Low-Concentration Biological Sample Detection Using an Asymmetric Split Resonator Terahertz Metamaterial
Abstract
1. Introduction
2. Design and Fabrication of the Asymmetric Split Square Resonator Metamaterial
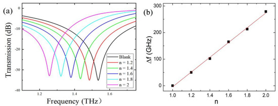
2.1. Influence of Refractive Index of the Analyte on Sensing Performance
2.2. Influence of Thickness of the Analyte on Sensing Performance
2.3. Fabrication of the Metamaterial
3. Experiment Method and Sample Preparation
3.1. THz-TDS Spectrometer
3.2. BSA, S. aureus and K-citrate Sample Preparation
4. Result and Discussion
4.1. THz Spectroscopy Measurements of Different Concentrations of BSA Solution
4.2. THz Spectroscopy Measurements of Different Concentrations of K-citrate Solution
4.3. THz Spectroscopy Measurements of Different Concentrations of S. aureus
5. Conclusions
Author Contributions
Funding
Institutional Review Board Statement
Informed Consent Statement
Data Availability Statement
Conflicts of Interest
References
- Markelz, A.G.; Mittleman, D.M. Perspective on Terahertz Applications in Bioscience and Biotechnology. ACS Photonics 2022, 9, 1117–1126. [Google Scholar] [CrossRef]
- Khani, M.; Arbab, M. Chemical Identification in the Specular and Off-Specular Rough-Surface Scattered Terahertz Spectra Using Wavelet Shrinkage. IEEE Access 2021, 9, 29746–29754. [Google Scholar] [CrossRef]
- Zhang, X.; Tian, Z.; Yue, W.; Gu, J.; Zhang, S.; Han, J.; Zhang, W. Broadband Terahertz Wave Deflection Based on C-shape Complex Metamaterials with Phase Discontinuities. Adv. Mater. 2013, 25, 4567–4572. [Google Scholar] [CrossRef]
- Cong, L.; Cao, W.; Tian, Z.; Gu, J.; Han, J.; Zhang, W. Manipulating polarization states of terahertz radiation using metamaterials. New J. Phys. 2012, 14, 115013. [Google Scholar] [CrossRef]
- Liu, S.; Cui, T.J.; Xu, Q.; Bao, D.; Du, L.; Wan, X.; Tang, W.X.; Ouyang, C.; Zhou, X.Y.; Yuan, H.; et al. Anisotropic coding metamaterials and their powerful manipulation of differently polarized terahertz waves. Light Sci. Appl. 2016, 5, e16076. [Google Scholar] [CrossRef] [PubMed]
- Yen, T.J.; Padilla, W.J.; Fang, N.; Vier, D.C.; Smith, D.R.; Pendry, J.B.; Basov, D.N.; Zhang, X. Terahertz Magnetic Response from Artificial Materials. Science 2004, 303, 1494–1496. [Google Scholar] [CrossRef] [PubMed]
- YLi, Y.; Chen, X.; Hu, F.; Li, D.; Teng, H.; Rong, Q.; Zhang, W.; Han, J.; Liang, H. Four resonators based high sensitive terahertz metamaterial biosensor used for measuring concentration of protein. J. Phys. D Appl. Phys. 2019, 52, 095105. [Google Scholar]
- Hou, X.; Chen, X.; Li, T.; Li, Y.; Tian, Z.; Wang, M. Highly sensitive terahertz metamaterial biosensor for bovine serum albumin (BSA) detection. Opt. Mater. Express 2021, 11, 2268–2277. [Google Scholar] [CrossRef]
- Hu, F.; Guo, E.; Xu, X.; Li, P.; Xu, X.; Yin, S.; Wang, Y.; Chen, T.; Yin, X.; Zhang, W. Real-timely monitoring the interaction between bovine serum albumin and drugs in aqueous with terahertz metamaterial biosensor. Opt. Commun. 2017, 388, 62–67. [Google Scholar] [CrossRef]
- Xu, W.; Xie, L.; Zhu, J.; Wang, W.; Ye, Z.; Ma, Y.; Tsai, C.-Y.; Chen, S.; Ying, Y. Terahertz sensing of chlorpyrifos-methyl using metamaterials. Food Chem. 2017, 218, 330–334. [Google Scholar] [CrossRef]
- Qin, J.; Xie, L.; Ying, Y. A high-sensitivity terahertz spectroscopy technology for tetracycline hydrochloride detection using metamaterials. Food Chem. 2016, 211, 300–305. [Google Scholar] [CrossRef] [PubMed]
- Cong, L.; Tan, S.; Yahiaoui, R.; Yan, F.; Zhang, W.; Singh, R. Experimental demonstration of ultrasensitive sensing with terahertz metamaterial absorbers: A comparison with the metasurfaces. Appl. Phys. Lett. 2015, 106, 031107. [Google Scholar] [CrossRef]
- Ng, B.; Wu, J.; Hanham, S.; Fernandez-Dominguez, A.I.; Klein, N.; Liew, T.; Breese, M.B.H.; Hong, M.; Maier, S.A. Spoof Plasmon Surfaces: A Novel Platform for THz Sensing. Adv. Opt. Mater. 2013, 1, 543–548. [Google Scholar] [CrossRef]
- Sun, Y.; Lu, X.; Du, P.; Xie, P.; Ullah, R. Terahertz spectroscopy of Bisphenol “A”,“AF”,“S”,“E” and the interrelationship between their molecular vibrations. Spectrochim. Acta Part A Mol. Biomol. Spectrosc. 2019, 209, 70–77. [Google Scholar] [CrossRef] [PubMed]
- Yang, W.; Lin, Y.-S. Tunable metamaterial filter for optical communication in the terahertz frequency range. Opt. Express 2020, 28, 17620–17629. [Google Scholar] [CrossRef]
- Zaman, A.M.; Lu, Y.; Romain, X.; Almond, N.W.; Burton, O.J.; Alexander-Webber, J.; Hofmann, S.; Mitchell, T.; Griffiths, J.D.; Beere, H.E.; et al. Terahertz Metamaterial Optoelectronic Modulators With GHz Reconfiguration Speed. IEEE Trans. Terahertz Sci. Technol. 2022, 12, 520–526. [Google Scholar] [CrossRef]
- Luk’Yanchuk, B.; Zheludev, N.I.; Maier, S.A.; Halas, N.J.; Nordlander, P.; Giessen, H.; Chong, C.T. The Fano resonance in plasmonic nanostructures and metamaterials. Nat. Mater. 2010, 9, 707–715. [Google Scholar] [CrossRef]
- Miroshnichenko, A.E.; Flach, S.; Kivshar, Y.S. Fano resonances in nanoscale structures. Rev. Mod. Phys. 2010, 82, 2257–2298. [Google Scholar] [CrossRef]
- Al-Naib, I.; Singh, R.; Rockstuhl, C.; Lederer, F.; Delprat, S.; Rocheleau, D.; Chaker, M.; Ozaki, T.; Morandotti, R. Excitation of a high-Q subradiant resonance mode in mirrored single-gap asymmetric split ring resonator terahertz metamaterials. Appl. Phys. Lett. 2012, 101, 071108. [Google Scholar] [CrossRef]
- Singh, R.; Cao, W.; Al-Naib, I.; Cong, L.; Withayachumnankul, W.; Zhang, W. Ultrasensitive terahertz sensing with high-Q Fano resonances in metasurfaces. Appl. Phys. Lett. 2014, 105, 171101. [Google Scholar] [CrossRef]
- Wen, Y.; Ma, W.; Bailey, J.; Matmon, G.; Yu, X. Broadband terahertz metamaterial absorber based on asymmetric resonators with perfect absorption. IEEE Trans. Terahertz Sci. Technol. 2015, 5, 406–411. [Google Scholar] [CrossRef]
- Yan, X.; Yang, M.; Zhang, Z.; Liang, L.; Wei, D.; Wang, M.; Zhang, M.; Wang, T.; Liu, L.; Xie, J.; et al. The terahertz electromagnetically induced transparency-like metamaterials for sensitive biosensors in the detection of cancer cells. Biosens. Bioelectron. 2019, 126, 485–492. [Google Scholar] [CrossRef] [PubMed]
- Zhang, J.; Mu, N.; Liu, L.; Xie, J.; Feng, H.; Yao, J.; Chen, T.; Zhu, W. Highly sensitive detection of malignant glioma cells using metamaterial-inspired THz biosensor based on electromagnetically induced transparency. Biosens. Bioelectron. 2021, 185, 113241. [Google Scholar] [CrossRef]
- Cheng, R.; Xu, L.; Yu, X.; Zou, L.; Shen, Y.; Deng, X. High-sensitivity biosensor for identification of protein based on terahertz Fano resonance metasurfaces. Opt. Commun. 2020, 473, 125850. [Google Scholar] [CrossRef]
- Zang, X.; Yao, B.; Chen, L.; Xie, J.; Guo, X.; Balakin, A.V.; Shkurinov, A.P.; Zhuang, S. Metasurfaces for manipulating terahertz waves. Light Adv. Manuf. 2021, 2, 148–172. [Google Scholar] [CrossRef]
- Zang, X.; Xu, W.; Gu, M.; Yao, B.; Chen, L.; Peng, Y.; Xie, J.; Balakin, A.V.; Shkurinov, A.P.; Zhu, Y.; et al. Polarization-insensitive metalens with extended focal depth and longitudinal high-tolerance imaging. Adv. Opt. Mater. 2020, 8, 1901342. [Google Scholar] [CrossRef]
- Yao, B.; Zang, X.; Li, Z.; Chen, L.; Xie, J.; Zhu, Y.; Zhuang, S. Dual-layered metasurfaces for asymmetric focusing. Photonics Res. 2020, 8, 830. [Google Scholar] [CrossRef]
- Zang, X.; Ding, H.; Intaravanne, Y.; Chen, L.; Peng, Y.; Xie, J.; Ke, Q.; Balakin, A.V.; Shkurinov, A.P.; Chen, X.; et al. A multi-foci metalens with polarization-rotated focal points. Laser Photonics Rev. 2019, 13, 1900182. [Google Scholar] [CrossRef]
- Deng, X.; Shen, Y.; Liu, B.; Song, Z.; He, X.; Zhang, Q.; Ling, D.; Liu, D.; Wei, D. Terahertz metamaterial sensor for sensitive detection of citrate salt solutions. Biosensors 2022, 12, 408. [Google Scholar] [CrossRef]
- Cui, N.; Guan, M.; Xu, M.; Fang, W.; Zhang, Y.; Zhao, C.; Zeng, Y. Design and application of terahertz metamaterial sensor based on DSRRs in clinical quantitative detection of carcinoembryonic antigen. Opt. Express 2020, 28, 16834–16844. [Google Scholar] [CrossRef]
- Janneh, M.; De Marcellis, A.; Palange, E.; Tenggara, A.T.; Byun, D. Design of a metasurface-based dual-band Terahertz perfect absorber with very high Q-factors for sensing applications. Opt. Commun. 2018, 416, 152–159. [Google Scholar] [CrossRef]
- Abu Safia, O.; Talbi, L.; Hettak, K. A New Type of Transmission Line-Based Metamaterial Resonator and Its Implementation in Original Applications. IEEE Trans. Magn. 2013, 49, 968–973. [Google Scholar] [CrossRef]
- Wang, S.; Xia, L.; Mao, H.; Jiang, X.; Yan, S.; Wang, H.; Wei, D.; Cui, H.-L.; Du, C. Terahertz Biosensing Based on a Polarization-Insensitive Metamaterial. IEEE Photonics Technol. Lett. 2016, 28, 986–989. [Google Scholar] [CrossRef]
- Wang, G.; Zhu, F.; Lang, T.; Liu, J.; Hong, Z.; Qin, J. All-metal terahertz metamaterial biosensor for protein detection. Nanoscale Res. Lett. 2021, 16, 109. [Google Scholar] [CrossRef] [PubMed]
- Silalahi, H.M.; Chen, Y.P.; Shih, Y.H.; Chen, Y.S.; Lin, X.Y.; Liu, J.H.; Huang, C.Y. Floating terahertz metamaterials with extremely large refractive index sensitivities. Photonics Res. 2021, 9, 1970–1978. [Google Scholar] [CrossRef]







| Parameter Name | Parameter Setting |
|---|---|
| 35 | |
| 18.5 | |
| g | 7 |
| w | 10 |
| 80 | |
| 80 |
Disclaimer/Publisher’s Note: The statements, opinions and data contained in all publications are solely those of the individual author(s) and contributor(s) and not of MDPI and/or the editor(s). MDPI and/or the editor(s) disclaim responsibility for any injury to people or property resulting from any ideas, methods, instructions or products referred to in the content. |
© 2023 by the authors. Licensee MDPI, Basel, Switzerland. This article is an open access article distributed under the terms and conditions of the Creative Commons Attribution (CC BY) license (https://creativecommons.org/licenses/by/4.0/).
Share and Cite
Shen, Y.; Li, X.; Wang, J.; Liu, H.; Jing, J.; Deng, X.; Wei, D. Low-Concentration Biological Sample Detection Using an Asymmetric Split Resonator Terahertz Metamaterial. Photonics 2023, 10, 111. https://doi.org/10.3390/photonics10020111
Shen Y, Li X, Wang J, Liu H, Jing J, Deng X, Wei D. Low-Concentration Biological Sample Detection Using an Asymmetric Split Resonator Terahertz Metamaterial. Photonics. 2023; 10(2):111. https://doi.org/10.3390/photonics10020111
Chicago/Turabian StyleShen, Yanchun, Xiaoming Li, Jinlan Wang, Hongmei Liu, Junhao Jing, Xinxin Deng, and Dongshan Wei. 2023. "Low-Concentration Biological Sample Detection Using an Asymmetric Split Resonator Terahertz Metamaterial" Photonics 10, no. 2: 111. https://doi.org/10.3390/photonics10020111
APA StyleShen, Y., Li, X., Wang, J., Liu, H., Jing, J., Deng, X., & Wei, D. (2023). Low-Concentration Biological Sample Detection Using an Asymmetric Split Resonator Terahertz Metamaterial. Photonics, 10(2), 111. https://doi.org/10.3390/photonics10020111

