Enhanced XUV Harmonics Generation with an Intense Laser Field in the Overdriven Regime
Abstract
1. Introduction
2. Theoretical Methods
2.1. The Macroscopic Propagation of the Driving Laser and Harmonic Fields
2.2. Transient Phase Matching in the Overdriven Regime
3. Results and Discussion
3.1. Effects of the Laser Intensity and Gas Pressure on the HHG
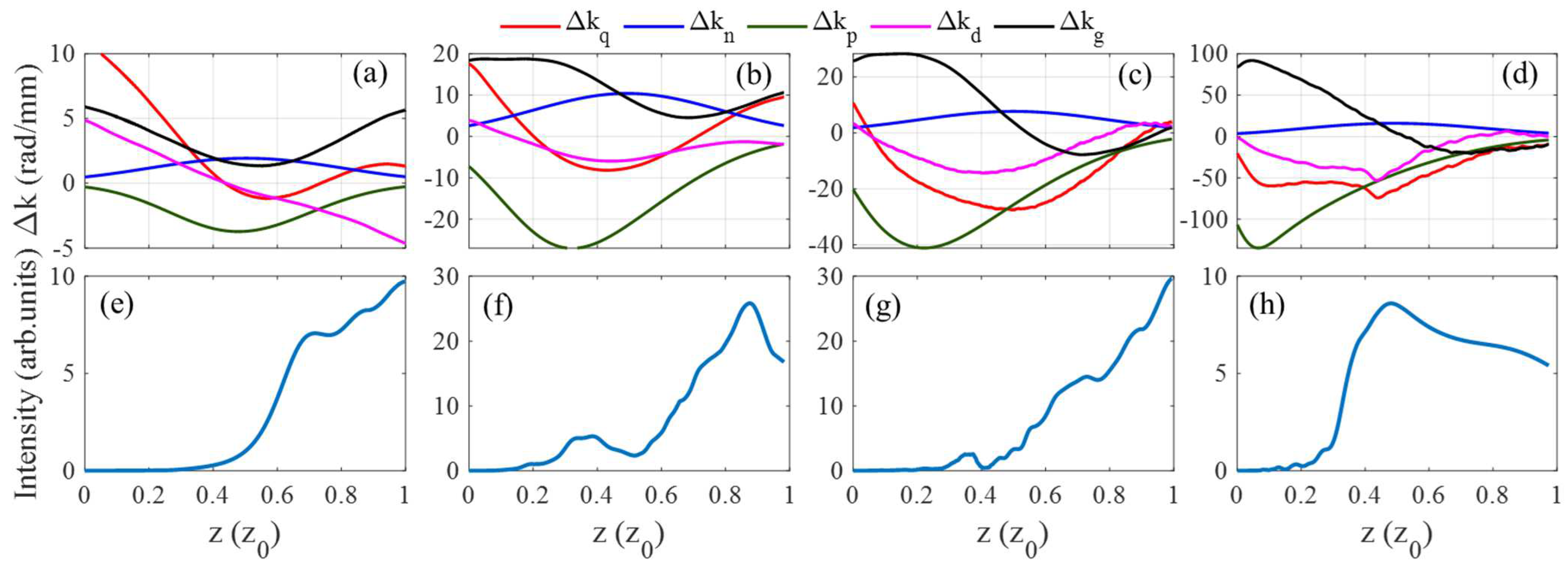
3.2. Phase Matching Analysis of the Harmonic Emissions in the Overdriven Regime
4. Conclusions
Supplementary Materials
Author Contributions
Funding
Institutional Review Board Statement
Informed Consent Statement
Data Availability Statement
Conflicts of Interest
References
- Midorikawa, K. Progress on table-top isolated attosecond light sources. Nat. Photonics 2022, 16, 267–278. [Google Scholar] [CrossRef]
- Krausz, F.; Ivanov, M. Attosecond physics. Rev. Mod. Phys. 2009, 81, 163–234. [Google Scholar] [CrossRef]
- Takahashi, E.J.; Kanai, T.; Ishikawa, K.L.; Nabekawa, Y.; Midorikawa, K. Coherent Water Window X Ray by Phase-Matched High-Order Harmonic Generation in Neutral Media. Phys. Rev. Lett. 2008, 101, 253901. [Google Scholar] [CrossRef]
- Popmintchev, T.; Chen, M.-C.; Popmintchev, D.; Arpin, P.; Brown, S.; Ališauskas, S.; Andriukaitis, G.; Balčiunas, T.; Mücke, O.D.; Pugzlys, A.; et al. Bright Coherent Ultrahigh Harmonics in the keV X-ray Regime from Mid-Infrared Femtosecond Lasers. Science 2012, 336, 1287–1291. [Google Scholar] [CrossRef] [PubMed]
- Johnson, A.S.; Austin, D.R.; Wood, D.A.; Brahms, C.; Gregory, A.; Holzner, K.B.; Jarosch, S.; Larsen, E.W.; Parker, S.; Strüber, C.S.; et al. High-flux soft x-ray harmonic generation from ionization-shaped few-cycle laser pulses. Sci. Adv. 2018, 4, eaar3761. [Google Scholar] [CrossRef]
- Ren, X.; Li, J.; Yin, Y.; Zhao, K.; Chew, A.; Wang, Y.; Hu, S.; Cheng, Y.; Cunningham, E.; Wu, Y.; et al. Attosecond light sources in the water window. J. Opt. 2018, 20, 023001. [Google Scholar] [CrossRef]
- Han, S.; Li, J.; Zhu, Z.; Chew, A.; Larsen, E.W.; Wu, Y.; Pang, S.S.; Chang, Z. Chapter One—Tabletop attosecond X-rays in the water window. In Advances in Atomic, Molecular, and Optical Physics; Dimauro, L.F., Perrin, H., Yelin, S.F., Eds.; Academic Press: Cambridge, MA, USA, 2020; Volume 69, pp. 1–65. [Google Scholar]
- Major, B.; Ghafur, O.; Kovács, K.; Varjú, K.; Tosa, V.; Vrakking, M.J.J.; Schütte, B. Compact intense extreme-ultraviolet source. Optica 2021, 8, 960–965. [Google Scholar] [CrossRef]
- Gao, J.; Wu, J.; Lou, Z.; Yang, F.; Qian, J.; Peng, Y.; Leng, Y.; Zheng, Y.; Zeng, Z.; Li, R. High-order harmonic generation in an x-ray range from laser-induced multivalent ions of noble gas. Optica 2022, 9, 1003–1008. [Google Scholar] [CrossRef]
- Goulielmakis, E.; Loh, Z.-H.; Wirth, A.; Santra, R.; Rohringer, N.; Yakovlev, V.S.; Zherebtsov, S.; Pfeifer, T.; Azzeer, A.M.; Kling, M.F.; et al. Real-time observation of valence electron motion. Nature 2010, 466, 739–743. [Google Scholar] [CrossRef]
- Bencivenga, F.; Mincigrucci, R.; Capotondi, F.; Foglia, L.; Naumenko, D.; Maznev, A.A.; Pedersoli, E.; Simoncig, A.; Caporaletti, F.; Chiloyan, V.; et al. Nanoscale transient gratings excited and probed by extreme ultraviolet femtosecond pulses. Sci. Adv. 2019, 5, eaaw5805. [Google Scholar] [CrossRef]
- Lan, P.; Ruhmann, M.; He, L.; Zhai, C.; Wang, F.; Zhu, X.; Zhang, Q.; Zhou, Y.; Li, M.; Lein, M.; et al. Attosecond Probing of Nuclear Dynamics with Trajectory-Resolved High-Harmonic Spectroscopy. Phys. Rev. Lett. 2017, 119, 033201. [Google Scholar] [CrossRef] [PubMed]
- Popmintchev, D.; Galloway, B.R.; Chen, M.-C.; Dollar, F.; Mancuso, C.A.; Hankla, A.; Miaja-Avila, L.; O’Neil, G.; Shaw, J.M.; Fan, G.; et al. Near- and Extended-Edge X-Ray-Absorption Fine-Structure Spectroscopy Using Ultrafast Coherent High-Order Harmonic Supercontinua. Phys. Rev. Lett. 2018, 120, 093002. [Google Scholar] [CrossRef]
- Fu, Y.; Nishimura, K.; Shao, R.; Suda, A.; Midorikawa, K.; Lan, P.; Takahashi, E.J. High efficiency ultrafast water-window harmonic generation for single-shot soft X-ray spectroscopy. Commun. Phys. 2020, 3, 92. [Google Scholar] [CrossRef]
- Corkum, P.B. Plasma perspective on strong field multiphoton ionization. Phys. Rev. Lett. 1993, 71, 1994–1997. [Google Scholar] [CrossRef] [PubMed]
- Tate, J.; Auguste, T.; Muller, H.G.; Salières, P.; Agostini, P.; DiMauro, L.F. Scaling of Wave-Packet Dynamics in an Intense Midinfrared Field. Phys. Rev. Lett. 2007, 98, 013901. [Google Scholar] [CrossRef]
- Balcou, P.; L’Huillier, A. Phase-matching effects in strong-field harmonic generation. Phys. Rev. A 1993, 47, 1447–1459. [Google Scholar] [CrossRef]
- Jin, C.; Le, A.-T.; Trallero-Herrero, C.A.; Lin, C.D. Generation of isolated attosecond pulses in the far field by spatial filtering with an intense few-cycle mid-infrared laser. Phys. Rev. A 2011, 84, 043411. [Google Scholar] [CrossRef]
- Popmintchev, T.; Chen, M.-C.; Bahabad, A.; Gerrity, M.; Sidorenko, P.; Cohen, O.; Christov, I.P.; Murnane, M.M.; Kapteyn, H.C. Phase matching of high harmonic generation in the soft and hard X-ray regions of the spectrum. Proc. Natl. Acad. Sci. USA 2009, 106, 10516. [Google Scholar] [CrossRef]
- Chen, M.C.; Arpin, P.; Popmintchev, T.; Gerrity, M.; Zhang, B.; Seaberg, M.; Popmintchev, D.; Murnane, M.M.; Kapteyn, H.C. Bright, Coherent, Ultrafast Soft X-ray Harmonics Spanning the Water Window from a Tabletop Light Source. Phys. Rev. Lett. 2010, 105, 173901. [Google Scholar] [CrossRef]
- Wang, H.; Xu, Y.; Ulonska, S.; Robinson, J.S.; Ranitovic, P.; Kaindl, R.A. Bright high-repetition-rate source of narrowband extreme-ultraviolet harmonics beyond 22 eV. Nat. Commun. 2015, 6, 7459. [Google Scholar] [CrossRef]
- Durfee, C.G.; Rundquist, A.R.; Backus, S.; Herne, C.; Murnane, M.M.; Kapteyn, H.C. Phase Matching of High-Order Harmonics in Hollow Waveguides. Phys. Rev. Lett. 1999, 83, 2187–2190. [Google Scholar] [CrossRef]
- Lai, C.-J.; Kärtner, F.X. The influence of plasma defocusing in high harmonic generation. Opt. Express 2011, 19, 22377–22387. [Google Scholar] [CrossRef] [PubMed][Green Version]
- Hareli, L.; Shoulga, G.; Bahabad, A. Phase matching and quasi-phase matching of high-order harmonic generation—A tutorial. J. Phys. B 2020, 53, 233001. [Google Scholar] [CrossRef]
- Seres, J.; Yakovlev, V.S.; Seres, E.; Streli, C.; Wobrauschek, P.; Spielmann, C.; Krausz, F. Coherent superposition of laser-driven soft-X-ray harmonics from successive sources. Nat. Phys. 2007, 3, 878–883. [Google Scholar] [CrossRef]
- Lytle, A.L.; Zhang, X.; Peatross, J.; Murnane, M.M.; Kapteyn, H.C.; Cohen, O. Probe of High-Order Harmonic Generation in a Hollow Waveguide Geometry using Counterpropagating Light. Phys. Rev. Lett. 2007, 98, 123904. [Google Scholar] [CrossRef] [PubMed]
- Gibson, E.A.; Paul, A.; Wagner, N.; Tobey, R.A.; Gaudiosi, D.; Backus, S.; Christov, I.P.; Aquila, A.; Gullikson, E.M.; Attwood, D.T.; et al. Coherent Soft X-ray Generation in the Water Window with Quasi-Phase Matching. Science 2003, 302, 95–98. [Google Scholar] [CrossRef] [PubMed]
- Paul, A.; Bartels, R.A.; Tobey, R.; Green, H.; Weiman, S.; Christov, I.P.; Murnane, M.M.; Kapteyn, H.C.; Backus, S. Quasi-phase-matched generation of coherent extreme-ultraviolet light. Nature 2003, 421, 51–54. [Google Scholar] [CrossRef] [PubMed]
- Sun, H.-W.; Huang, P.-C.; Tzeng, Y.-H.; Huang, J.-T.; Lin, C.D.; Jin, C.; Chen, M.-C. Extended phase matching of high harmonic generation by plasma-induced defocusing. Optica 2017, 4, 976–981. [Google Scholar] [CrossRef]
- Major, B.; Kovács, K.; Svirplys, E.; Anus, M.; Ghafur, O.; Varjú, K.; Vrakking, M.J.J.; Tosa, V.; Schütte, B. High-order harmonic generation in a strongly overdriven regime. Phys. Rev. A 2023, 107, 023514. [Google Scholar] [CrossRef]
- Jin, C.; Chen, M.-C.; Sun, H.-W.; Lin, C.D. Extension of water-window harmonic cutoff by laser defocusing-assisted phase matching. Opt. Lett. 2018, 43, 4433–4436. [Google Scholar] [CrossRef]
- Shao, R.; Zhai, C.; Zhang, Y.; He, L.; Zhu, X.; Lan, P.; Lu, P. Efficient soft x-ray high-order harmonic generation via dual-pulse driving lasers in the overdriven regime. J. Phys. B 2021, 54, 064001. [Google Scholar] [CrossRef]
- Schötz, J.; Förg, B.; Schweinberger, W.; Liontos, I.; Masood, H.A.; Kamal, A.M.; Jakubeit, C.; Kling, N.G.; Paasch-Colberg, T.; Biswas, S.; et al. Phase-Matching for Generation of Isolated Attosecond XUV and Soft-X-ray Pulses with Few-Cycle Drivers. Phys. Rev. X 2020, 10, 041011. [Google Scholar] [CrossRef]
- Tang, X.; Wang, K.; Li, B.; Chen, Y.; Lin, C.D.; Jin, C. Optimal generation and isolation of attosecond pulses in an overdriven ionized medium. Opt. Lett. 2021, 46, 5137–5140. [Google Scholar] [CrossRef] [PubMed]
- Jin, C.; Tang, X.; Li, B.; Wang, K.; Lin, C.D. Optimal Spatial Separation of High-Order Harmonics from Infrared Driving Lasers with an Annular Beam in the Overdriven Regime. Phys. Rev. Appl. 2020, 14, 014057. [Google Scholar] [CrossRef]
- Trallero-Herrero, C.; Jin, C.; Schmidt, B.E.; Shiner, A.D.; Kieffer, J.C.; Corkum, P.B.; Villeneuve, D.M.; Lin, C.D.; Légaré, F.; Le, A.T. Generation of broad XUV continuous high harmonic spectra and isolated attosecond pulses with intense mid-infrared lasers. J. Phys. B 2012, 45, 011001. [Google Scholar] [CrossRef][Green Version]
- Lewenstein, M.; Balcou, P.; Ivanov, M.Y.; L’Huillier, A.; Corkum, P.B. Theory of high-harmonic generation by low-frequency laser fields. Phys. Rev. A 1994, 49, 2117–2132. [Google Scholar] [CrossRef]
- Ammosov, M.V.; Delone, N.B.; Krainov, V.P. Tunnel ionization of complex atoms and of atomic ions in an alternating electromagnetic field. Sov. J. Exp. Theor. Phys. 1986, 64, 1191–1194. [Google Scholar]
- Geissler, M.; Tempea, G.; Scrinzi, A.; Schnürer, M.; Krausz, F.; Brabec, T. Light Propagation in Field-Ionizing Media: Extreme Nonlinear Optics. Phys. Rev. Lett. 1999, 83, 2930–2933. [Google Scholar] [CrossRef]
- Priori, E.; Cerullo, G.; Nisoli, M.; Stagira, S.; De Silvestri, S.; Villoresi, P.; Poletto, L.; Ceccherini, P.; Altucci, C.; Bruzzese, R.; et al. Nonadiabatic three-dimensional model of high-order harmonic generation in the few-optical-cycle regime. Phys. Rev. A 2000, 61, 063801. [Google Scholar] [CrossRef]
- Jin, C.; Le, A.-T.; Lin, C.D. Medium propagation effects in high-order harmonic generation of Ar and N2. Phys. Rev. A 2011, 83, 023411. [Google Scholar] [CrossRef]
- Balcou, P.; Salières, P.; L’Huillier, A.; Lewenstein, M. Generalized phase-matching conditions for high harmonics: The role of field-gradient forces. Phys. Rev. A 1997, 55, 3204–3210. [Google Scholar] [CrossRef]
- Gaarde, M.B.; Tate, J.L.; Schafer, K.J. Macroscopic aspects of attosecond pulse generation. J. Phys. B 2008, 41, 132001. [Google Scholar] [CrossRef]
- Jin, C.; Lin, C.D. Spatially coherent high-order harmonics generated at optimal high gas pressure with high-intensity one- or two-color laser pulses. Phys. Rev. A 2016, 94, 043804. [Google Scholar] [CrossRef]
- Watson, J.B.; Sanpera, A.; Burnett, K. Pulse-shape effects and blueshifting in the single-atom harmonic generation from neutral species and ions. Phys. Rev. A 1995, 51, 1458–1463. [Google Scholar] [CrossRef]
- Shin, H.J.; Lee, D.G.; Cha, Y.H.; Hong, K.H.; Nam, C.H. Generation of Nonadiabatic Blueshift of High Harmonics in an Intense Femtosecond Laser Field. Phys. Rev. Lett. 1999, 83, 2544–2547. [Google Scholar] [CrossRef]
- Tong, X.-M.; Chu, S.-I. Probing the spectral and temporal structures of high-order harmonic generation in intense laser pulses. Phys. Rev. A 2000, 61, 021802. [Google Scholar] [CrossRef]
- Constant, E.; Garzella, D.; Breger, P.; Mével, E.; Dorrer, C.; Le Blanc, C.; Salin, F.; Agostini, P. Optimizing High Harmonic Generation in Absorbing Gases: Model and Experiment. Phys. Rev. Lett. 1999, 82, 1668–1671. [Google Scholar] [CrossRef]
- Weissenbilder, R.; Carlström, S.; Rego, L.; Guo, C.; Heyl, C.M.; Smorenburg, P.; Constant, E.; Arnold, C.L.; L’Huillier, A. How to optimize high-order harmonic generation in gases. Nat. Rev. Phys. 2022, 4, 713–722. [Google Scholar] [CrossRef]
- Henke, B.L.; Gullikson, E.M.; Davis, J.C. X-Ray Interactions: Photoabsorption, Scattering, Transmission, and Reflection at E = 50–30,000 eV, Z = 1–92. At. Data Nucl. Data Tables 1993, 54, 181–342. [Google Scholar] [CrossRef]
- Kazamias, S.; Daboussi, S.; Guilbaud, O.; Cassou, K.; Ros, D.; Cros, B.; Maynard, G. Pressure-induced phase matching in high-order harmonic generation. Phys. Rev. A 2011, 83, 063405. [Google Scholar] [CrossRef]
- Rivas, D.E.; Major, B.; Weidman, M.; Helml, W.; Marcus, G.; Kienberger, R.; Charalambidis, D.; Tzallas, P.; Balogh, E.; Kovács, K.; et al. Propagation-enhanced generation of intense high-harmonic continua in the 100-eV spectral region. Optica 2018, 5, 1283–1289. [Google Scholar] [CrossRef]
- Major, B.; Kovács, K.; Tosa, V.; Rudawski, P.; L’Huillier, A.; Varjú, K. Effect of plasma-core-induced self-guiding on phase matching of high-order harmonic generation in gases. J. Opt. Soc. Am. B 2019, 36, 1594–1601. [Google Scholar] [CrossRef]
- Tosa, V.; Lee, J.S.; Kim, H.T.; Nam, C.H. Attosecond pulses generated by the lighthouse effect in Ar gas. Phys. Rev. A 2015, 91, 051801. [Google Scholar] [CrossRef]
- Kovács, K.; Negro, M.; Vozzi, C.; Stagira, S.; Tosa, V. Attosecond lighthouse above 100 eV from high-harmonic generation of mid-infrared pulses. J. Opt. 2017, 19, 104003. [Google Scholar] [CrossRef]
- Fu, Y.; Zeng, J.; Yuan, J. PCTDSE: A parallel Cartesian-grid-based TDSE solver for modeling laser–atom interactions. Comput. Phys. Commun. 2017, 210, 181–192. [Google Scholar] [CrossRef]
- Beaulieu, S.; Camp, S.; Descamps, D.; Comby, A.; Wanie, V.; Petit, S.; Légaré, F.; Schafer, K.J.; Gaarde, M.B.; Catoire, F.; et al. Role of Excited States in High-order Harmonic Generation. Phys. Rev. Lett. 2016, 117, 203001. [Google Scholar] [CrossRef]
- Watson, J.B.; Sanpera, A.; Chen, X.; Burnett, K. Harmonic generation from a coherent superposition of states. Phys. Rev. A 1996, 53, R1962–R1965. [Google Scholar] [CrossRef]
- Yuan, X.; Wei, P.; Liu, C.; Zeng, Z.; Zheng, Y.; Jiang, J.; Ge, X.; Li, R. Enhanced high-order harmonic generation from excited argon. Appl. Phys. Lett. 2015, 107, 041110. [Google Scholar] [CrossRef]
- Chen, J.; Wang, R.; Zhai, Z.; Chen, J.; Fu, P.; Wang, B.; Liu, W.-M. Frequency-selected enhancement of high-order-harmonic generation by interference of degenerate Rydberg states in a few-cycle laser pulse. Phys. Rev. A 2012, 86, 033417. [Google Scholar] [CrossRef]
- Tikman, Y.; Yavuz, I.; Ciappina, M.F.; Chacón, A.; Altun, Z.; Lewenstein, M. High-order-harmonic generation from Rydberg atoms driven by plasmon-enhanced laser fields. Phys. Rev. A 2016, 93, 023410. [Google Scholar] [CrossRef]
- Krause, J.L.; Schafer, K.J.; Kulander, K.C. High-order harmonic generation from atoms and ions in the high intensity regime. Phys. Rev. Lett. 1992, 68, 3535–3538. [Google Scholar] [CrossRef] [PubMed]
- Miyazaki, K.; Takada, H. High-order harmonic generation in the tunneling regime. Phys. Rev. A 1995, 52, 3007–3021. [Google Scholar] [CrossRef] [PubMed]







Disclaimer/Publisher’s Note: The statements, opinions and data contained in all publications are solely those of the individual author(s) and contributor(s) and not of MDPI and/or the editor(s). MDPI and/or the editor(s) disclaim responsibility for any injury to people or property resulting from any ideas, methods, instructions or products referred to in the content. |
© 2023 by the authors. Licensee MDPI, Basel, Switzerland. This article is an open access article distributed under the terms and conditions of the Creative Commons Attribution (CC BY) license (https://creativecommons.org/licenses/by/4.0/).
Share and Cite
Qin, Z.; Xu, Z.; Yu, C.; Liu, J.; Cai, J.; Zhang, Z.; Zhou, S.; Jiao, X.; Xiang, Z. Enhanced XUV Harmonics Generation with an Intense Laser Field in the Overdriven Regime. Photonics 2023, 10, 964. https://doi.org/10.3390/photonics10090964
Qin Z, Xu Z, Yu C, Liu J, Cai J, Zhang Z, Zhou S, Jiao X, Xiang Z. Enhanced XUV Harmonics Generation with an Intense Laser Field in the Overdriven Regime. Photonics. 2023; 10(9):964. https://doi.org/10.3390/photonics10090964
Chicago/Turabian StyleQin, Zhiyong, Zibo Xu, Changhai Yu, Jiansheng Liu, Jintan Cai, Zhijun Zhang, Shiyi Zhou, Xuhui Jiao, and Zhongtao Xiang. 2023. "Enhanced XUV Harmonics Generation with an Intense Laser Field in the Overdriven Regime" Photonics 10, no. 9: 964. https://doi.org/10.3390/photonics10090964
APA StyleQin, Z., Xu, Z., Yu, C., Liu, J., Cai, J., Zhang, Z., Zhou, S., Jiao, X., & Xiang, Z. (2023). Enhanced XUV Harmonics Generation with an Intense Laser Field in the Overdriven Regime. Photonics, 10(9), 964. https://doi.org/10.3390/photonics10090964

