H. and L.D.; writing—original draft preparation, X.C., S.H. and L.D.; writing—review and editing, S.H. and A.C. All authors have read and agreed to the published version of the manuscript.

Funding

This research was funded by the National Natural Science Foundation of China (grants numbers 12174344, 12175199), and by Foundation of Department of Science and Technology of Zhejiang Province (Grants Number 2022R52047).

Institutional Review Board Statement

Not applicable.

Informed Consent Statement

Not applicable.

Data Availability Statement

Data are contained within the article.

Conflicts of Interest

The authors declare no conflicts of interest.

References

  1. Marshall, W.; Simon, C.; Penrose, R.; Bouwmeester, D. Toward quantum superpositions of a mirror. Phys. Rev. Lett. 2003, 91, 130401. [Google Scholar] [CrossRef]
  2. LaHaye, M.D.; Buu, O.; Camarota, B.; Schwab, K.C. Approaching the quantum limit of a nanomechanical resonator. Science 2004, 304, 74–77. [Google Scholar] [CrossRef] [PubMed]
  3. Li, T.; Kheifets, S.; Raizen, M.G. Millikelvin cooling of an optically trapped microsphere in vacuum. Nat. Phys. 2011, 7, 527–530. [Google Scholar] [CrossRef]
  4. Rossi, M.; Kralj, N.; Zippilli, S.; Natali, R.; Borrielli, A.; Pandraud, G.; Serra, E.; Giuseppe, G.D.; Vitali, D. Enhancing sideband cooling by feedback-controlled light. Phys. Rev. Lett. 2017, 119, 123603. [Google Scholar] [CrossRef] [PubMed]
  5. Wilson, D.J.; Sudhir, V.; Piro, N.; Schilling, R.; Ghadimi, A.; Kippenberg, T.J. Measurement-based control of a mechanical oscillator at its thermal decoherence rate. Nature 2015, 524, 325. [Google Scholar] [CrossRef] [PubMed]
  6. Schmid, G.L.; Ngai, T.C.T.; Ernzer, M.; Aguilera, M.B.; Karg, T.M.; Treutlein, P. Coherent Feedback Cooling of a Nanomechanical Membrane with Atomic Spins. Phys. Rev. X 2022, 12, 11020. [Google Scholar] [CrossRef]
  7. Harwood, A.; Brunelli, M.; Serafini, A. Cavity Optomechanics Assisted by Optical Coherent Feedback. Phys. Rev. A 2021, 103, 23509. [Google Scholar] [CrossRef]
  8. Guo, J.; Gröblacher, S. Coherent feedback in optomechanical systems in the sideband-unresolved regime. Quantum 2022, 6, 848. [Google Scholar] [CrossRef]
  9. Marquardt, F.; Chen, J.P.; Clerk, A.A.; Girvin, S.M. Quantum theory of cavity-assisted sideband cooling of mechanical motion. Phys. Rev. Lett. 2007, 99, 93902. [Google Scholar] [CrossRef]
  10. Wilson-Rae, I.; Nooshi, N.; Zwerger, W.; Kippenberg, T.J. Theory of ground state cooling of a mechanical oscillator using dynamical backaction. Phys. Rev. Lett. 2007, 99, 93901. [Google Scholar] [CrossRef]
  11. He, B.; Yang, L.; Lin, Q.; Xiao, M. Radiation Pressure Cooling as a Quantum Dynamical Process. Phys. Rev. Lett. 2017, 118, 233604. [Google Scholar] [CrossRef] [PubMed]
  12. Teufel, J.D.; Donner, T.; Li, D.; Harlow, J.W.; Allman, M.S.; Cicak, K.; Sirois, A.J.; Whittaker, J.D.; Lehnert, K.W.; Simmonds, R.W. Sideband cooling of micromechanical motion to the quantum ground state. Nature 2011, 475, 359–363. [Google Scholar] [CrossRef] [PubMed]
  13. Chan, J.; Mayer, A.T.P.; Safavi-Naeini, A.H.; Hill, J.T.; Krause, A.; Gröblacher, S.; Aspelmeyer, M.; Painter, O. Laser cooling of a nanomechanical oscillator into its quantum ground state. Nature 2011, 478, 89–92. [Google Scholar] [CrossRef] [PubMed]
  14. Qiu, L.; Shomroni, I.; Seidler, P.; Kippenberg, T.J. Laser cooling of a nanomechanical oscillator to its zero-point energy. Phys. Rev. Lett. 2020, 124, 173601. [Google Scholar] [CrossRef] [PubMed]
  15. Machnes, S.; Cerrillo, J.; Aspelmeyer, M.; Wieczorek, W.; Plenio, M.B.; Retzker, A. Pulsed Laser Cooling for Cavity Optomechanical Resonators. Phys. Rev. Lett. 2012, 108, 153601. [Google Scholar] [CrossRef]
  16. Liao, J.Q.; Law, C.K. Cooling of a mirror in cavity optomechanics with a chirped pulse. Phys. Rev. A 2011, 84, 53838. [Google Scholar] [CrossRef]
  17. Ojanen, T.; Børkje, K. Ground-state cooling of mechanical motion in the unresolved sideband regime by use of optomechanically induced transparency. Phys. Rev. A 2014, 90, 13824. [Google Scholar] [CrossRef]
  18. Liu, Y.C.; Xiao, Y.F.; Luan, X.S.; Wong, C.W. Optomechanically-induced-transparency cooling of massive mechanical resonators to the quantum ground state. Sci. China Phys. Mech. 2015, 58, 50305. [Google Scholar] [CrossRef]
  19. Chen, X.; Liu, Y.C.; Peng, P.; Zhi, Y.; Xiao, Y.F. Cooling of macroscopic mechanical resonators in hybrid atom-optomechanical systems. Phys. Rev. A 2015, 92, 33841. [Google Scholar] [CrossRef]
  20. Huang, S.; Agarwal, G.S. Enhancement of cavity cooling of a micromechanical mirror using parametric interactions. Phys. Rev. A 2009, 79, 13821. [Google Scholar] [CrossRef]
  21. Gan, J.H.; Liu, Y.C.; Lu, C.; Wang, X.; Tey, M.K.; You, L. Intracavity-squeezed optomechanical cooling. Laser Photonics Rev. 2019, 13, 1900120. [Google Scholar] [CrossRef]
  22. Wang, X.; Vinjanampathy, S.; Strauch, F.W.; Jacobs, K. Ultraefficient Cooling of Resonators: Beating Sideband Cooling with Quantum Control. Phys. Rev. Lett. 2011, 107, 177204. [Google Scholar] [CrossRef] [PubMed]
  23. Clark, J.B.; Lecocq, F.; Simmonds, R.W.; Aumentado, J.; Teufel, J.D. Sideband cooling beyond the quantum backaction limit with squeezed light. Nature 2017, 541, 191. [Google Scholar] [CrossRef] [PubMed]
  24. Mari, A.; Eisert, J. Cooling by Heating: Very Hot Thermal Light Can Significantly Cool Quantum Systems. Phys. Rev. Lett. 2012, 108, 120602. [Google Scholar] [CrossRef] [PubMed]
  25. Li, T.; Zhang, S.; Huang, H.; Li, F.; Fu, X.; Wang, X.; Bao, W. Ground state cooling in a hybrid optomechanical system with a three-level atomic ensemble. J. Phys. B At. Mol. Opt. Phys. 2018, 51, 45503. [Google Scholar] [CrossRef]
  26. Li, Y.; Wu, L.; Wang, Z.D. Fast ground-state cooling of mechanical resonators with time-dependent optical cavities. Phys. Rev. A 2011, 83, 43804. [Google Scholar] [CrossRef]
  27. Liu, Y.; Xiao, Y.F.; Luan, X.; Gong, Q.; Wong, C.W. Coupled cavities for motional ground-state cooling and strong optomechanical coupling. Phys. Rev. A 2015, 91, 33818. [Google Scholar] [CrossRef]
  28. Wang, C.; Lin, Q.; He, B. Breaking the optomechanical cooling limit by two drive fields on a membrane-in-the-middle system. Phys. Rev. A 2019, 99, 23829. [Google Scholar] [CrossRef]
  29. Bhattacharya, M.; Meystre, P. Using a Laguerre-Gaussian Beam to trap and cool the rotational motion of a mirror. Phys. Rev. Lett. 2007, 99, 153603. [Google Scholar] [CrossRef]
  30. Yao, A.M.; Padgett, M.J. Orbital angular momentum: Origins, behavior and applications. Adv. Opt. Photon. 2011, 3, 161. [Google Scholar] [CrossRef]
  31. Zhu, L.; Wang, J. Arbitrary manipulation of spatial amplitude and phase using phase-only spatial light modulators. Sci. Rep. 2014, 4, 7441. [Google Scholar] [CrossRef] [PubMed]
  32. Turnbull, G.A.; Robertson, D.A.; Smith, G.M.; Allen, L.; Padgett, M.J. The generation of free-space Laguerre-Gaussian modes at millimetre-wave frequencies by use of a spiral phase plate. Opt. Commun. 1996, 127, 183. [Google Scholar] [CrossRef]
  33. Heckenberg, N.R.; McDuff, R.G.; Smith, C.P.; White, A.G. Generation of optical phase singularities by computer generated hologram. Opt. Lett. 1992, 17, 22. [Google Scholar] [CrossRef] [PubMed]
  34. Peng, J.X.; Chen, Z.; Yuan, Q.Z.; Feng, X.L. Optomechanically induced transparency in a Laguerre-Gaussian rotational-cavity system and its application to the detection of orbital angular momentum of light fields. Phys. Rev. A 2019, 99, 43817. [Google Scholar] [CrossRef]
  35. Peng, J.X.; Chen, Z.; Yuan, Q.Z.; Feng, X.L. Double optomechanically induced transparency in a Laguerre-Gaussian rovibrational cavity. Phys. Lett. A 2020, 384, 126153. [Google Scholar] [CrossRef]
  36. Abbas, M.; Saleem, S.; Ziauddin. Double optomechanical induced transparency and measurement of orbital angular momentum of twisted light. Phys. Scr. 2021, 96, 96015102. [Google Scholar] [CrossRef]
  37. Xiong, H.; Huang, Y.M.; Wu, Y. Laguerre-Gaussian optical sum-sideband generation via orbital angular momentum exchange. Phys. Rev. A 2021, 103, 43506. [Google Scholar] [CrossRef]
  38. Kazemi, S.H.; Mahmoudi, M. Optomechanical second-order sideband effects in a Laguerre-Gaussian rotational cavity system. Phys. Scr. 2020, 95, 45107. [Google Scholar] [CrossRef]
  39. Bhattacharya, M.; Giscard, P.L.; Meystre, P. Entanglement of a Laguerre-Gaussian cavity mode with a rotating mirror. Phys. Rev. A 2008, 77, 13827. [Google Scholar] [CrossRef]
  40. Chen, Z.; Peng, J.X.; Fu, J.J.; Feng, X.L. Entanglement of two rotating mirrors coupled to a single Laguerre-Gaussian cavity mode. Opt. Express 2019, 27, 29479. [Google Scholar] [CrossRef]
  41. Cheng, H.J.; Zhou, S.J.; Peng, J.X.; Kundu, A.; Li, H.X.; Jin, L.; Feng, X.L. Tripartite entanglement in a Laguerre-Gaussian rotational-cavity system with an yttrium iron garnet sphere. J. Opt. Soc. Am. B 2021, 38, 285. [Google Scholar] [CrossRef]
  42. Lai, G.; Huang, S.; Deng, L.; Chen, A. Enhancing the steady-state entanglement between a Laguerre-Gaussian-cavity mode and a rotating mirror via cross-Kerr nonlinearity. Photonics 2023, 10, 986. [Google Scholar] [CrossRef]
  43. Liu, Y.M.; Bai, C.H.; Wang, D.Y.; Wang, T.; Zheng, M.H.; Wang, H.F.; Zhu, A.D.; Zhang, S. Ground-State cooling of rotating mirror in double-Laguerre-Gaussian-cavity with atomic ensemble. Opt. Express 2018, 26, 6143. [Google Scholar] [CrossRef] [PubMed]
  44. Scully, M.O.; Zubairy, M.S. Quantum Optics; Academic Press: Cambridge, UK, 1997. [Google Scholar]
  45. Koshino, K. Semiclassical evaluation of the two-photon cross-Kerr effect. Phys. Rev. A 2006, 74, 053818. [Google Scholar] [CrossRef]
  46. Turchette, Q.A.; Hood, C.J.; Lange, W.; Mabuchi, H.; Kimble, H.J. Measurement of conditional phase shifts for quantum logic. Phys. Rev. Lett. 1995, 75, 4710. [Google Scholar] [CrossRef]
  47. Gerry, C.C. Generation of optical macroscopic quantum superposition states via state reduction with a Mach- Zehnder interferometer containing a Kerr medium. Phys. Rev. A 2000, 59, 4095. [Google Scholar] [CrossRef]
  48. Vitali, D.; Fortunato, M.; Tombesi, P. Complete quantum teleportation with a Kerr nonlinearity. Phys. Rev. Lett. 2000, 85, 445. [Google Scholar] [CrossRef]
  49. Sheng, Y.B.; Deng, F.G.; Zhou, H.Y. Efficient polarization-entanglement purification based on parametric down-conversion sources with cross-Kerr nonlinearity. Phys. Rev. A 2008, 77, 42308. [Google Scholar] [CrossRef]
  50. Heikkilä, T.T.; Massel, F.; Tuorila, J.; Khan, R.; Sillanpää, M.A. Enhancing optomechanical coupling via the Josephson effect. Phys. Rev. Lett. 2014, 112, 203603. [Google Scholar] [CrossRef]
  51. Pirkkalainen, J.M.; Cho, S.U.; Massel, F.; Tuorila, J.; Heikkilä, T.T.; Hakonen, P.J.; Sillanpää, M.A. Cavity optomechanics mediated by a quantum two-level system. Nat. Commun. 2015, 6, 6981. [Google Scholar] [CrossRef]
  52. Sinclair, J.; Angulo, D.; Lupu-Gladstein, N.; Bonsma-Fisher, K.; Steinberg, A.M. Observation of a large, resonant, cross-Kerr nonlinearity in a cold Rydberg gas. Phys. Rev. Res. 2019, 1, 033193. [Google Scholar] [CrossRef]
  53. Yang, Z.B.; Wu, W.J.; Li, J.; Wang, Y.P.; You, J.Q. Steady-entangled-state generation via the cross-Kerr effect in a ferrimagnetic crystal. Phys. Rev. A 2022, 106, 12419. [Google Scholar] [CrossRef]
  54. Khan, R.; Massel, F.; Heikkilä, T.T. Cross-Kerr nonlinearity in optomechanical systems. Phys. Rev. A. 2015, 91, 43822. [Google Scholar] [CrossRef]
  55. Sarala, R.; Massel, F. Cross-Kerr nonlinearity: A stability analysis. Nanoscale Syst. Math. Model. Theory Appl. 2015, 4, 18. [Google Scholar] [CrossRef][Green Version]
  56. Xiong, W.; Jin, D.Y.; Qiu, Y.; Lam, C.H.J.Q.; You, J.Q. Cross-Kerr effect on an optomechanical system. Phys. Rev. A 2016, 93, 023844. [Google Scholar] [CrossRef]
  57. Qian, Y.B.; Lai, D.G.; Chen, M.R.; Hou, B.P. Nonreciprocal photon transmission with quantum noise reduction via cross-Kerr nonlinearity. Phys. Rev. A 2021, 104, 33705. [Google Scholar] [CrossRef]
  58. Zou, F.; Fan, L.B.; Huang, J.F.; Liao, J.Q. Enhancement of few-photon optomechanical effects with cross-Kerr nonlinearity. Phys. Rev. A 2019, 99, 43837. [Google Scholar] [CrossRef]
  59. Chakraborty, S.; Sarma, A.K. Enhancing quantum correlations in an optomechanical system via cross-Kerr nonlinearity. J. Opt. Soc. Am. B 2017, 34, 1503. [Google Scholar] [CrossRef]
  60. Aoune, D.; Habiballah, N. Quantifying of quantum correlations in an optomechanical system with cross-kerr interaction. J. Russ. Laser Res. 2022, 43, 406. [Google Scholar] [CrossRef]
  61. Law, C.K. Interaction between a moving mirror and radiation pressure: A Hamiltonian formulation. Phys. Rev. A 1995, 51, 3. [Google Scholar] [CrossRef]
  62. Macrì, V.; Ridolfo, A.; Stefano, O.D.; Kockum, A.F.; Nori, F.; Savasta, S. Nonperturbative Dynamical Casimir Effect in Optomechanical Systems: Vacuum Casimir-Rabi Splittings. Phys. Rev. X 2018, 8, 11031. [Google Scholar] [CrossRef]
  63. Courtial, J.; Robertson, D.A.; Dholakia, K.; Allen, L.; Padgett, M.J. Rotational frequency shift of a light beam. Phys. Rev. Lett. 1998, 81, 4828. [Google Scholar] [CrossRef]
  64. Aspelmeyer, M.; Kippenberg, T.J.; Marquardt, F. Cavity optomechanics. Rev. Mod. Phys. 2014, 86, 1391. [Google Scholar] [CrossRef]
  65. DeJesus, E.X.; Kaufman, C. Routh-Hurwitz criterion in the examination of eigenvalues of a system of nonlinear ordinary differential equations. Phys. Rev. A 1987, 35, 5288. [Google Scholar] [CrossRef] [PubMed]
  66. Ye, X.; Huang, S.; Deng, L.; Chen, A. Improving the Stochastic Feedback Cooling of a Mechanical Oscillator Using a Degenerate Parametric Amplifier. Photonics 2021, 9, 264. [Google Scholar] [CrossRef]
  67. Shen, Y.; Campbell, G.T.; Hage, B.; Zou, H.; Buchler, B.C.; Lam, P.K. Generation and interferometric analysis of high charge optical vortices. J. Opt. 2013, 15, 44005. [Google Scholar] [CrossRef]
  68. Kleckner, D.; Bouwmeester, D. Sub-kelvin optical cooling of a micromechanical resonator. Nature 2006, 444, 75. [Google Scholar] [CrossRef]
  69. Olkhovets, A.; Evoy, S.; Carr, D.W.; Parpia, J.M.; Craighead, H.G. Actuation and internal friction of torsional nanomechanical silicon resonators. J. Vac. Sci. Technol. B Microelectron. Nanometer Struct. Process. Meas. Phenom. 2000, 18, 3549. [Google Scholar] [CrossRef]
Figure 1. The L-G cavity optorotational system with the nonlinear CK interaction. The system consists of one fixed end mirror and one rotating end mirror. The rotating end mirror is part of a torsional pendulum mounted on the support S and can rotate round the z axis. A Gaussian beam (G) is used to drive a cavity mode. The angular displacement of the rotating end mirror from its equilibrium position ϕ 0 = 0 is denoted by ϕ . The TCs carried by the light beams at different locations along the z axis are shown, and l is the TC value. A two-level system (red) on the rotating end mirror produces the nonlinear CK interaction between the cavity field and the rotating end mirror.
Figure 1. The L-G cavity optorotational system with the nonlinear CK interaction. The system consists of one fixed end mirror and one rotating end mirror. The rotating end mirror is part of a torsional pendulum mounted on the support S and can rotate round the z axis. A Gaussian beam (G) is used to drive a cavity mode. The angular displacement of the rotating end mirror from its equilibrium position ϕ 0 = 0 is denoted by ϕ . The TCs carried by the light beams at different locations along the z axis are shown, and l is the TC value. A two-level system (red) on the rotating end mirror produces the nonlinear CK interaction between the cavity field and the rotating end mirror.
Photonics 11 00960 g001
Figure 2. The effective mean phonon number n e f f of the rotating end mirror against the normalized cavity detuning Δ 0 / ω m for various values of the nonlinear CK strengths g c k . The parameters used are as follows: m = 100 ng, L = 1 mm, = 1 mW, and l = 20 . The black solid, blue-dotted, red dot-dashed, green short-dashed, and cyan long-dashed curves are for g c k / ( 10 3 g ) = 0 , 0.25, 0.5, 0.75, 1, respectively.
Figure 2. The effective mean phonon number n e f f of the rotating end mirror against the normalized cavity detuning Δ 0 / ω m for various values of the nonlinear CK strengths g c k . The parameters used are as follows: m = 100 ng, L = 1 mm, = 1 mW, and l = 20 . The black solid, blue-dotted, red dot-dashed, green short-dashed, and cyan long-dashed curves are for g c k / ( 10 3 g ) = 0 , 0.25, 0.5, 0.75, 1, respectively.
Photonics 11 00960 g002
Figure 3. (a) The effective mean phonon number n e f f of the rotating end mirror and (b) the ratio r against the normalized nonlinear CK strength g c k / ( 10 3 g ) for various values l of the TC of the L-G cavity mode. The parameters used: m = 100 ng, L = 1 mm, = 1 mW, and Δ 0 = 0.35   ω m . The black solid, blue-dotted, red dot-dashed, green short-dashed, and cyan long-dashed curves are for l = 20 , 30 , 40 , 60 , 80 , respectively.
Figure 3. (a) The effective mean phonon number n e f f of the rotating end mirror and (b) the ratio r against the normalized nonlinear CK strength g c k / ( 10 3 g ) for various values l of the TC of the L-G cavity mode. The parameters used: m = 100 ng, L = 1 mm, = 1 mW, and Δ 0 = 0.35   ω m . The black solid, blue-dotted, red dot-dashed, green short-dashed, and cyan long-dashed curves are for l = 20 , 30 , 40 , 60 , 80 , respectively.
Photonics 11 00960 g003
Figure 4. The effective mean phonon number n e f f of the rotating end mirror against the normalized nonlinear CK strength g c k / ( 10 3 g ) for various values of the power of the input Gaussian beam. The black solid, blue-dotted, red dot-dashed, and green-dashed curves are for = 1 , 2 , 3 , 4 mW, respectively. The parameters used the following: m = 100 ng, L = 1 mm, l = 20 , and Δ 0 = 0.35 ω m .
Figure 4. The effective mean phonon number n e f f of the rotating end mirror against the normalized nonlinear CK strength g c k / ( 10 3 g ) for various values of the power of the input Gaussian beam. The black solid, blue-dotted, red dot-dashed, and green-dashed curves are for = 1 , 2 , 3 , 4 mW, respectively. The parameters used the following: m = 100 ng, L = 1 mm, l = 20 , and Δ 0 = 0.35 ω m .
Photonics 11 00960 g004
Figure 5. The effective mean phonon number n e f f of the rotating end mirror against the power of the input Gaussian beam for various values of the nonlinear CK strengths g c k . The parameters used are the following: m = 100 ng, L = 1 mm, and l = 20 . (a) Δ 0 = 0.35   ω m ; (b) Δ 0 = ω m . The black solid, blue-dotted, red dot-dashed, green short-dashed, and cyan long-dashed curves are for g c k / ( 10 3 g ) = 0 , 0.25, 0.5, 0.75, 1, respectively.
Figure 5. The effective mean phonon number n e f f of the rotating end mirror against the power of the input Gaussian beam for various values of the nonlinear CK strengths g c k . The parameters used are the following: m = 100 ng, L = 1 mm, and l = 20 . (a) Δ 0 = 0.35   ω m ; (b) Δ 0 = ω m . The black solid, blue-dotted, red dot-dashed, green short-dashed, and cyan long-dashed curves are for g c k / ( 10 3 g ) = 0 , 0.25, 0.5, 0.75, 1, respectively.
Photonics 11 00960 g005
Figure 6. The effective mean phonon number n e f f of the rotating end mirror against the value l of the TC of the L-G cavity mode for various values of the nonlinear CK strengths g c k . The parameters used were the following: m = 100 ng, L = 1 mm, = 1 mW, and Δ 0 = 0.35   ω m . The black solid, blue-dotted, red dot-dashed, green short-dashed, and cyan long-dashed curves are for g c k / ( 10 3 g ) = 0 , 0.25 , 0.5 , 0.75 , 1 , respectively.
Figure 6. The effective mean phonon number n e f f of the rotating end mirror against the value l of the TC of the L-G cavity mode for various values of the nonlinear CK strengths g c k . The parameters used were the following: m = 100 ng, L = 1 mm, = 1 mW, and Δ 0 = 0.35   ω m . The black solid, blue-dotted, red dot-dashed, green short-dashed, and cyan long-dashed curves are for g c k / ( 10 3 g ) = 0 , 0.25 , 0.5 , 0.75 , 1 , respectively.
Photonics 11 00960 g006
Figure 7. The effective mean phonon number n e f f of the rotating end mirror against the normalized nonlinear CK strength g c k / ( 10 3 g ) for different masses m of the rotating end mirror. The parameters used were the following: L = 1 mm, = 1 mW, l = 20 , and Δ 0 = 0.35   ω m . The black solid, blue-dotted, red dot-dashed curves are for m = 50 , 100, and 150 ng, respectively.
Figure 7. The effective mean phonon number n e f f of the rotating end mirror against the normalized nonlinear CK strength g c k / ( 10 3 g ) for different masses m of the rotating end mirror. The parameters used were the following: L = 1 mm, = 1 mW, l = 20 , and Δ 0 = 0.35   ω m . The black solid, blue-dotted, red dot-dashed curves are for m = 50 , 100, and 150 ng, respectively.
Photonics 11 00960 g007
Figure 8. The effective mean phonon number n e f f of the rotating end mirror against the normalized nonlinear CK strength g c k / ( 10 3 g ) for different lengths L of the optical cavity. The parameters used were the following: m = 100 ng, = 1 mW, l = 20 , and Δ 0 = 0.35   ω m . The black solid, blue-dotted, red dot-dashed curves are for L = 0.8 , 1, 1.2 mm, respectively.
Figure 8. The effective mean phonon number n e f f of the rotating end mirror against the normalized nonlinear CK strength g c k / ( 10 3 g ) for different lengths L of the optical cavity. The parameters used were the following: m = 100 ng, = 1 mW, l = 20 , and Δ 0 = 0.35   ω m . The black solid, blue-dotted, red dot-dashed curves are for L = 0.8 , 1, 1.2 mm, respectively.
Photonics 11 00960 g008
Disclaimer/Publisher’s Note: The statements, opinions and data contained in all publications are solely those of the individual author(s) and contributor(s) and not of MDPI and/or the editor(s). MDPI and/or the editor(s) disclaim responsibility for any injury to people or property resulting from any ideas, methods, instructions or products referred to in the content.

Share and Cite

MDPI and ACS Style

Cao, X.; Huang, S.; Deng, L.; Chen, A. Enhancing the Cooling of a Rotating Mirror in a Laguerre–Gaussian Cavity Optorotational System via Nonlinear Cross-Kerr Interaction. Photonics 2024, 11, 960. https://doi.org/10.3390/photonics11100960

AMA Style

Cao X, Huang S, Deng L, Chen A. Enhancing the Cooling of a Rotating Mirror in a Laguerre–Gaussian Cavity Optorotational System via Nonlinear Cross-Kerr Interaction. Photonics. 2024; 11(10):960. https://doi.org/10.3390/photonics11100960

Chicago/Turabian Style

Cao, Xinyue, Sumei Huang, Li Deng, and Aixi Chen. 2024. "Enhancing the Cooling of a Rotating Mirror in a Laguerre–Gaussian Cavity Optorotational System via Nonlinear Cross-Kerr Interaction" Photonics 11, no. 10: 960. https://doi.org/10.3390/photonics11100960

APA Style

Cao, X., Huang, S., Deng, L., & Chen, A. (2024). Enhancing the Cooling of a Rotating Mirror in a Laguerre–Gaussian Cavity Optorotational System via Nonlinear Cross-Kerr Interaction. Photonics, 11(10), 960. https://doi.org/10.3390/photonics11100960

Note that from the first issue of 2016, this journal uses article numbers instead of page numbers. See further details here.

Article Metrics

Back to TopTop