Time-Delay Signature Suppression and Communications of Nanolaser Based on Phase Conjugate Feedback
Abstract
1. Introduction
2. Theoretical Model
3. Simulation Results
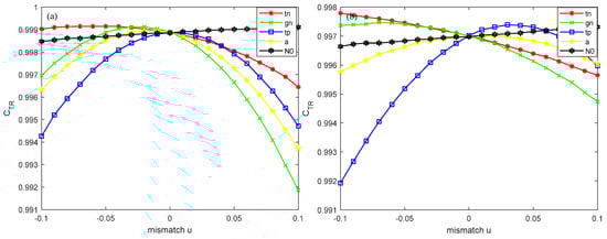
3.1. Case 1: MNL Is Equal to the Frequency Detuning between SNL1 and SNL2
3.2. Case 2: MNL Is Unequal to the Frequency Detuning between SNL1 and SNL2
4. Conclusions
Author Contributions
Funding
Institutional Review Board Statement
Informed Consent Statement
Data Availability Statement
Acknowledgments
Conflicts of Interest
References
- Argyris, A.; Syvridis, D.; Larger, L.; Annovazzi-Lodi, V.; Colet, P.; Fischer, I.; García-Ojalvo, J.; Mirasso, C.R.; Pesquera, L.; Shore, K.A. Chaos-Based Communications at High Bit Rates Using Commercial Fibre-Optic Links. Nature 2005, 438, 343–346. [Google Scholar] [CrossRef] [PubMed]
- Terry, J.R.; VanWiggeren, G.D. Chaotic Communication Using Generalized Synchronization. Chaos Solitons Fractals 2001, 12, 145–152. [Google Scholar] [CrossRef]
- Uchida, A.; Amano, K.; Inoue, M.; Hirano, K.; Naito, S.; Someya, H.; Oowada, I.; Kurashige, T.; Shiki, M.; Yoshimori, S.; et al. Fast Physical Random Bit Generation with Chaotic Semiconductor Lasers. Nat. Photonics 2008, 2, 728–732. [Google Scholar] [CrossRef]
- Li, N.; Kim, B.; Chizhevsky, V.N.; Locquet, A.; Bloch, M.; Citrin, D.S.; Pan, W. Two Approaches for Ultrafast Random Bit Generation Based on the Chaotic Dynamics of a Semiconductor Laser. Opt. Express 2014, 22, 6634. [Google Scholar] [CrossRef] [PubMed]
- Li, X.-Z.; Chan, S.-C. Random Bit Generation Using an Optically Injected Semiconductor Laser in Chaos with Oversampling. Opt. Lett. 2012, 37, 2163. [Google Scholar] [CrossRef]
- Rontani, D.; Choi, D.; Chang, C.-Y.; Locquet, A.; Citrin, D.S. Compressive Sensing with Optical Chaos. Sci. Rep. 2016, 6, 35206. [Google Scholar] [CrossRef] [PubMed]
- Lin, F.-Y.; Liu, J.-M. Chaotic Lidar. IEEE J. Sel. Top. Quantum Electron. 2004, 10, 991–997. [Google Scholar] [CrossRef]
- Lin, F.-Y.; Liu, J.-M. Chaotic Radar Using Nonlinear Laser Dynamics. IEEE J. Quantum Electron. 2004, 40, 815–820. [Google Scholar] [CrossRef]
- Wu, J.-G.; Xia, G.-Q.; Tang, X.; Lin, X.-D.; Deng, T.; Fan, L.; Wu, Z.-M. Time Delay Signature Concealment of Optical Feedback Induced Chaos in an External Cavity Semiconductor Laser. Opt. Express 2010, 18, 6661. [Google Scholar] [CrossRef]
- Udaltsov, V.S.; Goedgebuer, J.-P.; Larger, L.; Cuenot, J.-B.; Levy, P.; Rhodes, W.T. Cracking Chaos-Based Encryption Systems Ruled by Nonlinear Time Delay Differential Equations. Phys. Lett. A 2003, 308, 54–60. [Google Scholar] [CrossRef]
- Zhao, Q.; Wang, Y.; Wang, A. Eavesdropping in Chaotic Optical Communication Using the Feedback Length of an External-Cavity Laser as a Key. Appl. Opt. 2009, 48, 3515. [Google Scholar] [CrossRef] [PubMed]
- Madani, A.; Ma, L.; Miao, S.; Jorgensen, M.R.; Schmidt, O.G. Luminescent Nanoparticles Embedded in TiO2 Microtube Cavities for the Activation of Whispering-Gallery-Modes Extending from the Visible to the near Infrared. Nanoscale 2016, 8, 9498–9503. [Google Scholar] [CrossRef] [PubMed]
- Madani, A.; Bolaños Quiñones, V.A.; Ma, L.B.; Miao, S.D.; Jorgensen, M.R.; Schmidt, O.G. Overlapping Double Potential Wells in a Single Optical Microtube Cavity with Vernier-Scale-like Tuning Effect. Appl. Phys. Lett. 2016, 108, 171105. [Google Scholar] [CrossRef]
- Rontani, D.; Locquet, A.; Sciamanna, M.; Citrin, D.S. Loss of Time-Delay Signature in the Chaotic Output of a Semiconductor Laser with Optical Feedback. Opt. Lett. 2007, 32, 2960. [Google Scholar] [CrossRef]
- Soriano, M.C.; Zunino, L.; Rosso, O.A.; Fischer, I.; Mirasso, C.R. Time Scales of a Chaotic Semiconductor Laser With Optical Feedback Under the Lens of a Permutation Information Analysis. IEEE J. Quantum Electron. 2011, 47, 252–261. [Google Scholar] [CrossRef]
- Rontani, D.; Locquet, A.; Sciamanna, M.; Citrin, D.S.; Ortin, S. Time-Delay Identification in a Chaotic Semiconductor Laser With Optical Feedback: A Dynamical Point of View. IEEE J. Quantum Electron. 2009, 45, 879–1891. [Google Scholar] [CrossRef]
- Wu, J.-G.; Xia, G.-Q.; Wu, Z.-M. Suppression of Time Delay Signatures of Chaotic Output in a Semiconductor Laser with Double Optical Feedback. Opt. Express 2009, 17, 20124. [Google Scholar] [CrossRef]
- Zhong, Z.-Q.; Wu, Z.-M.; Xia, G.-Q. Experimental Investigation on the Time-Delay Signature of Chaotic Output from a 1550 Nm VCSEL Subject to FBG Feedback. Photonics Res. 2017, 5, 6. [Google Scholar] [CrossRef]
- Priyadarshi, S.; Hong, Y.; Pierce, I.; Shore, K.K. Experimental Investigations of Time-Delay Signature Concealment in Chaotic External Cavity VCSELs Subject to Variable Optical Polarization Angle of Feedback. IEEE J. Sel. Top. Quantum Electron. 2013, 19, 1700707. [Google Scholar] [CrossRef]
- Li, N.; Pan, W.; Locquet, A.; Citrin, D.S. Time-Delay Concealment and Complexity Enhancement of an External-Cavity Laser through Optical Injection. Opt. Lett. 2015, 40, 4416. [Google Scholar] [CrossRef]
- Li, N.; Pan, W.; Xiang, S.; Yan, L.; Luo, B.; Zou, X.; Zhang, L.; Mu, P. Photonic Generation of Wideband Time-Delay-Signature-Eliminated Chaotic Signals Utilizing an Optically Injected Semiconductor Laser. IEEE J. Quantum Electron. 2012, 48, 1339–1345. [Google Scholar] [CrossRef]
- Hong, Y. Experimental Study of Time-Delay Signature of Chaos in Mutually Coupled Vertical-Cavity Surface-Emitting Lasers Subject to Polarization Optical Injection. Opt. Express 2013, 21, 17894. [Google Scholar] [CrossRef] [PubMed]
- Wu, J.-G.; Wu, Z.-M.; Xia, G.-Q.; Feng, G.-Y. Evolution of Time Delay Signature of Chaos Generated in a Mutually Delay-Coupled Semiconductor Lasers System. Opt. Express 2012, 20, 1741. [Google Scholar] [CrossRef]
- Mu, P.; Pan, W.; Yan, L.; Luo, B.; Li, N.; Xu, M. Experimental Evidence of Time-Delay Concealment in a DFB Laser With Dual-Chaotic Optical Injections. IEEE Photonics Technol. Lett. 2016, 28, 131–134. [Google Scholar] [CrossRef]
- Hong, Y.; Quirce, A.; Wang, B.; Ji, S.; Panajotov, K.; Spencer, P.S. Concealment of Chaos Time-Delay Signature in Three-Cascaded Vertical-Cavity Surface-Emitting Lasers. IEEE J. Quantum Electron. 2016, 52, 2400508. [Google Scholar] [CrossRef]
- Li, N.; Pan, W.; Xiang, S.; Yan, L.; Luo, B.; Zou, X. Loss of Time Delay Signature in Broadband Cascade-Coupled Semiconductor Lasers. IEEE Photonics Technol. Lett. 2012, 24, 2187–2190. [Google Scholar] [CrossRef]
- Zeng, Y.; Wang, Y.; Gu, S.; Huang, Y.; Zhou, P.; Mu, P.; Li, N. Chaotic Characteristics Enhancement by Introducing Optical Feedback into a Sole Intensity Modulation Optical Injection System. J. Opt. Soc. Am. B 2023, 40, 1726. [Google Scholar] [CrossRef]
- Pelton, M.; Santori, C.; Vučković, J.; Zhang, B.; Solomon, G.S.; Plant, J.; Yamamoto, Y. Efficient Source of Single Photons: A Single Quantum Dot in a Micropost Microcavity. Phys. Rev. Lett. 2002, 89, 233602. [Google Scholar] [CrossRef]
- Reitzenstein, S.; Heindel, T.; Kistner, C.; Rahimi-Iman, A.; Schneider, C.; Höfling, S.; Forchel, A. Low Threshold Electrically Pumped Quantum Dot-Micropillar Lasers. Appl. Phys. Lett. 2008, 93, 061104. [Google Scholar] [CrossRef]
- Chang, S.-W.; Ni, C.-Y.A.; Chuang, S.-L. Theory for Bowtie Plasmonic Nanolasers. Opt. Express 2008, 16, 10580. [Google Scholar] [CrossRef]
- Hill, M.T.; Marell, M.; Leong, E.S.P.; Smalbrugge, B.; Zhu, Y.; Sun, M.; Van Veldhoven, P.J.; Geluk, E.J.; Karouta, F.; Oei, Y.-S.; et al. Lasing in Metal-Insulator-Metal Sub-Wavelength Plasmonic Waveguides. Opt. Express 2009, 17, 11107. [Google Scholar] [CrossRef]
- Oulton, R.F.; Sorger, V.J.; Zentgraf, T.; Ma, R.-M.; Gladden, C.; Dai, L.; Bartal, G.; Zhang, X. Plasmon Lasers at Deep Subwavelength Scale. Nature 2009, 461, 629–632. [Google Scholar] [CrossRef] [PubMed]
- Yu, K.; Lakhani, A.; Wu, M.C. Subwavelength Metal-Optic Semiconductor Nanopatch Lasers. Opt. Express 2010, 18, 8790. [Google Scholar] [CrossRef]
- Lakhani, A.M.; Kim, M.; Lau, E.K.; Wu, M.C. Plasmonic Crystal Defect Nanolaser. Opt. Express 2011, 19, 18237. [Google Scholar] [CrossRef]
- Ding, K.; Liu, Z.; Yin, L.; Wang, H.; Liu, R.; Hill, M.T.; Marell, M.J.H.; Van Veldhoven, P.J.; Nötzel, R.; Ning, C.Z. Electrical Injection, Continuous Wave Operation of Subwavelength-Metallic-Cavity Lasers at 260 K. Appl. Phys. Lett. 2011, 98, 231108. [Google Scholar] [CrossRef]
- Sattar, Z.; Shore, K. Analysis of the Direct Modulation Response of Nanowire Lasers. J. Lightwave Technol. 2015, 33, 3028–3033. [Google Scholar] [CrossRef]
- Sattar, Z.A.; Shore, K.A. External Optical Feedback Effects in Semiconductor Nanolasers. IEEE J. Sel. Top. Quantum Electron. 2015, 21, 500–505. [Google Scholar] [CrossRef]
- Abdul Sattar, Z.; Ali Kamel, N.; Shore, K.A. Optical Injection Effects in Nanolasers. IEEE J. Quantum Electron. 2016, 52, 1200108. [Google Scholar] [CrossRef]
- Han, H.; Shore, K.A. Dynamics and Stability of Mutually Coupled Nano-Lasers. IEEE J. Quantum Electron. 2016, 52, 2000306. [Google Scholar] [CrossRef]
- Han, H.; Shore, K.A. Modulated Mutually Coupled Nano-Lasers. IEEE J. Quantum Electron. 2017, 53, 2000208. [Google Scholar] [CrossRef]
- Romeira, B.; Fiore, A. Purcell Effect in the Stimulated and Spontaneous Emission Rates of Nanoscale Semiconductor Lasers. IEEE J. Quantum Electron. 2018, 54, 2000412. [Google Scholar] [CrossRef]
- Wu, S.; Buckley, S.; Schaibley, J.R.; Feng, L.; Yan, J.; Mandrus, D.G.; Hatami, F.; Yao, W.; Vučković, J.; Majumdar, A.; et al. Monolayer Semiconductor Nanocavity Lasers with Ultralow Thresholds. Nature 2015, 520, 69–72. [Google Scholar] [CrossRef] [PubMed]
- Elsonbaty, A.; Hegazy, S.F.; Obayya, S.S.A. Simultaneous Concealment of Time Delay Signature in Chaotic Nanolaser with Hybrid Feedback. Opt. Lasers Eng. 2018, 107, 342–351. [Google Scholar] [CrossRef]
- Qu, Y.; Xiang, S.; Wang, Y.; Lin, L.; Wen, A.J.; Hao, Y. Concealment of Time Delay Signature of Chaotic Semiconductor Nanolasers with Double Chaotic Optical Injections. IEEE J. Quantum Electron. 2019, 55, 2000407. [Google Scholar] [CrossRef]
- Abdul Sattar, Z.; Shore, K.A. Phase Conjugate Feedback Effects in Nano-Lasers. IEEE J. Quantum Electron. 2016, 52, 1100108. [Google Scholar] [CrossRef]
- Jiang, P.; Zhou, P.; Li, N.; Mu, P.; Li, X. Optically Injected Nanolasers for Time-Delay Signature Suppression and Communications. Opt. Express 2020, 28, 26421. [Google Scholar] [CrossRef] [PubMed]
- Zhang, X.; Guo, G.; Liu, X.; Hu, G.; Wang, K.; Mu, P. Dynamics and Concealment of Time-Delay Signature in Mutually Coupled Nano-Laser Chaotic Systems. Photonics 2023, 10, 1196. [Google Scholar] [CrossRef]









| Parameter | Description | Value |
|---|---|---|
| Confinement factor | 0.645 | |
| Carrier lifetime Photon lifetime | 1 ns 0.36 ps | |
| td | Feedback delay | 0.2 ns |
| Differential gain | ||
| Transparency carrier density | ||
| Gain saturation factor | ||
| Linewidth enhancement factor | 5 | |
| Volume of active region | ||
| Wavelength of NL | 1591 nm | |
| Laser facet reflectivity | 0.85 | |
| External facet power reflectivity | 0.95 | |
| Injection ratio | 0–0.1 | |
| n | Refractive index | 3.4 |
| L | Cavity length | |
| Q | Quality factor | 428 |
| f | Feedback coupling fraction | 0–0.9 |
Disclaimer/Publisher’s Note: The statements, opinions and data contained in all publications are solely those of the individual author(s) and contributor(s) and not of MDPI and/or the editor(s). MDPI and/or the editor(s) disclaim responsibility for any injury to people or property resulting from any ideas, methods, instructions or products referred to in the content. |
© 2024 by the authors. Licensee MDPI, Basel, Switzerland. This article is an open access article distributed under the terms and conditions of the Creative Commons Attribution (CC BY) license (https://creativecommons.org/licenses/by/4.0/).
Share and Cite
Chen, H.; Mu, P.; Guo, G.; Liu, X.; He, P. Time-Delay Signature Suppression and Communications of Nanolaser Based on Phase Conjugate Feedback. Photonics 2024, 11, 91. https://doi.org/10.3390/photonics11010091
Chen H, Mu P, Guo G, Liu X, He P. Time-Delay Signature Suppression and Communications of Nanolaser Based on Phase Conjugate Feedback. Photonics. 2024; 11(1):91. https://doi.org/10.3390/photonics11010091
Chicago/Turabian StyleChen, Hao, Penghua Mu, Gang Guo, Xintian Liu, and Pengfei He. 2024. "Time-Delay Signature Suppression and Communications of Nanolaser Based on Phase Conjugate Feedback" Photonics 11, no. 1: 91. https://doi.org/10.3390/photonics11010091
APA StyleChen, H., Mu, P., Guo, G., Liu, X., & He, P. (2024). Time-Delay Signature Suppression and Communications of Nanolaser Based on Phase Conjugate Feedback. Photonics, 11(1), 91. https://doi.org/10.3390/photonics11010091

