Er-Doped Mg4Ta2O9 Single-Crystal Scintillators Emitting Near-Infrared Photons for High-Dose Field Monitoring
Abstract
1. Introduction
2. Materials and Methods
3. Results
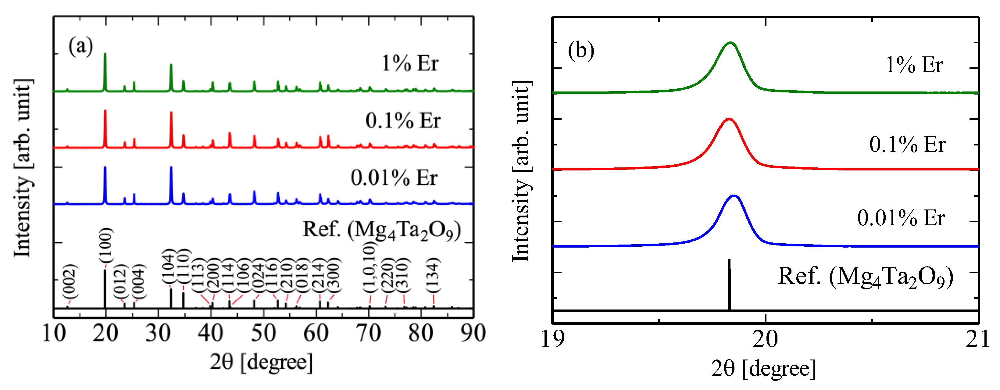
3.1. Sample Conduction
3.2. PL Properties
3.3. Scintillation Properties
4. Conclusions
Author Contributions
Funding
Institutional Review Board Statement
Informed Consent Statement
Data Availability Statement
Conflicts of Interest
References
- Rieder, R.; Economou, T.; Wänke, H.; Turkevich, A.; Crisp, J.; Brückner, J.; Dreibus, G.; McSween, H.Y. The Chemical Composition of Martian Soil and Rocks Returned by the Mobile Alpha Proton X-Ray Spectrometer: Preliminary Results from the X-Ray Mode. Science 1997, 278, 1771–1774. [Google Scholar] [CrossRef] [PubMed]
- Dong, T.; Zhang, Y.; Ma, P.; Zhang, Y.; Bernardini, P.; Ding, M.; Guo, D.; Lei, S.; Li, X.; De Mitri, I.; et al. Charge Measurement of Cosmic Ray Nuclei with the Plastic Scintillator Detector of DAMPE. Astropart. Phys. 2019, 105, 31–36. [Google Scholar] [CrossRef]
- Gold, R. Meson Dosimetry for the Natural Environment. Radiat. Res. 1973, 56, 413. [Google Scholar] [CrossRef] [PubMed]
- Tsutsumi, M.; Tanimura, Y. LaCl3(Ce) Scintillation Detector Applications for Environmental Gamma-Ray Measurements of Low to High Dose Rates. Nucl. Instrum. Methods Phys. Res. A 2006, 557, 554–560. [Google Scholar] [CrossRef]
- Melcher, C.L.; Schweitzer, J.S.; Manente, R.A.; Peterson, C.A. Applications of Single Crystals in Oil Well Logging. J. Cryst. Growth 1991, 109, 37–42. [Google Scholar] [CrossRef]
- Nikitin, A.; Bliven, S. Needs of Well Logging Industry in New Nuclear Detectors. In Proceedings of the IEEE Nuclear Science Symposuim & Medical Imaging Conference, Knoxville, TN, USA, 30 October–6 November 2010; IEEE: Piscataway, NJ, USA, 2010; pp. 1214–1219. [Google Scholar]
- van Eijk, C.W.E. Inorganic Scintillators in Medical Imaging. Phys. Med. Biol. 2002, 47, R85–R106. [Google Scholar] [CrossRef]
- Lecoq, P. Development of New Scintillators for Medical Applications. Nucl. Instrum. Methods Phys. Res. A 2016, 809, 130–139. [Google Scholar] [CrossRef]
- Liu, Y.; Sowerby, B.D.; Tickner, J.R. Comparison of Neutron and High-Energy X-Ray Dual-Beam Radiography for Air Cargo Inspection. Appl. Radiat. Isot. 2008, 66, 463–473. [Google Scholar] [CrossRef]
- Yanagida, T. Study of Rare-Earth-Doped Scintillators. Opt. Mater. 2013, 35, 1987–1992. [Google Scholar] [CrossRef]
- Ichiba, K.; Okazaki, K.; Takebuchi, Y.; Kato, T.; Nakauchi, D.; Kawaguchi, N.; Yanagida, T. X-Ray-Induced Scintillation Properties of Nd-Doped Bi4Si3O12 Crystals in Visible and Near-Infrared Regions. Materials 2022, 15, 8784. [Google Scholar] [CrossRef]
- Yanagida, T. Inorganic Scintillating Materials and Scintillation Detectors. Proc. Jpn. Acad. Ser. A Math. Sci. Ser. B 2018, 94, 75–97. [Google Scholar] [CrossRef] [PubMed]
- Farukhi, M.R. Bi4Ge3O12 (BGO)—A Scintillator Replacement for NaI(Tl). MRS Proc. 1982, 16, 115. [Google Scholar] [CrossRef]
- Coltman, J.W. The Scintillation Counter. Proc. IRE 1949, 37, 671–682. [Google Scholar] [CrossRef]
- Hofstadter, R. Alkali Halide Scintillation Counters. Phys. Rev. 1948, 74, 100–101. [Google Scholar] [CrossRef]
- Grassmann, H.; Lorenz, E.; Moser, H.-G. Properties of CsI(TI)—Renaissance of an Old Scintillation Material. Nucl. Instrum. Methods. Phys. Res. A 1985, 228, 323–326. [Google Scholar] [CrossRef]
- Moses, W.W.; Weber, M.J.; Derenzo, S.E.; Perry, D.; Berdahl, P.; Boatner, L.A. Prospects for Dense, Infrared Emitting Scintillators. IEEE Trans. Nucl. Sci. 1998, 45, 462–466. [Google Scholar] [CrossRef]
- Bressi, G.; Carugno, G.; Conti, E.; Noce, C.D.; Iannuzzi, D. New Prospects in Scintillating Crystals. Nucl. Instrum. Methods Phys. Res. A 2001, 461, 361–364. [Google Scholar] [CrossRef]
- Yanagida, T.; Fujimoto, Y.; Ishizu, S.; Fukuda, K. Optical and Scintillation Properties of Nd Differently Doped YLiF4 from VUV to NIR Wavelengths. Opt. Mater. 2015, 41, 36–40. [Google Scholar] [CrossRef]
- Awater, R.H.P.; Alekhin, M.S.; Biner, D.A.; Krämer, K.W.; Dorenbos, P. Converting SrI2:Eu2+ into a near Infrared Scintillator by Sm2+ Co-Doping. J. Lumin. 2019, 212, 1–4. [Google Scholar] [CrossRef]
- Xiong, L.-Q.; Chen, Z.-G.; Yu, M.-X.; Li, F.-Y.; Liu, C.; Huang, C.-H. Synthesis, Characterization, and in Vivo Targeted Imaging of Amine-Functionalized Rare-Earth up-Converting Nanophosphors. Biomaterials 2009, 30, 5592–5600. [Google Scholar] [CrossRef]
- Ning, Y.; Chen, S.; Chen, H.; Wang, J.-X.; He, S.; Liu, Y.-W.; Cheng, Z.; Zhang, J.-L. A Proof-of-Concept Application of Water-Soluble Ytterbium(III) Molecular Probes in in Vivo NIR-II Whole Body Bioimaging. Inorg. Chem. Front. 2019, 6, 1962–1967. [Google Scholar] [CrossRef]
- Takeda, E.; Kimura, A.; Hosono, Y.; Takahashi, H.; Nakazawa, M. Radiation Distribution Sensor with Optical Fibers for High Radiation Fields. J. Nucl. Sci. Technol. 1999, 36, 641–645. [Google Scholar] [CrossRef]
- Watanabe, K.; Yanagida, T.; Nakauchi, D.; Kawaguchi, N. Scintillation Light Yield of Tb:Sr2Gd8(SiO4)6O2. Jpn. J. Appl. Phys. 2021, 60, 106002. [Google Scholar] [CrossRef]
- Peters, K. Polymer Optical Fiber Sensors—A Review. Smart Mater. Struct. 2011, 20, 013002. [Google Scholar] [CrossRef]
- Wachtel, A. Self-Activated Luminescence of M2+ Niobates and Tantalates. J. Electrochem. Soc. 1964, 111, 534. [Google Scholar] [CrossRef]
- Wu, H.T.; Li, L.X.; Zou, Q.; Liao, Q.W.; Ning, P.F.; Zhang, P. Synthesis, Characterization, and Microwave Dielectric Properties of Mg4Nb2O9 Ceramics Produced through the Aqueous Sol–Gel Process. J. Alloys Compd. 2011, 509, 2232–2237. [Google Scholar] [CrossRef]
- Zhang, H.; Sun, X.; Wang, Y.; Xu, X. Switching on Wide Visible Light Photocatalytic Activity over Mg4Ta2O9 by Nitrogen Doping for Water Oxidation and Reduction. J. Catal. 2019, 377, 455–464. [Google Scholar] [CrossRef]
- Yuan, D.; Moretti, F.; Perrodin, D.; Bizarri, G.; Shalapska, T.; Dujardin, C.; Bourret, E. Modified Floating-Zone Crystal Growth of Mg4Ta2O9 and Its Scintillation Performance. CrystEngComm 2020, 22, 3497–3504. [Google Scholar] [CrossRef]
- Stevels, A.L.N.; Vink, A.T. Fine Structure in the Low Temperature Luminescence of Zn2SiO4:Mn and Mg4Ta2O9:Mn. J. Lumin. 1974, 8, 443–451. [Google Scholar] [CrossRef]
- Carone, D.; Jacobsohn, L.G.; Breton, L.S.; zur Loye, H.-C. Synthesis, Structure, and Scintillation of Rb4Ta2Si8O23. Solid. State. Sci. 2022, 127, 106861. [Google Scholar] [CrossRef]
- Hayashi, T.; Ichiba, K.; Nakauchi, D.; Watanabe, K.; Kato, T.; Kawaguchi, N.; Yanagida, T. Evaluation of Scintillation Properties of Mg4(Ta,Nb)2O9 Single Crystals. J. Lumin. 2023, 255, 119614. [Google Scholar] [CrossRef]
- Petit, L.; Cardinal, T.; Videau, J.J.; Le Flem, G.; Guyot, Y.; Boulon, G.; Couzi, M.; Buffeteau, T. Effect of the Introduction of Na2B4O7 on Erbium Luminescence in Tellurite Glasses. J. Non. Cryst. Solids 2002, 298, 76–88. [Google Scholar] [CrossRef]
- Girard, S.; Laurent, A.; Pinsard, E.; Robin, T.; Cadier, B.; Boutillier, M.; Marcandella, C.; Boukenter, A.; Ouerdane, Y. Radiation-Hard Erbium Optical Fiber and Fiber Amplifier for Both Low- and High-Dose Space Missions. Opt. Lett. 2014, 39, 2541. [Google Scholar] [CrossRef] [PubMed]
- Thomas, J.; Myara, M.; Troussellier, L.; Burov, E.; Pastouret, A.; Boivin, D.; Mélin, G.; Gilard, O.; Sotom, M.; Signoret, P. Radiation-Resistant Erbium-Doped-Nanoparticles Optical Fiber for Space Applications. Opt. Express 2012, 20, 2435. [Google Scholar] [CrossRef] [PubMed]
- Stange, H.; Petermann, K.; Huber, G.; Duczynski, E.W. Continuous Wave 1.6 μm Laser Action in Er Doped Garnets at Room Temperature. Appl. Phys. B Lasers Opt. 1989, 49, 269–273. [Google Scholar] [CrossRef]
- Wang, S.; Pang, R.; Tan, T.; Wu, H.; Wang, Q.; Li, C.; Zhang, S.; Tan, T.; You, H.; Zhang, H. Achieving High Quantum Efficiency Broadband NIR Mg4Ta2O9: Cr3+ Phosphor Through Lithium-Ion Compensation. Adv. Mater. 2023, 35, 2300124. [Google Scholar] [CrossRef]
- Yanagida, T.; Kamada, K.; Fujimoto, Y.; Yagi, H.; Yanagitani, T. Comparative Study of Ceramic and Single Crystal Ce: GAGG Scintillator. Opt. Mater. 2013, 35, 2480–2485. [Google Scholar] [CrossRef]
- Yanagida, T.; Fujimoto, Y.; Ito, T.; Uchiyama, K.; Mori, K. Development of X-Ray-Induced Afterglow Characterization System. Appl. Phys. Express 2014, 7, 062401. [Google Scholar] [CrossRef]
- Akatsuka, M.; Kimura, H.; Onoda, D.; Shiratori, D.; Nakauchi, D.; Kato, T.; Kawaguchi, N.; Yanagida, T. X-Ray-Induced Luminescence Properties of Nd-Doped GdVO4. Sens. Mater. 2021, 33, 2243. [Google Scholar] [CrossRef]
- Fu, Z.; He, Y. Sintering Behavior, Phase Composition and Microwave Dielectric Characteristics OfMg4Nb2O9 Ceramics Doped with ZnO-B2O2-SiO2 Glass. Integr. Ferroelectr. 2021, 221, 161–167. [Google Scholar] [CrossRef]
- Sun, D.C.; Senz, S.; Hesse, D. Topotaxial Formation of Mg4Ta2O9 and MgTa2O6 Thin Films by Vapour-Solid Reactions on MgO (001) Crystals. J. Eur. Ceram. Soc. 2004, 24, 2453–2463. [Google Scholar] [CrossRef]
- Dickinson, S.K.; Hilton, R.M.; Lipson, H.G. Czochralski Synthesis and Properties of Rare-Earth-Doped Bismuth Germanate (Bi4Ge3O12). Mater. Res. Bull. 1972, 7, 181–191. [Google Scholar] [CrossRef]
- Ichiba, K.; Okazaki, K.; Takebuchi, Y.; Kato, T.; Nakauchi, D.; Kawaguchi, N.; Yanagida, T. Visible–Near Infrared Scintillation Properties of Er-Doped Bi4Si3O12 Single Crystals. ECS J. Solid State Sci. Technol. 2023, 12, 046001. [Google Scholar] [CrossRef]
- Amin, J.; Dussardier, B.; Schweizer, T.; Hempstead, M. Spectroscopic Analysis of Er3+ Transitions in Lithium Niobate. J. Lumin. 1996, 69, 17–26. [Google Scholar] [CrossRef]
- Dorenbos, P.; van Loef, E.V.D.; Vink, A.P.; van der Kolk, E.; van Eijk, C.W.E.; Krämer, K.W.; Güdel, H.U.; Higgins, W.M.; Shah, K.S. Level Location and Spectroscopy of Ce3+, Pr3+, Er3+ and Eu3+ in LaBr3. J. Lumin. 2006, 117, 147–155. [Google Scholar] [CrossRef]
- Talewar, R.A.; Mahamuda, S.; Swapna, K.; Venkateswarlu, M.; Rao, A.S. Sensitization of Er3+ NIR Emission Using Yb3+ Ions in Alkaline-Earth Chloro Borate Glasses for Fiber Laser and Optical Fiber Amplifier Applications. Mater. Res. Bull. 2021, 136, 111144. [Google Scholar] [CrossRef]
- Nakauchi, D.; Kato, T.; Kawaguchi, N.; Yanagida, T. Characterization of Eu-Doped Ba2SiO4, a High Light Yield Scintillator. Appl. Phys. Express 2020, 13, 122001. [Google Scholar] [CrossRef]
- Okazaki, K.; Fukushima, H.; Nakauchi, D.; Okada, G.; Onoda, D.; Kato, T.; Kawaguchi, N.; Yanagida, T. Investigation of Er:Bi4Ge3O12 Single Crystals Emitting near-Infrared Luminescence for Scintillation Detectors. J. Alloys Compd. 2022, 903, 163834. [Google Scholar] [CrossRef]
- Fukushima, H.; Akatsuka, M.; Kimura, H.; Onoda, D.; Shiratori, D.; Nakauchi, D.; Kato, T.; Kawaguchi, N.; Yanagida, T. Optical and Scintillation Properties of Nd-doped Strontium Yttrate Single Crystals. Sens. Mater. 2021, 33, 2235. [Google Scholar] [CrossRef]
- Kimura, H.; Akatsuka, M.; Nakauchi, D.; Kato, T.; Kawaguchi, N.; Yanagida, T. Optical and radioluminescence properties of Pr-doped BaTi4O9 crystals synthesized by the floating zone method. Jpn. J. Appl. Phys. 2022, 61, SB1006. [Google Scholar] [CrossRef]







| Sample | Zeff | Density [g/cm3] | lowest Detection Limit [Gy/h] | Type of Photodetector | Reference |
|---|---|---|---|---|---|
| Gd2O2S:Pr | 61.1 | 7.33 | 0.8 | Si photodiode | [23] |
| BSO:Er | 77.3 | 6.82 | 0.006 | InGaAs PIN photodiode | [44] |
| BGO:Er | 75.2 | 7.14 | 0.006 | InGaAs PIN photodiode | [49] |
| SrY2O4:Nd | 36.6 | 5.34 | 0.06 | InGaAs PIN photodiode | [50] |
| BaTi4O9:Pr | 41.5 | 4.47 | 0.3 | InGaAs PIN photodiode | [51] |
| Mg4Ta2O9:Er | 64.2 | 6.20 | 0.06 | InGaAs PIN photodiode | This work |
Disclaimer/Publisher’s Note: The statements, opinions and data contained in all publications are solely those of the individual author(s) and contributor(s) and not of MDPI and/or the editor(s). MDPI and/or the editor(s) disclaim responsibility for any injury to people or property resulting from any ideas, methods, instructions or products referred to in the content. |
© 2023 by the authors. Licensee MDPI, Basel, Switzerland. This article is an open access article distributed under the terms and conditions of the Creative Commons Attribution (CC BY) license (https://creativecommons.org/licenses/by/4.0/).
Share and Cite
Hayashi, T.; Ichiba, K.; Nakauchi, D.; Okazaki, K.; Kato, T.; Kawaguchi, N.; Yanagida, T. Er-Doped Mg4Ta2O9 Single-Crystal Scintillators Emitting Near-Infrared Photons for High-Dose Field Monitoring. Photonics 2023, 10, 654. https://doi.org/10.3390/photonics10060654
Hayashi T, Ichiba K, Nakauchi D, Okazaki K, Kato T, Kawaguchi N, Yanagida T. Er-Doped Mg4Ta2O9 Single-Crystal Scintillators Emitting Near-Infrared Photons for High-Dose Field Monitoring. Photonics. 2023; 10(6):654. https://doi.org/10.3390/photonics10060654
Chicago/Turabian StyleHayashi, Taisei, Kensei Ichiba, Daisuke Nakauchi, Kai Okazaki, Takumi Kato, Noriaki Kawaguchi, and Takayuki Yanagida. 2023. "Er-Doped Mg4Ta2O9 Single-Crystal Scintillators Emitting Near-Infrared Photons for High-Dose Field Monitoring" Photonics 10, no. 6: 654. https://doi.org/10.3390/photonics10060654
APA StyleHayashi, T., Ichiba, K., Nakauchi, D., Okazaki, K., Kato, T., Kawaguchi, N., & Yanagida, T. (2023). Er-Doped Mg4Ta2O9 Single-Crystal Scintillators Emitting Near-Infrared Photons for High-Dose Field Monitoring. Photonics, 10(6), 654. https://doi.org/10.3390/photonics10060654

