Nonzero-Order Resonances in Single-Beam Spin-Exchange Relaxation-Free Magnetometers
Abstract
1. Introduction
2. Principles
3. Experimental Setup and Procedure
4. Results and Discussions
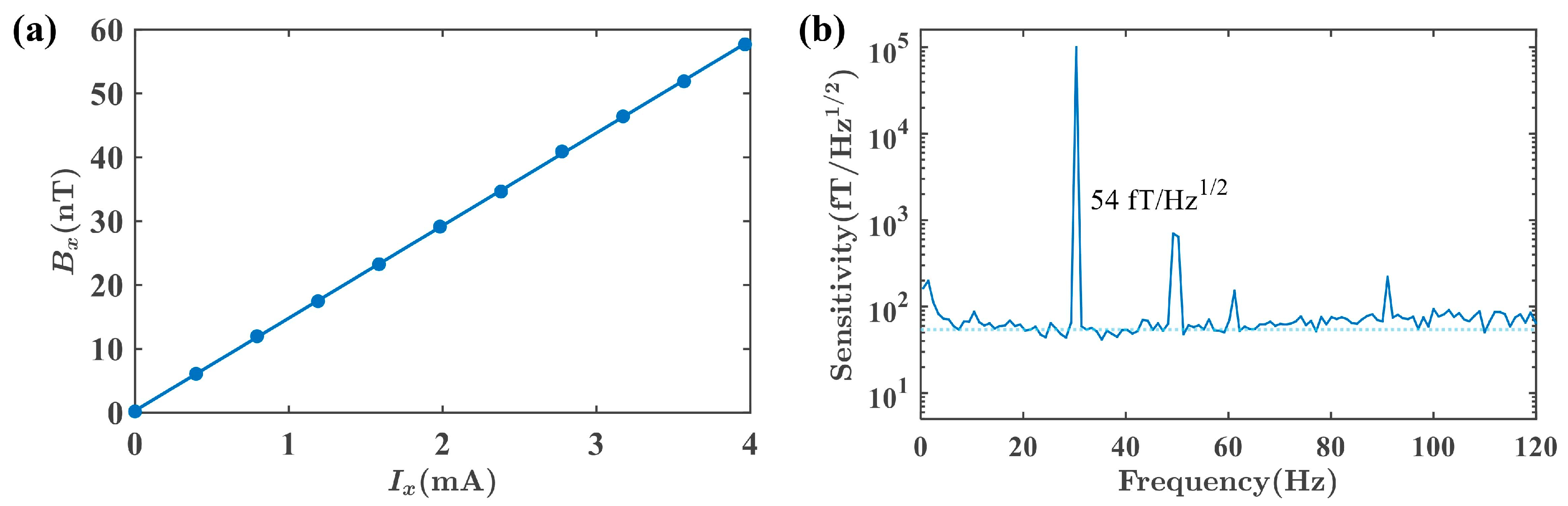
4.1. Nonzero Finite Magnetic Field Measurement
4.2. Spin Polarization Measurement
4.3. In Situ Coil Constant Calibration
5. Conclusions
Author Contributions
Funding
Institutional Review Board Statement
Informed Consent Statement
Data Availability Statement
Conflicts of Interest
References
- Kominis, I.K.; Kornack, T.W.; Allred, J.C.; Romalis, M.V. A subfemtotesla multichannel atomic magnetometer. Nature 2003, 422, 596–599. [Google Scholar] [CrossRef]
- Wakai, R.T. The atomic magnetometer: A new era in biomagnetism. AIP Conf. Proc. 2014, 1626, 46–54. [Google Scholar] [CrossRef]
- Boto, E.; Holmes, N.; Leggett, J.; Roberts, G.; Shah, V.; Meyer, S.S.; Muñoz, L.D.; Mullinger, K.J.; Tierney, T.M.; Bestmann, S.; et al. Moving magnetoencephalography towards real-world applications with a wearable system. Nature 2018, 555, 657–661. [Google Scholar] [CrossRef] [PubMed]
- Abel, C.; Afach, S.; Ayres, N.J.; Baker, C.A.; Ban, G.; Bison, G.; Bodek, K.; Bondar, V.; Burghoff, M.; Chanel, E.; et al. Measurement of the Permanent Electric Dipole Moment of the Neutron. Phys. Rev. Lett. 2020, 124, 081803. [Google Scholar] [CrossRef]
- Kim, Y.J.; Chu, P.-H.; Savukov, I.; Newman, S. Experimental limit on an exotic parity-odd spin- and velocity-dependent interaction using an optically polarized vapor. Nat. Commun. 2019, 10, 2245. [Google Scholar] [CrossRef] [PubMed]
- Dang, H.B.; Maloof, A.C.; Romalis, M.V. Ultrahigh sensitivity magnetic field and magnetization measurements with an atomic magnetometer. Appl. Phys. Lett. 2010, 97, 151110. [Google Scholar] [CrossRef]
- Higbie, J.M.; Rochester, S.M.; Patton, B.; Holzlöhner, R.; Calia, D.B.; Budker, D. Magnetometry with Mesospheric Sodium. Proc. Nat. Acad. Sci. USA 2011, 108, 3522–3525. [Google Scholar] [CrossRef]
- Iivanainen, J.; Zetter, R.; Parkkonen, L. Potential of on-scalp MEG: Robust detection of human visual gamma-band responses. Hum. Brain Mapp. 2020, 41, 150–161. [Google Scholar] [CrossRef] [PubMed]
- Boto, E.; Shah, V.; Hill, R.M.; Rhodes, N.; Osborne, J.; Doyle, C.; Holmes, N.; Rea, M.; Leggett, J.; Bowtell, R.; et al. Triaxial detection of the neuromagnetic field using optically-pumped magnetometry: Feasibility and application in children. NeuroImage 2022, 252, 119027. [Google Scholar] [CrossRef]
- Li, Z.; Wakai, R.T.; Walker, T.G. Parametric modulation of an atomic magnetometer. Appl. Phys. Lett. 2006, 89, 134105. [Google Scholar] [CrossRef]
- Hu, Y.; Hu, Z.; Liu, X.; Li, Y.; Zhang, J.; Yao, H.; Ding, M. Reduction of far off-resonance laser frequency drifts based on the second harmonic of electro-optic modulator detection in the optically pumped magnetometer. Appl. Opt. 2017, 56, 5927–5932. [Google Scholar] [CrossRef]
- Osborne, J.; Orton, J.; Alem, O.; Shah, V. Fully integrated, standalone zero field optically pumped magnetometer for biomagnetism. In Proceedings of the Proceedings SPIE 10548, Steep Dispersion Engineering and Opto-Atomic Precision Metrology XI; Shahriar, S.M., Scheuer, J., Eds.; SPIE: San Francisco, CA, USA, 2018; p. 10548. [Google Scholar] [CrossRef]
- Sheng, D.; Perry, A.R.; Krzyzewski, S.P.; Geller, S.; Kitching, J.; Knappe, S. A microfabricated optically-pumped magnetic gradiometer. Appl. Phys. Lett. 2017, 110, 031106. [Google Scholar] [CrossRef] [PubMed]
- Wang, J.; Fan, W.; Yin, K.; Yan, Y.; Zhou, B.; Song, X. Combined effect of pump-light intensity and modulation field on the performance of optically pumped magnetometers under zero-field parametric modulation. Phys. Rev. A 2020, 101, 053427. [Google Scholar] [CrossRef]
- Wang, K.; Zhang, K.; Zhou, B.; Lu, F.; Zhang, S.; Yan, Y.; Wang, W.; Lu, J. Triaxial closed-loop measurement based on a single-beam zero-field optically pumped magnetometer. Front. Phys. 2022, 10, 1059487. [Google Scholar] [CrossRef]
- Cohen-Tannoudji, C.; Dupont-Roc, J.; Haroche, S.; Laloë, F. Diverses résonances de croisement de niveaux sur des atomes pompés optiquement en champ nul. I. Théorie. Rev. Phys. Appl. (Paris) 1970, 5, 95–101. [Google Scholar] [CrossRef]
- Slocum, R.E.; Marton, B.I. Measurement of Weak Magnetic Fields Using Zero-Field Parametric Resonance in Optically Pumped He4. IEEE Trans. Magn. 1973, 9, 221–226. [Google Scholar] [CrossRef]
- Xiao, W.; Wang, H.; Zhang, X.; Wu, Y.; Wu, T.; Chen, J.; Peng, X.; Guo, H. In Situ Calibration of Magnetic Field Coils Using Parametric Resonance in Optically-pumped Magnetometers. In Proceedings of the 2021 Joint Conference of the European Frequency and Time Forum and IEEE International Frequency Control Symposium (EFTF/IFCS), Gainesville, FL, USA, 7–17 July 2021; pp. 1–3. [Google Scholar] [CrossRef]
- Eklund, E.J. Microgyroscope Based on Spin-Polarized Nuclei. PhD Thesis, University of California, Irvine, CA, USA, 2008. [Google Scholar]
- Chen, C.; Jiang, Q.; Wang, Z.; Zhang, Y.; Luo, H.; Yang, K. A non-interference method for measurement of transverse relaxation time of the alkali metal magnetometer in nuclear magnetic resonance oscillator. AIP Adv. 2020, 10, 065303. [Google Scholar] [CrossRef]
- Jiang, Q.; Luo, H.; Zhan, X.; Zhang, Y.; Yang, K.; Wang, Z. Avoiding the impact of the heater-induced longitudinal field on atomic magnetometers. J. Appl. Phys. 2018, 124, 244501. [Google Scholar] [CrossRef]
- Yang, H.; Wang, Q.; Zhao, B.; Li, L.; Zhai, Y.; Han, B.; Tang, F. Magnetic field sensing based on multi-order resonances of atomic spins. Opt. Express 2022, 30, 6618. [Google Scholar] [CrossRef]
- Ledbetter, M.P.; Savukov, I.M.; Acosta, V.M.; Budker, D.; Romalis, M.V. Spin-exchange-relaxation-free magnetometry with Cs vapor. Phys. Rev. A 2008, 77, 033408. [Google Scholar] [CrossRef]
- Appelt, S.; Baranga, A.B.-A.; Erickson, C.J.; Romalis, M.V.; Young, A.R.; Happer, W. Theory of spin-exchange optical pumping of 3He and 129Xe. Phys. Rev. A 1998, 58, 1412–1439. [Google Scholar] [CrossRef]
- Dong, H.F.; Fang, J.C.; Zhou, B.Q.; Tang, X.B.; Qin, J. Three-dimensional atomic magnetometry. Eur. Phys. J. Appl. Phys. 2012, 57, 21004. [Google Scholar] [CrossRef]
- Seltzer, S.J. Developments in Alkali-Metal Atomic Magnetometry. PhD Thesis, Princeton University, Princeton, NJ, USA, 2008. [Google Scholar]
- Chen, Y.; Zhao, L.; Zhang, N.; Yu, M.; Ma, Y.; Han, X.; Zhao, M.; Lin, Q.; Yang, P.; Jiang, Z. Single beam Cs-Ne SERF atomic magnetometer with the laser power differential method. Opt. Express 2022, 30, 16541. [Google Scholar] [CrossRef] [PubMed]
- Wu, W.; Zhou, B.; Liu, G.; Chen, L.; Wang, J.; Fang, J. Novel nested saddle coils used in miniature atomic sensors. AIP Adv. 2018, 8, 075126. [Google Scholar] [CrossRef]
- Wang, J.; Zhou, B.; Wu, W.; Chen, L.; Fang, J. Uniform Field Coil Design Based on the Target-Field Method in Miniature Atomic Sensors. IEEE Sens. J. 2019, 19, 2895–2901. [Google Scholar] [CrossRef]
- Xiao, W.; Wu, T.; Peng, X.; Guo, H. Atomic spin-exchange collisions in magnetic fields. Phys. Rev. A 2021, 103, 043116. [Google Scholar] [CrossRef]
- Shah, V.; Romalis, M.V. Spin-Exchange-Relaxation-Free Magnetometry Using Elliptically-Polarized Light. Phys. Rev. A 2009, 80, 013416. [Google Scholar] [CrossRef]
- Yan, Y.; Lu, J.; Zhang, S.; Lu, F.; Yin, K.; Wang, K.; Zhou, B.; Liu, G. Three-axis closed-loop optically pumped magnetometer operated in the SERF regime. Opt. Express 2022, 30, 18300. [Google Scholar] [CrossRef] [PubMed]







Disclaimer/Publisher’s Note: The statements, opinions and data contained in all publications are solely those of the individual author(s) and contributor(s) and not of MDPI and/or the editor(s). MDPI and/or the editor(s) disclaim responsibility for any injury to people or property resulting from any ideas, methods, instructions or products referred to in the content. |
© 2023 by the authors. Licensee MDPI, Basel, Switzerland. This article is an open access article distributed under the terms and conditions of the Creative Commons Attribution (CC BY) license (https://creativecommons.org/licenses/by/4.0/).
Share and Cite
Wang, K.; Zhang, K.; Xu, N.; Yan, Y.; Li, X.; Zhou, B. Nonzero-Order Resonances in Single-Beam Spin-Exchange Relaxation-Free Magnetometers. Photonics 2023, 10, 458. https://doi.org/10.3390/photonics10040458
Wang K, Zhang K, Xu N, Yan Y, Li X, Zhou B. Nonzero-Order Resonances in Single-Beam Spin-Exchange Relaxation-Free Magnetometers. Photonics. 2023; 10(4):458. https://doi.org/10.3390/photonics10040458
Chicago/Turabian StyleWang, Kun, Kaixuan Zhang, Nuozhou Xu, Yifan Yan, Xiaoyu Li, and Binquan Zhou. 2023. "Nonzero-Order Resonances in Single-Beam Spin-Exchange Relaxation-Free Magnetometers" Photonics 10, no. 4: 458. https://doi.org/10.3390/photonics10040458
APA StyleWang, K., Zhang, K., Xu, N., Yan, Y., Li, X., & Zhou, B. (2023). Nonzero-Order Resonances in Single-Beam Spin-Exchange Relaxation-Free Magnetometers. Photonics, 10(4), 458. https://doi.org/10.3390/photonics10040458

