Phase-Derived Ranging Based Fiber Transfer Delay Measurement Using a Composite Signal for Distributed Radars with Fiber Networks
Abstract
1. Introduction
2. Principle
2.1. Integration System of the Proposed FTD Measurement System with a Distributed Radar
2.2. Schematic Diagram and FUT Calculation Method of the Proposed FTD Measurement System
3. Experiment and Results
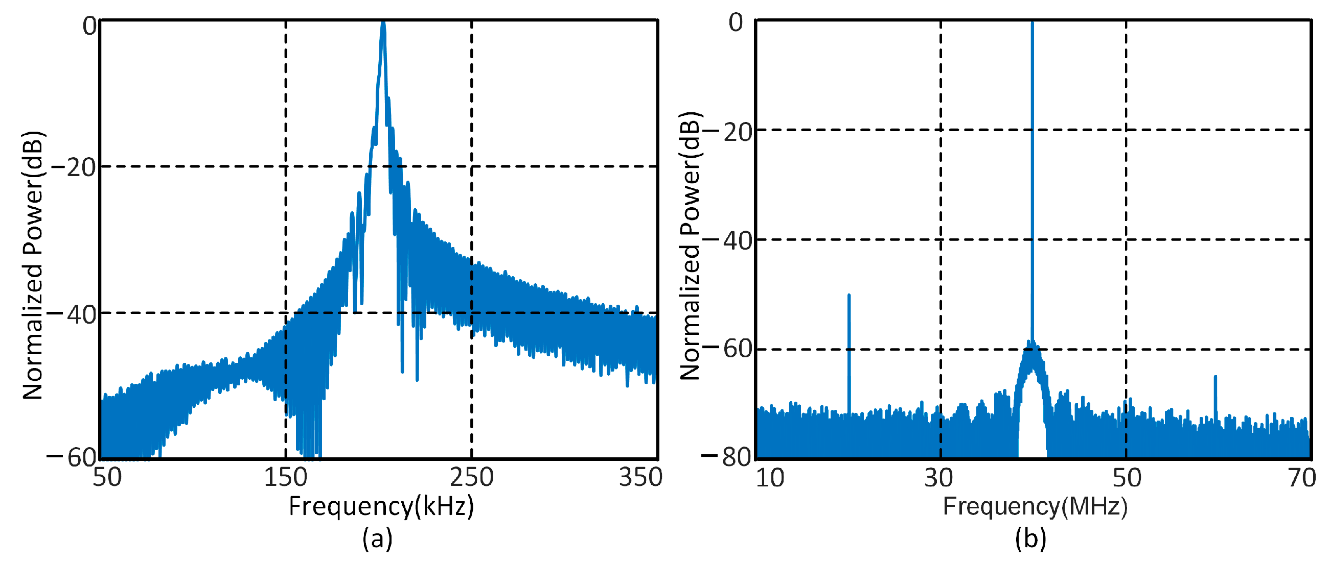
3.1. Experiment Setup
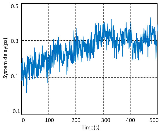
3.2. System Stability
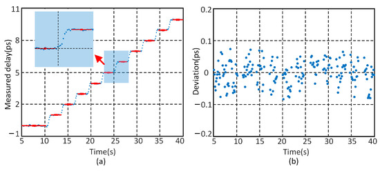
3.3. Measurement Accuracy
3.4. Measurement Range
4. Discussion
5. Conclusions
Author Contributions
Funding
Data Availability Statement
Conflicts of Interest
References
- Haimovich, A.M.; Blum, R.S.; Cimini, L.J. MIMO radar with widely separated antennas. IEEE Signal Process. Mag. 2007, 25, 116–129. [Google Scholar] [CrossRef]
- Malacarne, A.; Maresca, S.; Scotti, F.; Ghelfi, P.; Serafino, G.; Bogoni, A. Coherent dual-band radar-over-fiber network with VCSEL-based signal distribution. J. Light. Technol. 2020, 38, 6257–6264. [Google Scholar] [CrossRef]
- Krehlik, P.; Sliwczynski, Ł.; Buczek, Ł.; Lipínski, M. Fiber-optic joint time and frequency transfer with active stabilization of the propagation delay. IEEE Trans. Instrum. Meas. 2012, 61, 2844–2851. [Google Scholar] [CrossRef]
- Pasya, I.; Kobayashi, T. Detection performance of M-sequence-based MIMO radar systems considering phase jitter effects. In Proceedings of the 2013 IEEE International Symposium on Phased Array Systems and Technology, Waltham, MA, USA, 15–18 October 2013; pp. 394–398. [Google Scholar]
- Barnoski, M.; Jensen, S. Fiber waveguides: A novel technique for investigating attenuation characteristics. Appl. Opt. 1976, 15, 2112–2115. [Google Scholar] [CrossRef] [PubMed]
- Wang, S.; Fan, X.; He, Z. Ultrahigh resolution optical reflectometry based on linear optical sampling technique with digital dispersion compensation. IEEE Photonics J. 2017, 9, 6804710. [Google Scholar] [CrossRef]
- Wang, X.; Yan, Z.; Wang, F.; Sun, Z.; Mou, C.; Zhang, X.; Zhang, L. SNR enhanced distributed vibration fiber sensing system employing polarization OTDR and ultraweak FBGs. IEEE Photonics J. 2015, 7, 6800511. [Google Scholar] [CrossRef]
- Wang, A.; Wang, Y. Chaos correlation optical time domain reflectometry. Sci. China Inf. Sci. 2010, 53, 398–404. [Google Scholar] [CrossRef]
- MacDonald, R. Frequency domain optical reflectometer. Appl. Opt. 1981, 20, 1840–1844. [Google Scholar] [CrossRef] [PubMed]
- Tsuji, K.; Shimizu, K.; Horiguchi, T.; Koyamada, Y. Coherent optical frequency domain reflectometry for a long single-mode optical fiber using a coherent lightwave source and an external phase modulator. IEEE Photonics Technol. Lett. 1995, 7, 804–806. [Google Scholar] [CrossRef]
- Tsuji, K.; Shimizu, K.; Horiguchi, T.; Koyamada, Y. Coherent optical frequency domain reflectometry using phase-decorrelated reflected and reference lightwaves. J. Light. Technol. 1997, 15, 1102–1109. [Google Scholar] [CrossRef]
- Ding, Z.; Yao, X.S.; Liu, T.; Du, Y.; Liu, K.; Han, Q.; Meng, Z.; Jiang, J.; Chen, H. Long measurement range OFDR beyond laser coherence length. IEEE Photonics Technol. Lett. 2012, 25, 202–205. [Google Scholar] [CrossRef]
- Wang, B.; Fan, X.; Wang, S.; Du, J.; He, Z. Millimeter-resolution long-range OFDR using ultra-linearly 100 GHz-swept optical source realized by injection-locking technique and cascaded FWM process. Opt. Express 2017, 25, 3514–3524. [Google Scholar] [CrossRef] [PubMed]
- Hu, Y.; Zhan, L.; Zhang, Z.; Luo, S.; Xia, Y. High-resolution measurement of fiber length by using a mode-locked fiber laser configuration. Opt. Lett. 2007, 32, 1605–1607. [Google Scholar] [CrossRef]
- Yun, K.; Li, J.; Zhang, G.; Chen, L.; Yang, W.; Zhang, Z. Simple and highly accurate technique for time delay measurement in optical fibers by free-running laser configuration. Opt. Lett. 2008, 33, 1732–1734. [Google Scholar] [CrossRef] [PubMed]
- Dong, J.; Wang, B.; Gao, C.; Guo, Y.; Wang, L. Highly accurate fiber transfer delay measurement with large dynamic range. Opt. Express 2016, 24, 1368–1375. [Google Scholar] [CrossRef] [PubMed]
- Dong, J.; Wang, B.; Gao, C.; Wang, L. Accurate and fast fiber transfer delay measurement based on phase discrimination and frequency measurement. Rev. Sci. Instrum. 2016, 87, 093102. [Google Scholar] [CrossRef]
- Si, H.; Wang, B.; Dong, J.; Wang, L. Accurate self-calibrated fiber transfer delay measurement. Rev. Sci. Instrum. 2018, 89, 083117. [Google Scholar] [CrossRef]
- Li, S.; Wang, X.; Qing, T.; Liu, S.; Fu, J.; Xue, M.; Pan, S. Optical fiber transfer delay measurement based on phase-derived ranging. IEEE Photonics Technol. Lett. 2019, 31, 1351–1354. [Google Scholar] [CrossRef]
- Li, S.; Qing, T.; Fu, J.; Wang, X.; Pan, S. High-accuracy and fast measurement of optical transfer delay. IEEE Trans. Instrum. Meas. 2020, 70, 8000204. [Google Scholar] [CrossRef]
- Li, S.; Qing, T.; Cao, M.; Chen, X.; Fang, Y.; Wang, X.; Pan, S. High-accuracy and stable measurement of optical time delay based on an optical Hilbert transformer. In Proceedings of the 4th Optics Young Scientist Summit (OYSS 2020), Ningbo, China, 28 February 2021; p. 117810C. [Google Scholar]
- Li, S.; Qing, T.; Fu, J.; Wang, X.; Pan, S. High-accuracy optical fiber transfer delay measurement using fiber-optic microwave interferometry. J. Light. Technol. 2020, 39, 627–632. [Google Scholar] [CrossRef]
- Liu, X.; Wang, L.; Tang, X.; Li, S.; Ma, C.; Yang, Y.; Jiang, X.; Huang, C.; Wang, X.; Pan, S. Optical Transfer Delay Measurement Based on Multi-frequency Phase-Derived Ranging. In Proceedings of the 2021 19th International Conference on Optical Communications and Networks (ICOCN), Qufu, China, 23–27 August 2021; pp. 1–6. [Google Scholar]
- Qiu, B.; Zhang, Y.; Sun, X.; Xu, Z.; Liang, X.; Wang, D.; Pan, S. Laser Ranging with Micrometer Precision and kHz Rate via Joint Frequency-Phase Measurement. IEEE Photonics Technol. Lett. 2022, 34, 1214–1217. [Google Scholar] [CrossRef]
- Sun, Q.; Dong, J.; Liu, C.; Yang, J.; Zhang, X.; Li, W. Scalable distributed microwave photonic MIMO radar based on a bidirectional ring network. Opt. Express 2021, 29, 31508–31519. [Google Scholar] [CrossRef] [PubMed]
- Dong, J.; Zhang, F.; Jiao, Z.; Sun, Q.; Li, W. Microwave photonic radar with a fiber-distributed antenna array for three-dimensional imaging. Opt. Express 2020, 28, 19113–19125. [Google Scholar] [CrossRef]
- Zhang, F.; Gao, B.; Pan, S. Photonics-based MIMO radar with high-resolution and fast detection capability. Opt. Express 2018, 26, 17529–17540. [Google Scholar] [CrossRef]
- Gao, B.; Zhang, F.; Sun, G.; Xiang, Y.; Pan, S. Microwave Photonic MIMO Radar for High-resolution Imaging. J. Light. Technol. 2021, 39, 7726–7733. [Google Scholar] [CrossRef]
- Dong, J.; Sun, Q.; Jiao, Z.; Zhang, L.; Yin, Z.; Huang, J.; Yu, J.; Wang, S.; Li, S.; Zheng, X. Photonics-enabled distributed MIMO radar for high-resolution 3D imaging. Photonics Res. 2022, 10, 1679–1688. [Google Scholar] [CrossRef]










| Parameters | S1 | S2 | ||
|---|---|---|---|---|
| Sinusoidal Component | LFM Component | Sinusoidal Component | LFM Component | |
| Start frequency | 7.02 GHz | 7 GHz | 7 GHz | 7 GHz |
| Pulse width | 500 µs | 500 µs | 500 µs | 500 µs |
| Period | 600 µs | 600 µs | 600 µs | 600 µs |
| Bandwidth | / | 0.5 GHz | / | 0.5 GHz |
| Category | Methods | Accuracy | Measurement Range | Measurement Time | Additional Signals Added to Distributed Radars | Compatibility with Distributed Radars |
|---|---|---|---|---|---|---|
| TDMs | OTDR [6] | 1.7 ps | 20 km | / | Ultrashort optical pulses | Middle |
| Chaotic light based TDM [8] | 300 ps | 50 km | / | A broadband chaotic light | Middle | |
| FDMs | OFDR based on injection-locking technique and cascaded FWM process [13] | 5 ps | 2 km | / | A linear-frequency sweeping optical signal | Middle |
| Mode-lock laser based FDM [14] | 25 ns | 50 km | / | / | Low | |
| Free-running laser based FDM [15] | 28 ps | 100 km | Several minutes | / | Low | |
| PRMs | Phase-locked loop based PRM [17] | 0.2 ps | 100 km | Several seconds | A frequency-sweeping signal with a bandwidth of 6 MHz | Middle |
| Linear-frequency sweeping based PRM [19] | 0.2 ps | 40 km | Several seconds | A frequency-sweeping signal with a bandwidth of 1 MHz | Middle | |
| Nonlinear four-point sweeping based PRM [20] | 0.1 ps | 74 km | 48 ms | Four single tones (5.59 GHz, 5.590001 GHz, 5.591 GHz, 5.6 GHz) | Middle | |
| Proposed system | 0.2 ps | 15 km | 106 ms | A sinusoidal signal (7 GHz) | High |
Disclaimer/Publisher’s Note: The statements, opinions and data contained in all publications are solely those of the individual author(s) and contributor(s) and not of MDPI and/or the editor(s). MDPI and/or the editor(s) disclaim responsibility for any injury to people or property resulting from any ideas, methods, instructions or products referred to in the content. |
© 2023 by the authors. Licensee MDPI, Basel, Switzerland. This article is an open access article distributed under the terms and conditions of the Creative Commons Attribution (CC BY) license (https://creativecommons.org/licenses/by/4.0/).
Share and Cite
Sun, Q.; Liu, C.; Yang, J.; Liu, J.; Dong, J.; Li, W. Phase-Derived Ranging Based Fiber Transfer Delay Measurement Using a Composite Signal for Distributed Radars with Fiber Networks. Photonics 2023, 10, 421. https://doi.org/10.3390/photonics10040421
Sun Q, Liu C, Yang J, Liu J, Dong J, Li W. Phase-Derived Ranging Based Fiber Transfer Delay Measurement Using a Composite Signal for Distributed Radars with Fiber Networks. Photonics. 2023; 10(4):421. https://doi.org/10.3390/photonics10040421
Chicago/Turabian StyleSun, Qiang, Chenyu Liu, Jiyao Yang, Jianwei Liu, Jingwen Dong, and Wangzhe Li. 2023. "Phase-Derived Ranging Based Fiber Transfer Delay Measurement Using a Composite Signal for Distributed Radars with Fiber Networks" Photonics 10, no. 4: 421. https://doi.org/10.3390/photonics10040421
APA StyleSun, Q., Liu, C., Yang, J., Liu, J., Dong, J., & Li, W. (2023). Phase-Derived Ranging Based Fiber Transfer Delay Measurement Using a Composite Signal for Distributed Radars with Fiber Networks. Photonics, 10(4), 421. https://doi.org/10.3390/photonics10040421

