946/1030 nm Dual-Wavelength Laguerre-Gaussian (LG01) Mode Vortex Laser Based on Intracavity Cascade Pumped Resonator
Abstract
1. Introduction
2. Theoretical Analysis
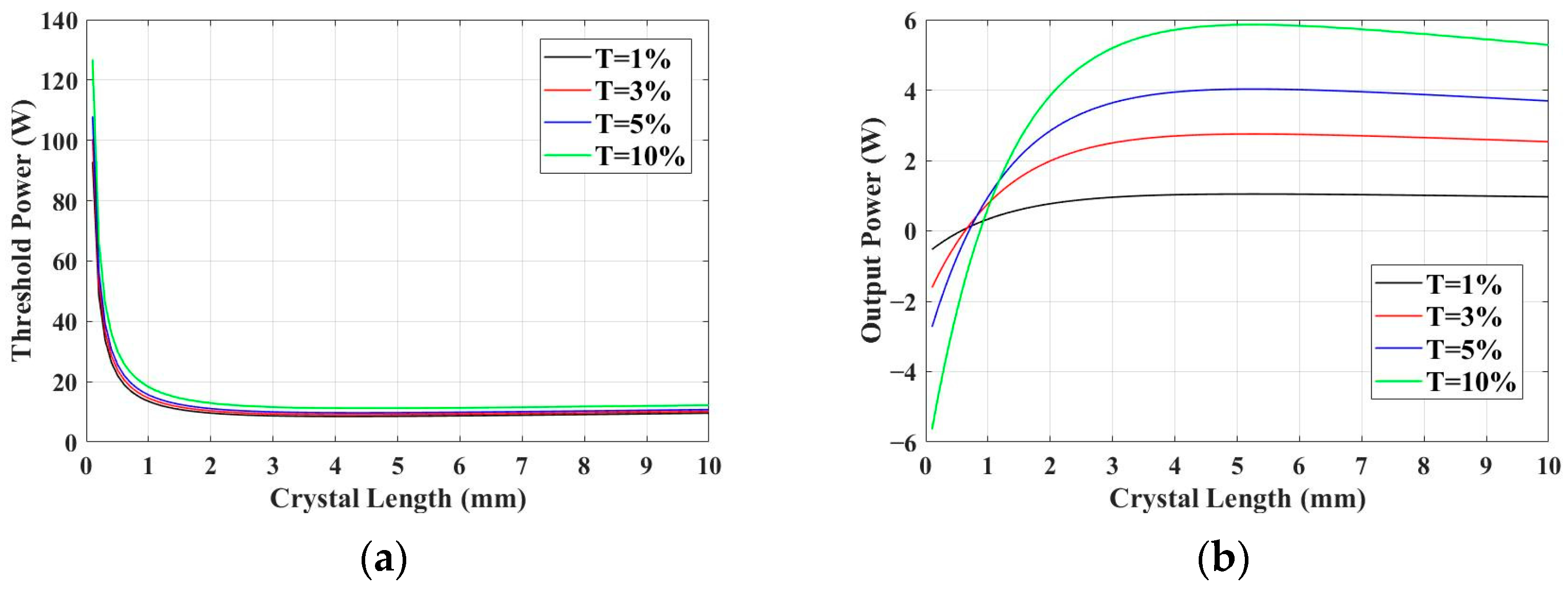
3. Simulation Analysis
4. Experiment Setup
5. Results and Discussion
6. Conclusions
Author Contributions
Funding
Institutional Review Board Statement
Informed Consent Statement
Data Availability Statement
Conflicts of Interest
References
- He, W.; Li, D.; Zhu, L.Q.; Dong, M.L.; Luo, F. Tunable multiwavelength erbium-doped fiber laser employing PM-FBG and Mach–Zehnder interferometer with optical fiber delay line. IEEE Photon. J. 2017, 9, 2695671. [Google Scholar] [CrossRef]
- He, W.; Yuan, H.W.; Lou, X.P.; Zhu, L.Q.; Dong, M.L. Multi-wavelength switchable erbium-doped fiber laser based on a hybrid filter incorporating a bi-tapered mach-zehnder interferometer and sagnac loop. Phys. Scr. 2019, 94, 125502. [Google Scholar] [CrossRef]
- Chen, J.J.; Wei, W.Q.; Qin, J.L.; Yang, B.; Huang, J.Z.; Wang, Z.H.; Wang, T.; Yu, C.Y.; Zhang, J.J. Multi-wavelength injection locked semiconductor comb laser. Photonics Res. 2022, 10, 1840–1847. [Google Scholar] [CrossRef]
- Liu, L.; Dai, C.; Wang, X.-Z. A continuous 1052 nm and 1061 nm dual-wavelength Nd:YAG laser. Optoelectron. Lett. 2020, 16, 181–184. [Google Scholar] [CrossRef]
- Jaffres, L.; Labruyère, A.; Couderc, V.; Carreaud, J.; Maître, A.; Boulesteix, R.; Brenier, A.; Boulon, G.; Guyot, Y.; Rabinovitch, Y.; et al. Gain structuration in dual-wavelength Nd: YSAG ceramic lasers. Opt. Express 2012, 20, 25596–25602. [Google Scholar] [CrossRef] [PubMed]
- Akbari, R.; Zhao, H.; Major, A. High-power continuous-wave dual-wavelength operation of a diode-pumped Yb: KGW laser. Opt. Lett. 2016, 41, 1601–1604. [Google Scholar] [CrossRef]
- Wang, B.B.; Gao, C.C.; Dou, R.Q.; Nie, H.K.; Sun, G.H.; Liu, W.P.; Yu, H.J.; Wang, G.J.; Zhang, Q.L.; Lin, X.C.; et al. Dual-wavelength mid-infrared CW and Q-switched laser in diode end-pumped Tm,Ho:GdYTaO4 crystal. Laser Phys. Lett. 2018, 15, 025801. [Google Scholar] [CrossRef]
- Shang, L.H.; Wen, Y.; Li, T.Y.; Guo, Y.Y.; Wang, Y.H.; Wu, C.T.; Wang, C.; Jin, G.Y. Pulse peaks synchronize dual-wavelength laser based on Q-switch delay trigger. Infrared Phys. Technol. 2021, 116, 103751. [Google Scholar] [CrossRef]
- Lin, H.F.; Zhu, W.Z.; Xiong, F.B.; Ruan, J.J. Simultaneous dual-wavelength Q-switched Nd: YAG laser at 1052 and 1073 nm. Appl. Opt. 2017, 56, 948–951. [Google Scholar] [CrossRef]
- Scheller, M.; Baker, C.W.; Koch, S.W.; Moloney, J.V. Dual-Wavelength Passively Mode-Locked Semiconductor Disk Laser. IEEE Photonics Technol. Lett. 2016, 28, 1325–1327. [Google Scholar] [CrossRef]
- Waritanant, T.; Major, A. Dual-wavelength operation of a diode-pumped Nd:YVO4 laser at the 1064.1 & 1073.1 nm and 1064.1 & 1085.3 nm wavelength pairs. Appl. Phys. B 2018, 124, 87. [Google Scholar]
- Qi, Y.Y.; Yu, H.J.; Zhang, J.Y.; Zhang, L.; He, C.J.; Lin, X.C. A compact dual-wavelength Nd:LuVO4 laser with adjustable power-ratio between 1064 nm and 1342 nm lines by controlling polarization dependent loss. Opt. Commun. 2017, 382, 302–306. [Google Scholar] [CrossRef]
- Chen, H.B.; Huang, Y.S.; Li, B.X.; Liao, W.B.; Zhang, G.; Lin, Z.B. Efficient orthogonally polarized dual-wavelength Nd:LaMgB5O10 laser. Opt. Lett. 2015, 40, 4659–4662. [Google Scholar] [CrossRef]
- Cheng, H.P.; Liu, Y.C.; Huang, T.L.; Liang, H.C.; Chen, Y.F. Orthogonally polarized single-longitudinal-mode operation in a dual-wavelength monolithic Nd:YAG laser at 1319 nm and 1338 nm. Photonics Res. 2018, 6, 815–820. [Google Scholar] [CrossRef]
- White, A.; Elder, I.; Hall, G. Single longitudinal mode and dual wavelength CW VBG lasers at 1342 nm and 1064 nm. In Technologies for Optical Countermeasures IX; SPIE: Bellingham, WA, USA, 2012; Volume 8543, pp. 68–75. [Google Scholar]
- Men, S.J.; Liu, Z.J.; Cong, Z.H.; Li, Y.F.; Zhang, X.Y. Electro-optically Q-switched dual-wavelength Nd:YLF laser emitting at 1047 nm and 1053 nm. Opt. Laser Technol. 2015, 68, 48–51. [Google Scholar] [CrossRef]
- Liu, Y.; Dong, Y.; Yu, Y.J.; Wang, C.; Zhang, X.H. Output characteristics of no gain competition 912 nm and 1064 nm dual-wavelength lasers. Opt. Laser Technol. 2019, 115, 125–128. [Google Scholar] [CrossRef]
- Hu, W.W.; Li, Y.L.; Hu, C.W.; Gu, X.K.; Liu, H.X.; Zhang, Y.P.; Zhang, Y.M. Intra-cavity cascaded pumped 912 nm/1030 nm dual-wavelength laser output. Opt. Commun. 2019, 452, 440–444. [Google Scholar] [CrossRef]
- Čižmár, T.; Brzobohatý, O.; Dholakia, K.; Zemánek, P. The holographic optical micro-manipulation system based on counter-propagating beams. Laser Phys. Lett. 2011, 8, 50–56. [Google Scholar] [CrossRef]
- Padgett, M.; Bowman, R. Tweezers with a twist. Nat. Photonics 2011, 5, 343–348. [Google Scholar] [CrossRef]
- Vicidomini, G.; Bianchini, P.; Diaspro, A. STED super-resolved microscopy. Nat. Methods 2018, 15, 173–182. [Google Scholar] [CrossRef]
- Perez-Garcia, B.; Francis, J.; McLaren, M.; Hernandez-Aranda, R.I.; Forbes, A.; Konrad, T. Quantum computation with classical light: The Deutsch Algorithm. Phys. Lett. A 2015, 379, 1675–1680. [Google Scholar] [CrossRef]
- Willner, A.E.; Huang, H.; Yan, Y.; Ren, Y.; Ahmed, N.; Xie, G.; Bao, C.; Li, L.; Cao, Y.; Zhao, Z.; et al. Optical communications using orbital angular momentum beams. Adv. Opt. Photonics 2015, 7, 66–106. [Google Scholar] [CrossRef]
- Wang, B.; Tanksalvala, M.; Zhang, Z.; Esashi, Y.; Jenkins, N.W.; Murnane, M.M.; Kapteyn, H.C.; Liao, C.T. Coherent Fourier scatterometry using orbital angular momentum beams for defect detection. Opt. Express 2021, 29, 3342–3358. [Google Scholar] [CrossRef]
- McCarter, M.R.; Saleheen, A.I.; Singh, A.; Tumbleson, R.; Woods, J.S.; Tremsin, A.S.; Scholl, A.; De Lon, L.E.; Hastings, J.T.; Morley, S.A.; et al. Antiferromagnetic real-space configuration probed by dichroism in scattered x-ray beams with orbital angular momentum. Phys. Rev. B 2023, 107, L060407. [Google Scholar] [CrossRef]
- Li, Z.; Liu, T.; Ren, Y.; Qiu, S.; Wang, C.; Wang, H. Direction-sensitive detection of a spinning object using dual-frequency vortex light. Opt. Express 2021, 29, 7453–7463. [Google Scholar] [CrossRef]
- Wang, B.; Brooks, N.J.; Johnsen, P.C.; Jenkins, N.W.; Esashi, Y.; Binnie, I.; Tanksalvala, M.; Kapteyn, H.C.; Murnane, M.M. High-fidelity ptychographic imaging of highly periodic structures enabled by vortex high harmonic beams. arXiv 2023, arXiv:2301.05563. [Google Scholar]
- Gold, M.H. Dual wavelength treatment protocol with a picosecond laser for the reduction of facial wrinkles. J. Cosmet. Laser Ther. 2018, 21, 147–151. [Google Scholar] [CrossRef]
- Mark Danson, F.; Sasse, F.; Schofield, L.A. Spectral and spatial information from a novel dual-wavelength full-waveform terrestrial laser scanner for forest ecology. Interface Focus 2018, 8, 20170049. [Google Scholar] [CrossRef]
- Liu, X.Y.; Li, X.W.; Zhao, S.Z.; Yang, K.J.; Guo, L.; Li, T.; Qiao, W.C.; Li, M.; Zhang, B.T.; He, J.L.; et al. Dual-wavelength synchronously mode-locked Tm-doped bulk laser with terahertz frequency beating. Chin. Opt. Lett. 2019, 17, 091401. [Google Scholar] [CrossRef]
- Kerdoncuff, H.; Christensen, J.B.; Brasil, T.B.; Novikov, V.A.; Polzik, E.S.; Hald, J.; Lassen, M. Cavity-enhanced sum-frequency generation of blue light with near-unity conversion efficiency. Opt. Express 2020, 28, 3975–3984. [Google Scholar] [CrossRef]
- Hall, D.G.; Smith, R.J.; Rice, R.R. Pump-size effects in Nd: YAG lasers. Appl. Opt. 1980, 19, 3041–3043. [Google Scholar] [CrossRef] [PubMed]
- Hall, D.G. Optimum mode size criterion for low-gain lasers. Appl. Opt. 1981, 20, 1579–1583. [Google Scholar] [CrossRef] [PubMed]
- Laabs, H.; Ozygus, B. Excitation of Hermite Gaussian modes in end-pumped solid-state lasers via off-axis pumping. Opt. Laser Technol. 1996, 28, 213–214. [Google Scholar] [CrossRef]
- Chu, S.C.; Chen, Y.T.; Tsai, K.F.; Otsuka, K. Generation of high-order Hermite-Gaussian modes in end-pumped solid-state lasers for square vortex array laser beam generation. Opt. Express 2012, 20, 7128–7141. [Google Scholar] [CrossRef] [PubMed]
- Koshel, R.J. Novel methods of intracavity beam shaping. In Laser Beam Shaping II; SPIE: Bellingham, WA, USA, 2001; Volume 4443, pp. 47–57. [Google Scholar]
- Zhao, Y.G.; Liu, Q.Y.; Zhou, W.; Shen, D.Y. ~1 mJ pulsed vortex laser at 1645 nm with well-defined helicity. Opt. Express 2016, 24, 15596–15602. [Google Scholar] [CrossRef] [PubMed]
- Liu, Q.Y.; Zhao, Y.G.; Ding, M.M.; Yao, W.C.; Fan, X.L.; Shen, D.Y. Wavelength-and OAM-tunable vortex laser with a reflective volume Bragg grating. Opt. Express 2017, 25, 23312–23319. [Google Scholar] [CrossRef]
- Yang, Y.S.; Li, Y.L.; Wang, C.; Yang, C. Research on 946 nm LG01 mode laser considering thermal effect. Laser Phys. 2022, 32, 095801. [Google Scholar] [CrossRef]
- Kim, J.W.; Clarkson, W.A. Selective generation of Laguerre–Gaussian (LG0n) mode output in a diode-laser pumped Nd:YAG laser. Opt. Commun. 2013, 296, 109–112. [Google Scholar] [CrossRef]
- Hanson, F. Efficient operation of a room-temperature Nd:YAG 946-nm laser pumped with multiple diode arrays. Opt. Lett. 1995, 20, 148–150. [Google Scholar] [CrossRef]
- Clarkson, W.; Koch, R.; Hanna, D. Room-temperature diode-bar-pumped Nd:YAG laser at 946 nm. Opt. Lett. 1996, 21, 737–739. [Google Scholar] [CrossRef]
- Lindsay, I.D.; Ebrahimzadeh, M. Efficient continuous-wave and Q-switched operation of a 946-nm Nd:YAG laser pumped by an injection-locked broad-area diode laser. Appl. Opt. 1998, 37, 3961–3970. [Google Scholar] [CrossRef]
- Fan, T.; Byer, R. Modeling and CW operation of a quasi-three-level 946 nm Nd:YAG laser. IEEE J. Quantum Electron. 1987, 23, 605–612. [Google Scholar]
- Wang, X.D.; Zhao, Z.W.; Zeng, X.H.; Mao, H.M.; Liang, X.Y. Study on Spectra and Laser Properties of 0.5at% Yb:YAG Crystal. J. Synth. Cryst. 2014, 43, 758–764. [Google Scholar]
- Saito, T.; Takeo, Y.; Mimura, H. Precise characterization of focused vortex beams. Jpn. J. Appl. Phys. 2017, 56, 092501. [Google Scholar] [CrossRef]
- Esashi, Y.; Liao, C.-T.; Wang, B.; Brooks, N.; Dorney, K.M.; Hernández-García, C.; Kapteyn, H.; Adams, D.; Murnane, M. Ptychographic amplitude and phase reconstruction of bichromatic vortex beams. Opt. Express 2018, 26, 34007–34015. [Google Scholar] [CrossRef]
- Liu, Q.Y.; Zhao, Y.G.; Zhou, W.; Shen, D.Y. Vortex operation in Er:LuYAG crystal laser at 1.6 μm. Opt. Mater. 2017, 71, 31–34. [Google Scholar] [CrossRef]
- He, H.S.; Chen, Z.; Dong, J. Direct generation of vector vortex beams with switchable radial and azimuthal polarizations in a monolithic Nd:YAG microchip laser. Appl. Phys. Express 2017, 10, 052701. [Google Scholar] [CrossRef]
- Qiao, Z.; Xie, G.Q.; Wu, Y.H.; Yuan, P.; Ma, J.G.; Qian, L.J.; Fan, D.Y. Generating High-Charge Optical Vortices Directly from Laser Up to 288th Order. Laser Photonics Rev. 2018, 12, 1800019. [Google Scholar] [CrossRef]












| Parameter | Nd:YAG | Yb:YAG |
|---|---|---|
| [nm] | 808 | 946 |
| 0.05 | 0.05 | |
| [cm2] | 4 × 10−20 | 1.8 × 10−20 |
| [μs] | 230 | 950 |
| [cm−1] | 8 (808 nm) | 0.56 (946 nm) |
| 0.0074 | 0.046 | |
| 0.6 | 0.7 | |
| [μm] | 200 | 180 |
| and [μm] | 200 and 100 | - |
Disclaimer/Publisher’s Note: The statements, opinions and data contained in all publications are solely those of the individual author(s) and contributor(s) and not of MDPI and/or the editor(s). MDPI and/or the editor(s) disclaim responsibility for any injury to people or property resulting from any ideas, methods, instructions or products referred to in the content. |
© 2023 by the authors. Licensee MDPI, Basel, Switzerland. This article is an open access article distributed under the terms and conditions of the Creative Commons Attribution (CC BY) license (https://creativecommons.org/licenses/by/4.0/).
Share and Cite
Yang, Y.; Li, Y.; Wang, C.; Yang, C. 946/1030 nm Dual-Wavelength Laguerre-Gaussian (LG01) Mode Vortex Laser Based on Intracavity Cascade Pumped Resonator. Photonics 2023, 10, 441. https://doi.org/10.3390/photonics10040441
Yang Y, Li Y, Wang C, Yang C. 946/1030 nm Dual-Wavelength Laguerre-Gaussian (LG01) Mode Vortex Laser Based on Intracavity Cascade Pumped Resonator. Photonics. 2023; 10(4):441. https://doi.org/10.3390/photonics10040441
Chicago/Turabian StyleYang, Yashuai, Yongliang Li, Chi Wang, and Chao Yang. 2023. "946/1030 nm Dual-Wavelength Laguerre-Gaussian (LG01) Mode Vortex Laser Based on Intracavity Cascade Pumped Resonator" Photonics 10, no. 4: 441. https://doi.org/10.3390/photonics10040441
APA StyleYang, Y., Li, Y., Wang, C., & Yang, C. (2023). 946/1030 nm Dual-Wavelength Laguerre-Gaussian (LG01) Mode Vortex Laser Based on Intracavity Cascade Pumped Resonator. Photonics, 10(4), 441. https://doi.org/10.3390/photonics10040441
