An Investigation of High-Performance Pressure Sensor Employing a Polymer-Defect-Based 1D Annular Photonic Crystal
Abstract
1. Introduction
2. Proposed Structure and Mathematical Modelling
Pressure-Dependent Refractive Index of Constituent Materials
3. Results and Discussion
4. Conclusions
Author Contributions
Funding
Institutional Review Board Statement
Informed Consent Statement
Data Availability Statement
Conflicts of Interest
References
- Panda, A.; Pukhrambam, P.D. Design and analysis of porous core photonic crystal fiber based ethylene glycol sensor operated at infrared wavelengths. J. Comput. Electron. 2021, 20, 943–957. [Google Scholar] [CrossRef]
- Li, T.; Liu, G.; Kong, H.; Yang, G.; Wei, G.; Zhou, X. Recent advances in photonic crystal-based sensors. Coord. Chem. Rev. 2023, 475, 214909. [Google Scholar] [CrossRef]
- Panda, A.; Pukhrambam, P.D.; Simatupang, J.W. Design of a Highly Sensitive Self-Reference Tamm-Plasmon-Polariton Sensor Employing Ti3C2Tx MXene. IEEE Sens. J. 2022, 22, 12719–12727. [Google Scholar] [CrossRef]
- Aly, A.H.; Sayed, F.A.; Elsayed, H.A. Defect mode tunability based on the electro-optical characteristics of the one-dimensional graphene photonic crystals. Appl. Opt. 2020, 59, 4796–4805. [Google Scholar] [CrossRef] [PubMed]
- Aly, A.H.; Zaky, Z.A.; Shalaby, A.S.; Ahmed, A.M.; Vigneswaran, D. Theoretical study of hybrid multifunctional one-dimensional photonic crystal as a flexible blood sugar sensor. Phys. Scr. 2020, 95, 035510. [Google Scholar] [CrossRef]
- Paterno, G.M.; Moscardi, L.; Donini, S.; Ariodanti, D.; Kriegel, I.; Zani, M.; Parisini, E.; Scotognella, F.; Lanzani, G. Hybrid One-Dimensional Plasmonic–Photonic Crystals for Optical Detection of Bacterial Contaminants. J. Phys. Chem. Lett. 2019, 10, 4980–4986. [Google Scholar] [CrossRef] [PubMed]
- Ramanujam, N.; Panda, A.; Yupapin, P.; Natesan, A.; Prabpal, P. Numerical characterization of 1D-Photonic crystal waveguide for female reproductive hormones sensing applications. Physica B 2022, 639, 414011. [Google Scholar] [CrossRef]
- Zaghdoudi, J.; Kanzari, M. One-dimensional photonic crystal filter using a gradient-index layer. Optik 2018, 160, 189–196. [Google Scholar] [CrossRef]
- Watcharakitchakorn, O.; Silapunt, R. Design and Modeling of the Photonic Crystal Waveguide Structure for Heat-Assisted Magnetic Recording. Adv. Mater. Sci. Eng. 2018, 2018, 8097841. [Google Scholar] [CrossRef]
- Devashish, D.; Ojambati, O.S.; Hasan, S.B.; van der Vegt, J.J.W.; Vos, W.L. Three dimensional photonic band gap cavity with finite support: Enhanced energy density and optical absorption. Phys. Rev. B 2019, 99, 075112. [Google Scholar] [CrossRef]
- Liu, N.; Guo, H.; Fu, L.; Kaiser, S.; Schweizer, H.; Giessen, H. Three-dimensional photonic metamaterials at optical frequencies. Nat. Mater. 2007, 7, 31–37. [Google Scholar]
- Yang, S.; Zhang, Y.; Peng, X.; Lu, Y.; Xie, S.; Li, J.; Chen, W.; Jiang, Z.; Peng, J.; Li, H. Theoretical study and experimental fabrication of high negative dispersion photonic crystal fiber with large area mode field. Opt. Express 2006, 14, 3015–3023. [Google Scholar] [CrossRef]
- Chen, M.-S.; Wu, C.-J.; Yang, T.-J. Optical properties of a superconducting annular periodic multilayer structure. Solid State Commun. 2009, 149, 1888–1893. [Google Scholar] [CrossRef]
- Urzhumov, Y.A.; Smith, D.R. Transformation optics with photonic band gap media. Phys. Rev. Lett. 2010, 105, 163901. [Google Scholar] [CrossRef] [PubMed]
- Erdogan, T.; King, O.; Wicks, G.W.; Hall, D.G.; Anderson, E.H.; Rooks, M.J. Circularly symmetric operation of a concentric circle grating, surface emitting, AlGaAs/GaAs quantum well semiconductor laser. Appl. Phys. Lett. 1992, 60, 1921–1923. [Google Scholar] [CrossRef]
- Srivastava, S.K.; Aghajamali, A. Investigation of reflectance properties in 1D ternary annular photonic crystal containing semiconductor and high-T c superconductor. J. Supercond. Nov. Magn. 2016, 29, 1423–1431. [Google Scholar] [CrossRef]
- Kaliteevski, M.A.; Abram, R.A.; Nikolaev, V.V.; Sokolovski, G.S. Bragg reflectors for cylindrical waves. J. Mod. Optic. 1999, 46, 875–890. [Google Scholar] [CrossRef]
- Scheuer, J.; Green, W.M.J.; DeRose, G.; Yariv, A. Low-threshold two-dimensional annular Bragg lasers. Optic Lett. 2004, 29, 2641. [Google Scholar] [CrossRef]
- Srivastava, S.K.; Aghajamali, A. Study of optical reflectance properties in 1D annular photonic crystal containing double negative (DNG) metamaterials. Physica B 2016, 489, 67–72. [Google Scholar] [CrossRef]
- Chen, M.S.; Wu, C.J.; Yang, T.J. Narrowband reflection-and-transmission filter in an annular defective photonic crystal containing an ultrathin metallic film. Opt. Commun. 2012, 285, 3143–3149. [Google Scholar] [CrossRef]
- El-Naggar, S.A. Properties of defect modes in cylindrical photonic crystals. Optik 2019, 200, 163447. [Google Scholar] [CrossRef]
- Abadla, M.M.; Elsayed, H.A.; Mehaney, A. Thermo-optical properties of binary one dimensional annular photonic crystal including temperature dependent constituents. Physica E 2020, 119, 114020. [Google Scholar] [CrossRef]
- Abadla, M.M.; Elsayed, H.A.; Mehaney, A. Novel Design for the Temperature Sensing Using Annular Photonic Crystals. Silicon 2021, 13, 4737–4745. [Google Scholar] [CrossRef]
- Mehaney, A.; Abadla, M.M.; Elsayed, H.A. 1D porous silicon photonic crystals comprising Tamm/Fano resonance as high performing optical sensors. J. Mol. Liq. 2021, 322, 114978. [Google Scholar] [CrossRef]
- Jena, S.; Tokas, R.; Thakur, S.; Udupa, D. Tunable mirrors and filters in 1D photonic crystals containing polymers. Physica E 2019, 114, 113627. [Google Scholar] [CrossRef]
- Segovia-Chaves, F.; Vinck-Posada, H. Tuning of transmittance spectrum in a one dimensional superconductor-semiconductor photonic crystal. Physica B 2018, 543, 7–13. [Google Scholar] [CrossRef]
- Herrera, A.Y.; Calero, J.M.; Porras-Montenegro, N. Pressure, temperature, and thickness dependence of transmittance in a 1D superconductor-semiconductor photonic crystal. J. Appl. Phys. 2018, 123, 033101. [Google Scholar] [CrossRef]
- Liu, Z.; Tse, M.-L.V.; Wu, C.; Chen, D.; Lu, C.; Tam, H.-Y. Intermodal coupling of supermodes in a twin-core photonic crystal fiber and its application as a pressure sensor. Opt. Express 2012, 20, 21749. [Google Scholar] [CrossRef]
- Kimura, M.; Okahara, K.; Miyamoto, T. Tunable multilayer-film distributed-Bragg-reflector filter. J. Appl. Phys. 1979, 50, 1222. [Google Scholar] [CrossRef]
- Kolle, M.; Zheng, B.; Gibbons, N.; Baumberg, J.J.; Steiner, U. Stretch-tuneable dielectric mirrors and optical microcavities. Opt. Express 2010, 18, 4536. [Google Scholar] [CrossRef]
- Krumbholz, N.; Gerlach, K.; Rutz, F.; Koch, M.; Piesiewicz, R.; Kürner, T.; Mittleman, D. Omnidirectional terahertz mirrors: A key element for future terahertz communication systems. Appl. Phys. Lett. 2006, 88, 202905. [Google Scholar] [CrossRef]
- Ghouila-Houri, C.; Gerbedoen, J.-C.; Viard, R.; Talbi, A.; Merlen, A.; Pernod, P. Design and elaboration of 1D photonic crystal cavity based on highly flexible elastomer thin layer for sensors applications. Procedia Eng. 2015, 120, 744–747. [Google Scholar] [CrossRef]
- Cheng, D.K. Field and Wave Electromagnetics; Addison Wesley Publishing Company: Toronto, ON, Canada, 1983. [Google Scholar]
- Chourasiaa, R.K.; Yadavb, C.S.; Upadhyayb, A.; Chourasiac, N.K.; Singhb, V. Analysis of Bragg fiber waveguides having a defect layer for biosensing applications. Opt. Int. J. Light Electron Opt. 2020, 200, 163400. [Google Scholar] [CrossRef]
- Katsunari, O. Fundamentals of Optical Waveguides, 2nd ed.; Academic Press: Cambridge, MA, USA, 2006. [Google Scholar]
- Pezzagna, S.; Brault, J.; Leroux, M.; Massies, J.; Micheli, M.D. Refractive indices and elasto-optic coefficients of GaN studied by optical waveguiding. J. Appl. Phys. 2008, 103, 123112. [Google Scholar] [CrossRef]
- Suthar, B.; Bhargava, A. Pressure sensor based on quantum well- structured photonic crystal. Silicon 2020, 13, 1765–1768. [Google Scholar] [CrossRef]
- Huang, M. Stress effects on the performance of optical waveguides. Int. J. Solid Struct. 2003, 40, 1615–1632. [Google Scholar] [CrossRef]
- Sanchez, A.; Porta, A.; Orozco, S. Photonic band-gap and defect modes of a one-dimensional photonic crystal under localized compression. J. Appl. Phys. 2017, 121, 173101. [Google Scholar] [CrossRef]
- Dinodiya, S.; Bhargava, A. A Comparative Analysis of Pressure Sensing Parameters for Two Dimensional Photonic Crystal Sensors Based on Si and GaAs. Silicon 2021, 14, 4611–4618. [Google Scholar] [CrossRef]
- Rajasekar, R.; Robinson, S. Nano-pressure and temperature sensor based on hexagonal photonic crystal ring resonator. Plasmonics 2019, 14, 3–15. [Google Scholar] [CrossRef]
- MiShra, C.S.; Das, S.; Nayak, M.R.; PukhraMbaM, P.D.; Panda, A.; Palai, G. Towards a Highly Sensitive Pressure Sensor Using an Infrared (IR) Laser and a Two-dimensional (2-D) Photonic Crystal Waveguide. Lasers Eng. 2022, 53, 105–119. [Google Scholar]
- Ben-Ali, Y.; Elamri, F.Z.; Ouariach, A.; Falyouni, F.; Tahri, Z.; Bria, D. A high sensitivity hydrostatic pressure and temperature based on a defective 1D photonic crystal. J. Electromagn. Waves Appl. 2020, 34, 2030–2050. [Google Scholar] [CrossRef]
- Thara, R.L.; Priya, P.A.; Nayak, C. Pressure Dependent Characteristics of 1D Random Photonic. J. Phys. Conf. Ser. 2022, 2335, 012013. [Google Scholar]
- Sabra, W.; Elsayed, H.A.; Mehaney, A.; Aly, A.H. Numerical optimization of 1D superconductor photonic crystals pressure sensor for low temperatures applications. Solid State Commun. 2022, 343, 114671. [Google Scholar] [CrossRef]













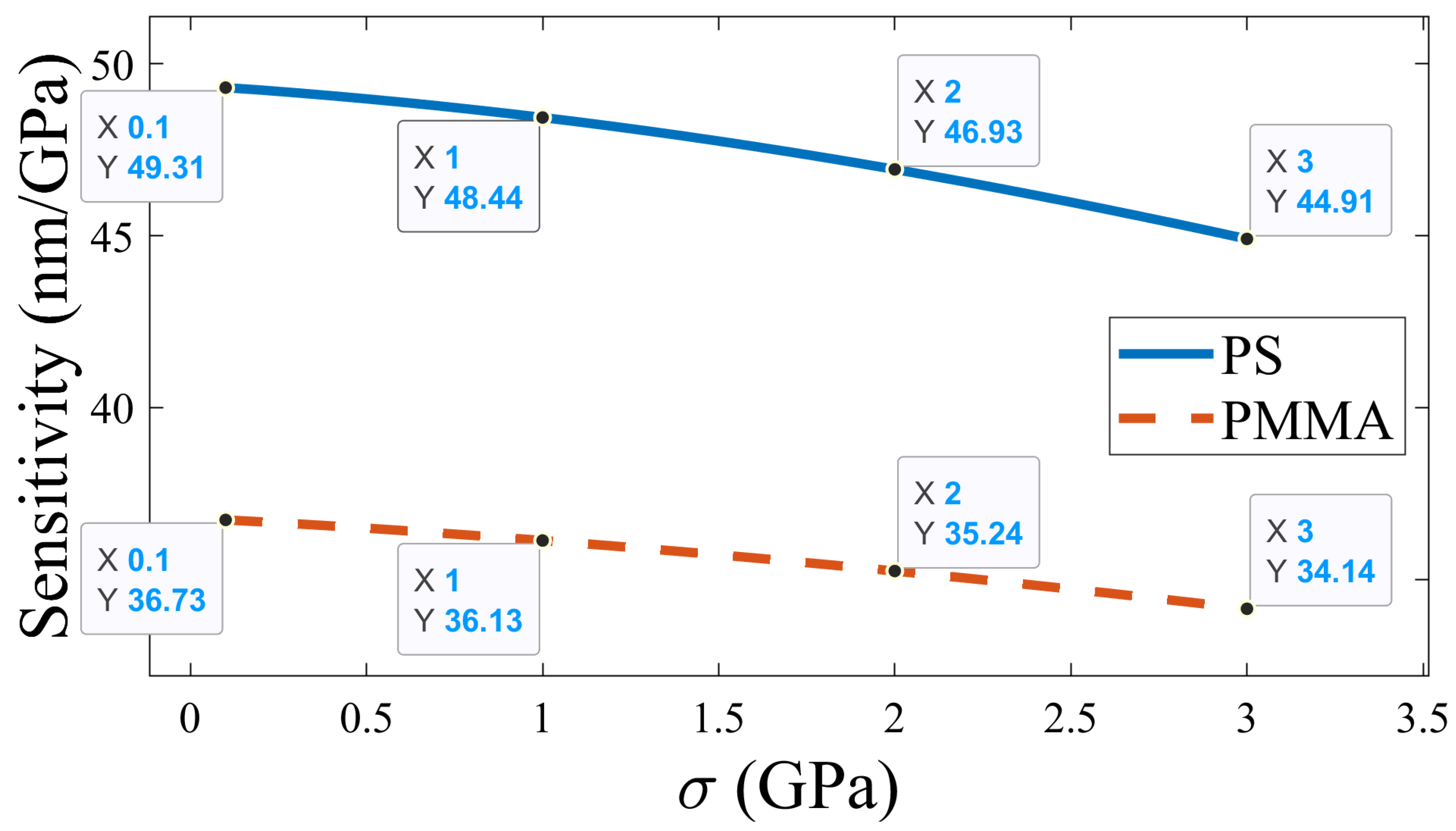
| ) | ) | Defect Peak Intensity | Sensitivity ) | ) | Quality Factor | Figure of Merit ) |
|---|---|---|---|---|---|---|
| 0 | 1475.4 | 0.177 | N/A | 0.234 | 6305.1 | N/A |
| 1 | 1427.0 | 0.104 | 48.4 | 0.204 | 6994.9 | 237.5 |
| 2 | 1381.5 | 0.040 | 46.9 | 0.192 | 7195.5 | 244.4 |
| 3 | 1340.7 | 0.004 | 44.9 | 0.193 | 6946.5 | 232.7 |
| ) | ) | Defect Peak Intensity | Sensitivity ) | ) | Quality Factor | Figure of Merit ) |
|---|---|---|---|---|---|---|
| 0 | 1449.9 | 0.135 | N/A | 0.224 | 6473.0 | N/A |
| 1 | 1413.8 | 0.083 | 36.1 | 0.203 | 6964.6 | 178.0 |
| 2 | 1379.5 | 0.037 | 35.2 | 0.192 | 7184.7 | 183.6 |
| 3 | 1347.5 | 0.008 | 34.1 | 0.190 | 7092.2 | 179.7 |
| Sl. No. | Structure Configuration | Sensitivity (nm/GPa) | Reference |
|---|---|---|---|
| 1 | Si/GaAs-based 2D PhC | 17 | [39] |
| 2 | Ring-resonator-based 2D PhC | 10 | [40] |
| 3 | InAs/ZnO-based 2D PhC | 75 | [41] |
| 4 | 1D PhC of SiO2-TiO2 with GaAs defect | 8.6 | [42] |
| 5 | Quantum-well-based PhC | 6.74 | [43] |
| 6 | 1D PhC with polymer defect | 35 | [44] |
| 7 | Superconductor-based 1D PhC | 1.7467 | [45] |
| 8 | 1D APC with polymer defect layer | 51.29 nm/GPa | This research |
Disclaimer/Publisher’s Note: The statements, opinions and data contained in all publications are solely those of the individual author(s) and contributor(s) and not of MDPI and/or the editor(s). MDPI and/or the editor(s) disclaim responsibility for any injury to people or property resulting from any ideas, methods, instructions or products referred to in the content. |
© 2023 by the authors. Licensee MDPI, Basel, Switzerland. This article is an open access article distributed under the terms and conditions of the Creative Commons Attribution (CC BY) license (https://creativecommons.org/licenses/by/4.0/).
Share and Cite
Ameen, A.A.; Panda, A.; Mehaney, A.; Almawgani, A.H.M.; Pradhan, D.D.; Ali, G.A.; Ali, Y.A.A.; Elsayed, H.A. An Investigation of High-Performance Pressure Sensor Employing a Polymer-Defect-Based 1D Annular Photonic Crystal. Photonics 2023, 10, 731. https://doi.org/10.3390/photonics10070731
Ameen AA, Panda A, Mehaney A, Almawgani AHM, Pradhan DD, Ali GA, Ali YAA, Elsayed HA. An Investigation of High-Performance Pressure Sensor Employing a Polymer-Defect-Based 1D Annular Photonic Crystal. Photonics. 2023; 10(7):731. https://doi.org/10.3390/photonics10070731
Chicago/Turabian StyleAmeen, Ayman A., Abinash Panda, Ahmed Mehaney, Abdulkarem H. M. Almawgani, Dipika D. Pradhan, Ghassan Ahmed Ali, Yahya Ali Abdelrahman Ali, and Hussein A. Elsayed. 2023. "An Investigation of High-Performance Pressure Sensor Employing a Polymer-Defect-Based 1D Annular Photonic Crystal" Photonics 10, no. 7: 731. https://doi.org/10.3390/photonics10070731
APA StyleAmeen, A. A., Panda, A., Mehaney, A., Almawgani, A. H. M., Pradhan, D. D., Ali, G. A., Ali, Y. A. A., & Elsayed, H. A. (2023). An Investigation of High-Performance Pressure Sensor Employing a Polymer-Defect-Based 1D Annular Photonic Crystal. Photonics, 10(7), 731. https://doi.org/10.3390/photonics10070731

