Control of Spectral and Polarization Properties of Quasiunipolar Terahertz Pulses in Strongly Nonequilibrium Magnetized Plasma Channels
Abstract
1. Introduction
2. Modeling
3. Results and Discussion
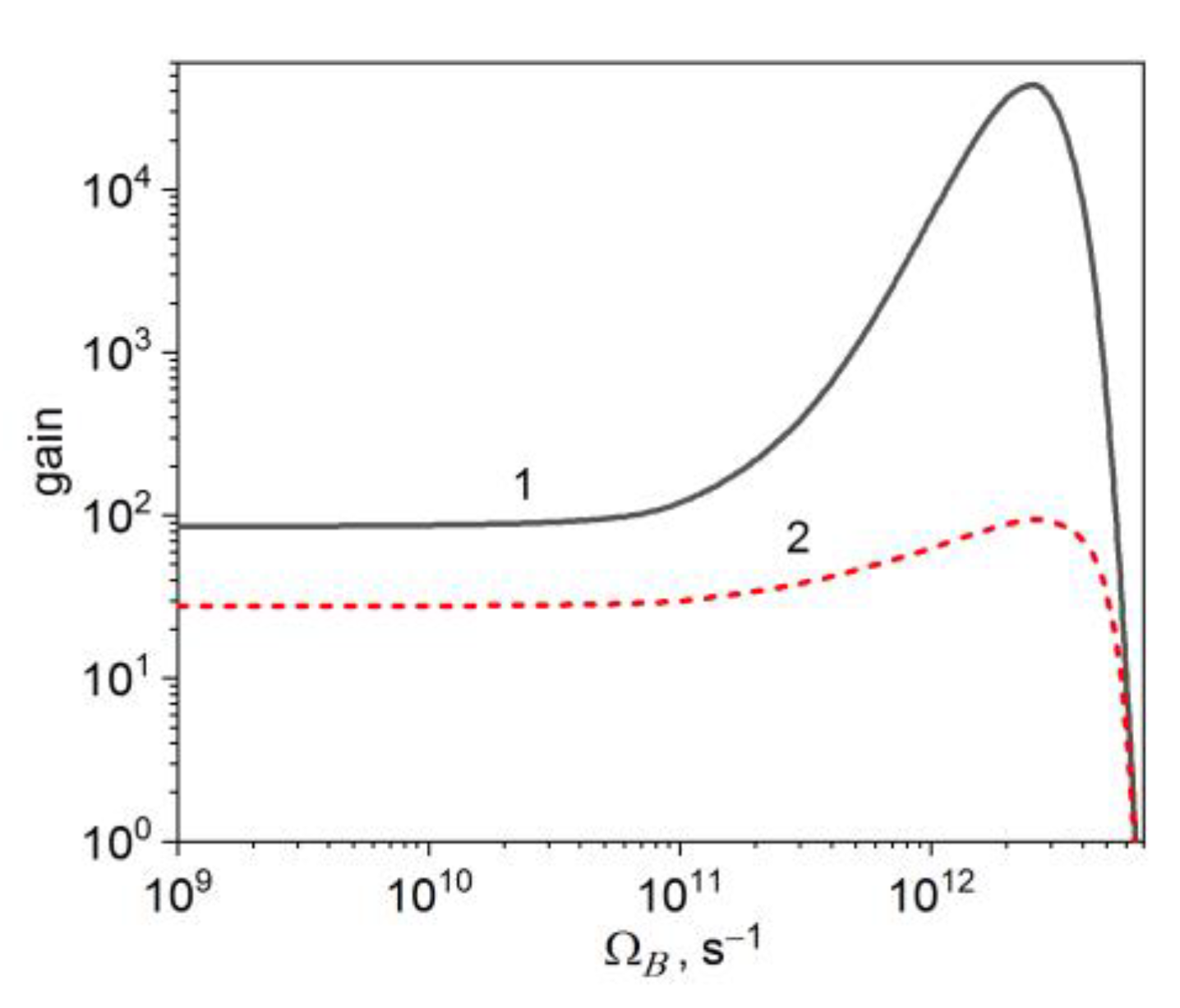
3.1. Control of the Carrier Pulse Frequency State in the Magnetized Nonequilibrium Plasma Channel
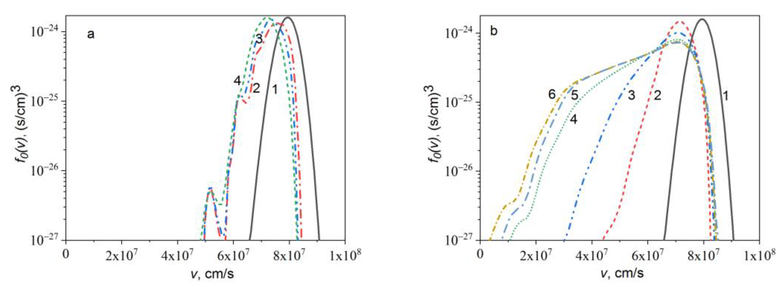
3.2. Unipolar Pulse Generation with Unique Polarization Features
4. Conclusions
Author Contributions
Funding
Institutional Review Board Statement
Informed Consent Statement
Data Availability Statement
Acknowledgments
Conflicts of Interest
References
- Tonouchi, M. Cutting-edge terahertz technology. Nat. Photonics 2007, 1, 105. [Google Scholar] [CrossRef]
- Kampfrath, T.; Tanaka, K.; Nelson, K. Resonant and nonresonant control over matter and light by intense terahertz transients. Nat. Photonics 2013, 7, 680. [Google Scholar] [CrossRef]
- Jepsen, P.; Cooke, D.; Koch, M. Terahertz spectroscopy and imaging—Modern techniques and applications. Laser Photonics Rev. 2011, 5, 124–166. [Google Scholar] [CrossRef]
- Yang, X.; Zhao, X.; Yang, K.; Liu, Y.; Liu, Y.; Fu, W.; Luo, Y. Biomedical Applications of Terahertz Spectroscopy and Imaging. Trends Biotechnol. 2016, 34, 810–824. [Google Scholar] [CrossRef] [PubMed]
- Hoshina, H.; Morisawa, Y.; Sato, H.; Minamide, H.; Noda, I.; Ozaki, Y.; Otani, C. Polarization and temperature dependent spectra of poly(3-hydroxyalkanoate)s measured at terahertz frequencies. Phys. Chem. Chem. Phys. 2011, 13, 9173. [Google Scholar] [CrossRef]
- Katletz, S.; Pfleger, M.; Pühringer, H.; Mikulics, M.; Vieweg, N.; Peters, O.; Scherger, B.; Scheller, M.; Koch, M.; Wiesaue, K. Polarization sensitive terahertz imaging: Detection of birefringence and optical axis. Opt. Express 2012, 20, 23025–23035. [Google Scholar] [CrossRef]
- Rosanov, N. Area of ultimately short light pulses. Opt. Spectrosc. 2009, 107, 721–725. [Google Scholar] [CrossRef]
- Arkhipov, R.; Arkhipov, M.; Pakhomov, A.; Babushkin, I.; Rosanov, N. Half-cycle and unipolar pulses (Topical Review). Laser Phys. Lett. 2022, 19, 043001. [Google Scholar] [CrossRef]
- Chai, X.; Ropagnol, X.; Raeis-Zadeh, S.M.; Reid, M.; Safavi-Naeini, S.; Ozaki, T. Subcycle Terahertz Nonlinear Optics. Phys. Rev. Lett. 2018, 121, 143901. [Google Scholar] [CrossRef]
- Sychugin, S.; Novokovskaya, A.; Bakunov, M. Propagation dynamics of optically generated unipolar electromagnetic pulses. Phys. Rev. A 2022, 105, 053528. [Google Scholar] [CrossRef]
- Arkhipov, R.; Pakhomov, A.; Arkhipov, M.; Babushkin, I.; Demircan, A.; Morgner, U.; Rosanov, N. Unipolar subcycle pulse-driven nonresonant excitation of quantum systems. Opt. Lett. 2019, 44, 1202–1205. [Google Scholar] [CrossRef] [PubMed]
- Pakhomov, A.; Arkhipov, M.; Rosanov, N.; Arkhipov, R. Ultrafast control of vibrational states of polar molecules with subcycle unipolar pulses. Phys. Rev. A 2022, 105, 043103. [Google Scholar] [CrossRef]
- Bogatskaya, A.; Gnezdovskaia, N.; Popov, A. Circularly polarized terahertz pulses generation in plasma channel created by the UV high-intense laser pulse in the presence of static magnetic field. Phys. Rev. E 2020, 102, 043202. [Google Scholar] [CrossRef]
- Bogatskaya, A.; Volkova, E.; Popov, A. Polarization and frequency-controlled amplification in a nonequilibrium plasma in the presence of an external magnetic field. Plasma Sour. Sci. Technol. 2022, 31, 095009. [Google Scholar]
- Bogatskaya, A.; Popov, A. On the possibility of the amplification of subterahertz electromagnetic radiation in a plasma channel created by a high intensity ultrashort laser pulse. JETP Lett. 2013, 97, 388. [Google Scholar] [CrossRef]
- Bogatskaya, A.; Volkova, E.; Popov, A. On the possibility of a short subterahertz pulse amplification in a plasma chan-nel created in air by intense laser radiation. J. Phys. D 2014, 47, 185202. [Google Scholar] [CrossRef]
- Roskos, H.G.; Tomson, M.D.; Kress, M.; Löfer, T. Broadband THz emission from gas plasmas induced by femtosecond optical pulses: From fundamentals to applications. Laser Photonics Rev. 2017, 1, 349–368. [Google Scholar] [CrossRef]
- Reimann, K. Table-top sources of ultrashort THz pulses. Rep. Progr. Phys. 2007, 70, 1597. [Google Scholar] [CrossRef]
- Pakhomov, A.V.; Arkhipov, R.M.; Arkhipov, M.V.; Demircan, A.; Morgner, U.; Rosanov, N.N.; Babushkin, I.V. Unusual terahertz waveforms from a resonant medium controlled by difractive optical elements. Sci. Rep. 2019, 9, 7444. [Google Scholar] [CrossRef]
- Arkhipov, M.V.; Arkhipov, R.M.; Pakhomov, A.V.; Babushkin, I.V.; Demircan, A.; Morgner, U.; Rosanov, N.N. Generation of unipolar half-cycle pulses via unusual reflection of a single-cycle pulse from an optically thin metallic or dielectric layer. Opt. Lett. 2017, 42, 2189–2192. [Google Scholar] [CrossRef]
- Bakunov, M.I.; Maslov, A.V.; Tsarev, M.V. Optically generated teragertz pulses with strong quasistatic precursor. Phys. Rev. A 2017, 95, 063817. [Google Scholar] [CrossRef]
- Tsarev, M.V.; Bakunov, M.I. Titled-pulse-front excitation of strong quasistatic precursos. Opt. Express 2019, 27, 5154. [Google Scholar] [CrossRef]
- Kozlov, V.V.; Rosanov, N.N.; Angelis, C.D.; Wabnitz, S. Generation of unipolar pulses from nonunipolar optical pulses in a nonlinear medium. Phys. Rev. A 2011, 84, 023818. [Google Scholar] [CrossRef]
- Shou, Y.; Hu, R.; Gong, Z.; Yu, J.; Chen J-e Mourou, G.; Yan, X.; Ma, W. Cascaded generation of isolated sub-10 attosecond half-cycle pulses. New J. Phys. 2021, 23, 053003. [Google Scholar] [CrossRef]
- Bogatskaya, A.; Volkova, E.; Popov, A. On the possibility of intense unipolar THz pulses formation in nonhomogeneous nonequilibrium nitrogen plasma channels. Photonics 2023, 10, 113. [Google Scholar] [CrossRef]
- Phelps, A.; Pitchford, L. Anisotropic scattering of electrons by N2 and its effects on electron transport: Tabulations of cross section and results. In JILA Information Center Report; No 26;University of Colorado: Boulder, CO, USA, 1985. [Google Scholar]
- Phelps, A.; Van Brunt, R. Electron-transport, ionization, attachment, and dissociation coefficients in SF6 and its mixtures. J. Appl. Phys. 1988, 64, 4269. [Google Scholar] [CrossRef]
- Ginzburg, V.; Gurevich, A. Nonlinear phenomena in a plasma located in an altering electromagnetic field. Sov. Phys. Usp. 1960, 3, 115. [Google Scholar] [CrossRef]
- Raizer, Y. Laser-Induced Discharge Phenomena; Consultants Bureau: New York, NY, USA, 1977. [Google Scholar]
- Bogatskaya, A.; Volkova, E.; Popov, A. Unipolar terahertz pulse formation in a nonequilibrium plasma channel formed by an ultrashort uv laser pulse. Phys. Rev. E 2021, 104, 025202. [Google Scholar] [CrossRef]
- Zvorykin, V.; Goncharov, S.; Ionin, A.; Mokrousova, D.; Ryabchuk, S.; Seleznev, L.; Sunchugasheva, E.; Ustinovskii, N.; Shutov, A. Experimental capabilities of the GARPUN MTW Ti: Sapphire—KrF laser facility for investigating the interaction of subpicosecond UV pulses with targets. Quantum Electron. 2017, 47, 319. [Google Scholar] [CrossRef]
- Chekalin, S.; Kandidov, V. From self-focusing light beams to femtosecond laser pulse filamentation. Phys. Usp. 2013, 56, 123. [Google Scholar] [CrossRef]
- Kelley, P. Self-focusing of optical beams. Phys. Rev. Lett. 1965, 15, 1005. [Google Scholar] [CrossRef]
- Shipilo, D.; Panov, N.; Suchungasheva, E.; Mokrousova, D.; Shutov, A.; Zvorykin, V.; Ustinovskii, N.; Seleznev, L.; Savel’ev, A.; Kosareva, O.; et al. Fifteen meter long uninterrupted filaments from sub-terawatt ultraviolet pulse in air. Opt. Express 2017, 25, 25386. [Google Scholar] [CrossRef] [PubMed]
- Bogatskaya, A.; Volkova, E.; Popov, A. New method of unipolar THz pulse generation in photoionised xenon plasma. Plasma Sources Sci. Technol. 2021, 30, 085001. [Google Scholar] [CrossRef]
- Bogatskaya, A.; Volkova, E. 3D modeling of short THz pulse propagation and amplification in the nonequilibrium plasma channel. JOSA B 2022, 39, 299. [Google Scholar] [CrossRef]
- Bessonov, E. On a class of electromagnetic waves. Sov. Phys. JETP 1981, 53, 433. [Google Scholar]
- Arkhipov, R.; Pakhomov, A.; Arkhipov, M.; Demircan, A.; Morgner, U.; Rosanov, N.; Babushkin, I. Selective ultrafast control of multi-level quantum systems by subcycle and unipolar pulses. Opt. Express 2020, 28, 17020–17034. [Google Scholar] [CrossRef]
- Rosanov, N. On acceleration of a relativistic particle by a radiation pulse. Opt. Spectrosc. 2019, 126, 140–143. [Google Scholar] [CrossRef]
- Rosanov, N.; Tumakov, D.; Arkhipov, M.; Arkhipov, R. Criterion for the yield of micro-object ionization driven by few- and subcycle radiation pulses with nonzero electric area. Phys. Rev. A 2021, 104, 063101. [Google Scholar] [CrossRef]
- Arkhipov, M.; Arkhipov, R.; Rosanov, N. Obtaining Unipolar Pulses at Far Field Zone of the Source. Opt. Spectrosc. 2021, 129, 1193–1195. [Google Scholar] [CrossRef]
- Arkhipov, R.M.; Arkhipov, M.V.; Pakhomov, A.V.; Obraztsov, P.A.; Rosanov, N.N. Unipolar and Subcycle Extremely Short Pulses: Recent Results and Prospects (Brief Review). JETP Lett. 2023, 117, 8–23. [Google Scholar] [CrossRef]









Disclaimer/Publisher’s Note: The statements, opinions and data contained in all publications are solely those of the individual author(s) and contributor(s) and not of MDPI and/or the editor(s). MDPI and/or the editor(s) disclaim responsibility for any injury to people or property resulting from any ideas, methods, instructions or products referred to in the content. |
© 2023 by the authors. Licensee MDPI, Basel, Switzerland. This article is an open access article distributed under the terms and conditions of the Creative Commons Attribution (CC BY) license (https://creativecommons.org/licenses/by/4.0/).
Share and Cite
Bogatskaya, A.V.; Volkova, E.A.; Popov, A.M. Control of Spectral and Polarization Properties of Quasiunipolar Terahertz Pulses in Strongly Nonequilibrium Magnetized Plasma Channels. Photonics 2023, 10, 585. https://doi.org/10.3390/photonics10050585
Bogatskaya AV, Volkova EA, Popov AM. Control of Spectral and Polarization Properties of Quasiunipolar Terahertz Pulses in Strongly Nonequilibrium Magnetized Plasma Channels. Photonics. 2023; 10(5):585. https://doi.org/10.3390/photonics10050585
Chicago/Turabian StyleBogatskaya, Anna V., Ekaterina A. Volkova, and Alexander M. Popov. 2023. "Control of Spectral and Polarization Properties of Quasiunipolar Terahertz Pulses in Strongly Nonequilibrium Magnetized Plasma Channels" Photonics 10, no. 5: 585. https://doi.org/10.3390/photonics10050585
APA StyleBogatskaya, A. V., Volkova, E. A., & Popov, A. M. (2023). Control of Spectral and Polarization Properties of Quasiunipolar Terahertz Pulses in Strongly Nonequilibrium Magnetized Plasma Channels. Photonics, 10(5), 585. https://doi.org/10.3390/photonics10050585

